转化率预估(pCVR)系列--延迟预估模型(中篇)

2020 年 6 月 8 日 AINLP

上一篇文章转化率预估(pCVR)系列--延迟预估模型(上篇),对pCVR的延迟预估模型的开篇之作”Modeling Delayed Feedback in Display Advertising (paper1)“做了仔细剖析。接下来,再介绍下另外一篇研究延迟预估模型的文章“A Nonparametric Delayed Feedback Model for Conversion Rate Prediction(paper2)

两篇文章对比:

相同点:与paper1思想一致,paper2也主要是对cvr预估拆解为两个模型conversion model和time delay model。 

不同点:paper1主要是基于经验假设转化延迟正好服从指数分布,但实际业务场景,每个广告在不同场景和不同上下文,不同用户的延迟时间的分布也大概率不同,所以,很难预先判定转化延迟服从哪个分布。因此paper2将延迟时间的期望表示形式进行了模型化,通过模型参数自动去拟合不同场景下的数据以及业务的期望分布形态。


CVR建模方法:

参数说明:


相比paper1,参数只是增加了一个矩阵V(L * M),记录核函数中虚拟时间片l & 特征x的权重信息。

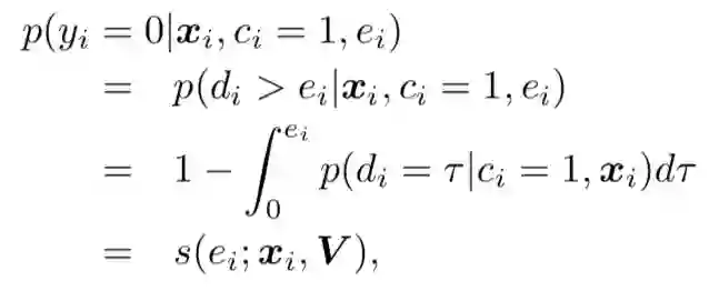
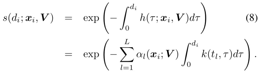
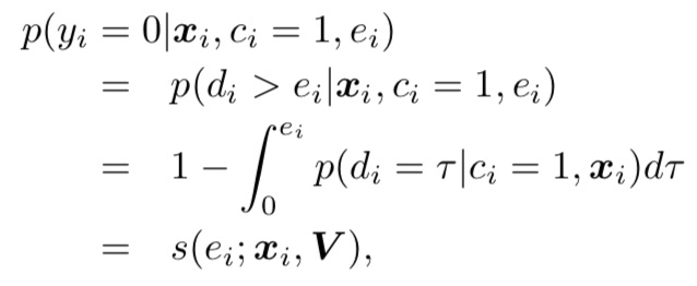
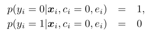
Time delay model:

那么,由survival analysis中风险函数的定义h(t)=f(t)/s(t)可以得出,

f(t)=s(t) * h(t),即

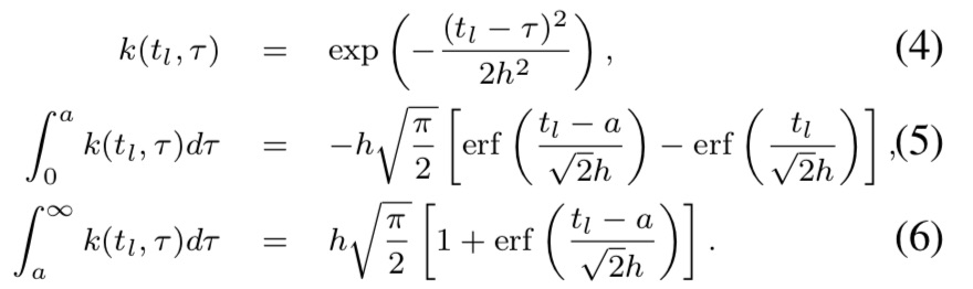
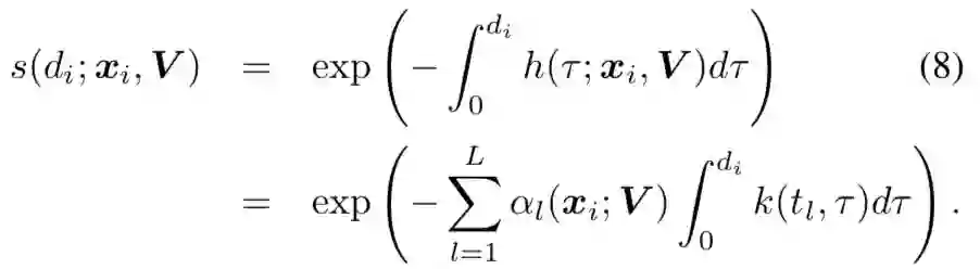
风险函数(hazard function) f(t):对每个d拆解为L等份,建立L个虚拟时间片,并借鉴KDE思想通过核函数来拟合f(t),如下:


其中,为强化函数,如下:

为强化函数(intensity function),即


生存函数(survival function)s(t):

的关系如下:


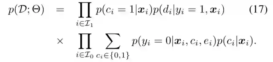
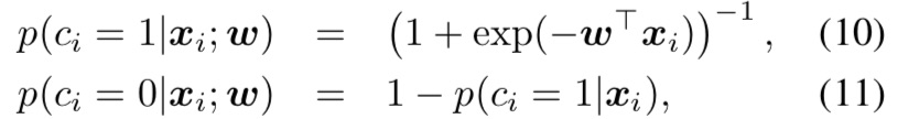
conversion model:

与paper1一致,采用lr建模


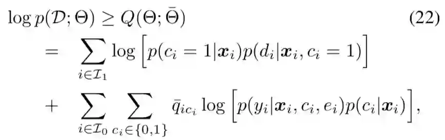
那么,似然函数可构建如下:


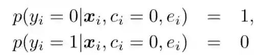
由于,


所以,可简化为


其中,计算如下:



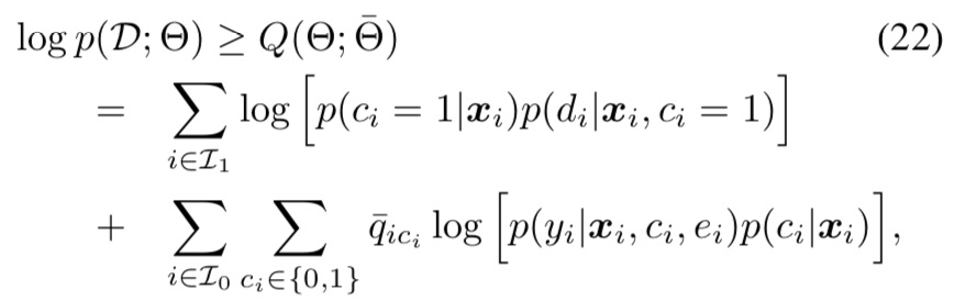
模型训练:

loss func:


EM算法:


总结:

两篇论文思路一致,都是使用两个模型(conversion model和delayed feedback model)来进行cvr预估。paper1主要是基于经验假设转化延迟正好服从指数分布,而paper2将延迟时间的期望表示形式利用核函数进行了模型化。

实际上,我们还可以对paper2进行改进,对DFM用深度神经网络进行建模。哈哈,我们就是沿用此思路进行cvr模型优化,并将优化方法最终在IJCAI2020进行发表。论文内容详情,且听下回分解。


推荐阅读

文本自动摘要任务的“不完全”心得总结番外篇——submodular函数优化

Node2Vec 论文+代码笔记

模型压缩实践收尾篇——模型蒸馏以及其他一些技巧实践小结

中文命名实体识别工具(NER)哪家强?

学自然语言处理,其实更应该学好英语

斯坦福大学NLP组Python深度学习自然语言处理工具Stanza试用

太赞了!Springer面向公众开放电子书籍,附65本数学、编程、机器学习、深度学习、数据挖掘、数据科学等书籍链接及打包下载

数学之美中盛赞的 Michael Collins 教授,他的NLP课程要不要收藏?

自动作诗机&藏头诗生成器:五言、七言、绝句、律诗全了

模型压缩实践系列之——bert-of-theseus,一个非常亲民的bert压缩方法

这门斯坦福大学自然语言处理经典入门课,我放到B站了

征稿启示 | 稿费+GPU算力+星球嘉宾一个都不少

关于AINLP

AINLP 是一个有趣有AI的自然语言处理社区,专注于 AI、NLP、机器学习、深度学习、推荐算法等相关技术的分享,主题包括文本摘要、智能问答、聊天机器人、机器翻译、自动生成、知识图谱、预训练模型、推荐系统、计算广告、招聘信息、求职经验分享等,欢迎关注!加技术交流群请添加AINLPer(id:ainlper),备注工作/研究方向+加群目的。


阅读至此了,点个在看吧👇


登录查看更多
7

相关内容

【SIGIR 2020】 基于协同注意力机制的知识增强推荐模型
专知会员服务
91+阅读 · 2020年7月23日
【WWW2020-华为诺亚方舟论文】元学习推荐系统MetaSelector
专知会员服务
56+阅读 · 2020年2月10日
【MIT深度学习课程】深度序列建模,Deep Sequence Modeling
专知会员服务
78+阅读 · 2020年2月3日
专知会员服务
88+阅读 · 2020年1月20日
【推荐系统/计算广告/机器学习/CTR预估资料汇总】
专知会员服务
88+阅读 · 2019年10月21日
推荐系统之矩阵分解家族
图与推荐
13+阅读 · 2020年3月28日
从模型到应用,一文读懂因子分解机
AI100
10+阅读 · 2019年9月6日
推荐召回算法之深度召回模型串讲
AINLP
22+阅读 · 2019年6月14日
推荐系统召回四模型之二:沉重的FFM模型
AINLP
23+阅读 · 2019年3月22日
业界 | 从FM推演各深度CTR预估模型(附代码)
大数据文摘
8+阅读 · 2018年7月16日
推荐系统经典技术:矩阵分解
LibRec智能推荐
8+阅读 · 2017年10月10日
[推荐] 这些年,我用过的点击率(CTR)预估模型!!!
菜鸟的机器学习
28+阅读 · 2017年7月31日
Next Item Recommendation with Self-Attention
Arxiv
5+阅读 · 2018年8月25日
VIP会员
相关资讯
推荐系统之矩阵分解家族
图与推荐
13+阅读 · 2020年3月28日
从模型到应用,一文读懂因子分解机
AI100
10+阅读 · 2019年9月6日
推荐召回算法之深度召回模型串讲
AINLP
22+阅读 · 2019年6月14日
推荐系统召回四模型之二:沉重的FFM模型
AINLP
23+阅读 · 2019年3月22日
业界 | 从FM推演各深度CTR预估模型(附代码)
大数据文摘
8+阅读 · 2018年7月16日
推荐系统经典技术:矩阵分解
LibRec智能推荐
8+阅读 · 2017年10月10日
[推荐] 这些年,我用过的点击率(CTR)预估模型!!!
菜鸟的机器学习
28+阅读 · 2017年7月31日
Top
微信扫码咨询专知VIP会员