北京25万孕妇调查:空气污染与流产风险上升有关

2019 年 10 月 15 日 科研圈

空气污染对人类的影响是潜移默化的,我们很多时候并不能直观而明确地发现它在我们身体上所起的作用。一项针对北京市的空气污染状况的监测结果表明,空气质量与当地孕妇发生稽留流产(沉默流产)的风险存在相关性。


2015 年冬天的北京街头。图片来源:Time.com


撰文  桑颂

编辑  魏潇


“历史的铁则就是:事后看来无可避免的事,在当时看来总是毫不明显。”人类的大规模合作让改造世界变得容易,也创造出了更多的财富,但随之而来的还有一些逐渐累加的负面效应。这种影响有时是显而易见的,例如台风和极端高温;但有时作用又非常隐蔽,就像每天都要经过你的肺部被传送到身体各处的空气。



孕妇与空气污染
一项发表在 Nature Substainable 的最新研究考察了 2009 年至 2017 年北京市医疗系统内 25 万名孕妇的记录,发现孕期空气污染暴露与孕早期的稽留流产风险增加有关。


稽留流产也被称为“沉默流产”, 指胎儿尚未成形或已经死亡,但胎盘和胚胎组织仍稽留在母亲子宫内,是不良妊娠结局的一种表现形式,在发展中国家有着较高的发病率(15-20%)孕期的空气污染暴露不仅会增加不良分娩结局的风险——如出生体重低、早产、妊娠期高血压和子痫前期,还有可能影响女性在孕期以及整个生命过程中的健康状态。但是,空气污染暴露与稽留流产的关系却鲜为人知。来自北京师范大学地理学部的张立强课题组和北京大学理学院大气与海洋科学系的林金泰课题组合作发表了针对这一问题的最新研究成果。他们发现孕妇发生稽留流产与孕妇暴露时间、空气的污染程度有很大关系


图片来源:flo.health


北京市既有平原也有山地,在 2009-2017 年的各种空气污染物浓度变化跨度大,同时人口分布上能够选择郊区和市区孕妇作为对照,能够在某种程度上反应我国的空气污染与稽留流产的相互关系,因此是一个较为理想的研究区域。为了统计空气污染的变化,研究者找到了 34 个空气站点在 2013-2017 年间对 PM2.5、CO、SO2、O3浓度监测的数据结果。同时,研究者通过医疗系统收集了超过 25 万名北京市孕妇的孕期体检数据,其中 17497 名(6.8%)孕妇经历了稽留流产。


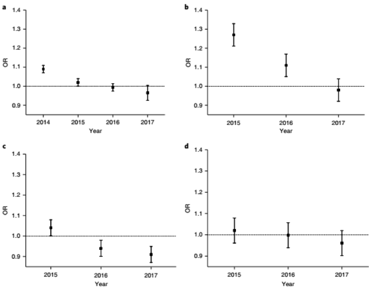
研究结果发现,PM2.5、CO、SO2、O3、温度、职业、年龄和相对湿度都是稽留流产的风险因素,并且在怀孕前 3 个月的污染物暴露对可能出现的稽留流产影响最大。研究人员进一步计算出了 PM2.5、CO、SO2、O对于稽留流产发生的相对危险度(即OR值),由此发现,当 PM2.5 的浓度在 34 微克/立方厘米 - 200+ 微克/立方厘米区间范围内时,空气污染与稽留流产存在正相关。其他三种污染物也呈现出了类似情况。而从时间跨度更广的层面上看,由于北京市最近几年的空气污染物浓度变化较大,因此很难确定污染物浓度与稽留流产到底是线性关系还是非线性关系,但将其具体到某一个小的区间中,二者呈线性等比例增加的可能较大。


四种空气污染物浓度与稽留流产的相对危险度的关系。| 图片来源:DOI:10.1038/s41893-019-0387-y


此外,研究还指出,怀孕时年龄在 39 岁以上的女性出现稽留流产的风险更高,郊区农民或蓝领工人的风险要比在市区写字楼里的白领工人更高——这是由于前者暴露在室外的时间更长。此外,低温(<5℃)时发生稽留流产的相对危险度也较高。不过虽然我国的空气污染较为严重,但随着近年来政府对于空气污染的重视和治理,空气质量呈现出向好态势。自 2013 年之后,孕妇出现稽留流产的风险逐年下降。


需要说明的是,由于国家生态环境部没有提供 2014 年 6 月之前完整空气污染物数据记录,这段时间只有来自美国大使馆的 PM2.5 独立观测数据,因此研究人员先将 2014 年 6 月之后来自双方的监测数据做了统计学相关分析,然后以相关系数为指导,根据美国大使馆的现有数据推算出了 2009 - 2014 年 6 月的完整污染物数据,从统计学上看这具有一定合理性,但可靠性仍会受到一定影响


填补了缺失的数据问题,如何确定孕妇在空气污染物下的暴露浓度也是一个棘手的问题。研究人员获取了每位孕妇的居住地和工作地的静止坐标,选取离居住地/工作地最近的空气监测站的数据作为该孕妇的暴露浓度。考虑到很多孕妇在孕期还要去工作地上班,因此按照工作地暴露占三分之二、居住地暴露占三分之一的比例计算出优化后的暴露浓度。


近年来稽留流产的发病风险趋势。| 图片来源:DOI:10.1038/s41893-019-0387-y



可能的原因

尽管这项研究已经指出了空气污染物与稽留流产之间存在一定联系,但是二者之间的因果关系目前还不清楚。研究小组提出了几种可能的理论:


· 孕妇长期暴露于PM2.5中会使污染物越过母体-胎儿的血液屏障,进入胎儿的血液后可能与其组织成分相互作用,从而产生病理影响,对胎儿的细胞分裂造成不可逆的损害,并在发育的关键时期引发缺氧性损伤或免疫介导的损伤。


· 空气污染引起的胎盘表观遗传改变在怀孕的前三个月中均可被观察到,这表明孕妇暴露于空气污染可能会损害胎盘功能。前期研究表明,母体环境的微小变化都可能通过改变胎盘的功能传递给胎儿,而且周围环境引起的胎盘损伤会对发育中的胎儿产生负面影响。


· 不良的空气质量与多环芳烃(可被PM2.5吸附或粘附)的数量显著相关,而多环芳烃会结合在母体和胎儿脐带血白细胞的DNA上。孕妇暴露于空气污染中很有可能出现染色体异常,因此,孕产妇长期暴露于空气污染中会增加出现流产、死胎和出生缺陷的概率。


· 此外,有毒物质可能会通过胎盘并可能通过诱使发育中的胎儿免疫机能的变化来攻击胎儿的发育。例如,CO就有可能干扰胎盘的代谢和转运功能,在其穿过胎盘屏障后,胎儿的CO浓度会高于胎盘中的浓度。环境中的CO还与羧基血红蛋白(COHb)和有核红细胞有关。孕妇体内的COHb过多可能会导致胎儿缺氧,从而导致胎儿死亡。


由于 PM2.5 和 CO 之间存在很强的共线性,目前的研究还无法区分这两种污染物各自对于稽留流产的影响。也无法排除一些不可控因素如交通噪声对妊娠结局的影响。


已有数据证实,在空气污染加重的地区,因呼吸道或相关慢性疾病(如哮喘、心血管疾病、高血压)就诊的患者人数也会相应增加。曾有研究对比了全球 54 个国家的哮喘就医记录,发现每年因空气污染引发的就诊次数最高可达 3300 万次,其中有 8-20% 的哮喘发作可能与臭氧的吸入有关,而 4-9% 可能与细小颗粒物的吸入有关。这种情况在印度和中国等南亚和东亚国家最为严重,约有一半的哮喘急诊病例是由空气污染所致,这些国家人口较多,而针对相关污染制定的法规较少。


不同国家的空气污染(含室内、室外)死亡率。| 图片来源:世界卫生组织(WHO)


由于欧美发达国家较早进入工业化进程,大气污染问题出现得较早,因此这些国家对于空气污染影响人类健康的研究也早于发展中国家。据世界卫生组织(WHO)估计,颗粒物(PM)空气污染每年大约导致 80 万人过早死亡,排在全球死亡率的第 13 位。PM 被认为是通过全身性炎症、直接和间接凝血激活以及直接转运进入全身循环的机制而导致心血管和脑血管疾病。长期暴露人群因为此类疾病死亡的几率更高,并且有数据表明 PM 与人类疾病之间存在剂量依赖性关系。


前段时间,一项来自比利时的研究显示,随着外界空气污染程度的增加,孕妇胎盘中累积的炭黑颗粒显著增加。这些积聚在胎盘中的污染物不仅影响母亲,还会在胎儿一方聚集。不过研究人员未能确认这些炭黑颗粒是否已经进入了胎儿体内,也未明确它们与疾病之间的联系。


张立强提到,“因为我们专业的限制,现在研究的是一种统计学关系,发现两者之间是有相关性的,但是有没有因果关系可能需要通过一些生物医学研究进一步验证说明。”


另外,张立强还建议孕妇提高自身对空气污染的防护意识,在空气污染的情况下,随时随地做好防护,比如通过佩戴防护性口罩或减少室外活动来减少暴露在空气污染物中的时间;在室内的时候,可以使用空气净化器使室内的空气尽可能保持清洁。另一方面希望国家可以更有意识、积极地采取一些政策,提高空气质量,促进人类健康。


中国是全球空气污染水平最高的国家之一,但目前系统评估空气污染对妊娠结局影响的系统研究寥寥。早年曾有研究人员对天津市做过一项相关研究,利用的是天津市 2007 - 2009 年的空气污染监测数据,而我国从 2013 年才开始实施比较严格的空气管理政策,因此当时的数据存在的误差与现在相比可能会比较大。所以最新的研究结果目前在国内仍具有比较突出的代表性。


这项结合了地理信息系统(GIS)中常用的空间分析、计算机模型和大气污染监测手段的合作+跨界工作,也为研究公共卫生学领域的问题提供了新的解决思路。


论文链接:

https://www.nature.com/articles/s41893-019-0387-y


本文来自微信公众号“科研圈”。如需转载,请在“科研圈”后台回复“转载”,或通过公众号菜单与我们取得联系。

参考资料:

1. https://link.springer.com/article/10.1007/s13181-011-0203-1

2. https://www.google2s.com/url?sa=t&rct=j&q=&esrc=s&source=web&cd=1&cad=rja&uact=8&ved=2ahUKEwjAgdvEopvlAhUzCTQIHZ6zD0sQFjAAegQIBRAB&url=https%3A%2F%2Fwww.dailymail.co.uk%2Fhealth%2Farticle-6311533%2FAir-pollution-blame-33million-asthma-related-E-visits-world.html&usg=AOvVaw27VV97Mmyh4K5QJCkuYo3c

3. https://ehp.niehs.nih.gov/doi/full/10.1289/ehp.6362

4. https://link.springer.com/article/10.1007/s13181-011-0203-1

5. https://www.vox.com/2016/6/27/12040712/air-pollution-countries



▽ 精彩回顾 ▽

登录查看更多
0

相关内容

张立强,北京师范大学 北京师范大学教授,于2006年、2010年先后破格晋升为副教授、教授。2019年获得国家杰出青年基金资助。曾获测绘科技进步奖一等奖,第四届吴文俊人工智能科学技术创新奖一等奖,教育部高等学校自然科学奖一等奖。研究成果先后发表在NatureCommunications、NatureSustainability、ISPRSJ.Photogrammetry、RemoteSensing、IEEETrans.GeoscienceandRemoteSensing、IJGIS等本领域顶级国际期刊上;被Nature、Science、NatureClimateChange以及PNAS等国际顶级学术期刊引用,并应用在国家多个大型科学工程上。研究方向:研究兴趣:深度强化学习 , 三维建模/重建 , 时空分析 , 遥感图像/点云识别,个人主页:http://www.escience.cn/people/zhangliqiang/index.html
【ICML2020-哈佛】深度语言表示中可分流形
专知会员服务
13+阅读 · 2020年6月2日
专知会员服务
29+阅读 · 2020年3月6日
广东疾控中心《新型冠状病毒感染防护》,65页pdf
专知会员服务
19+阅读 · 2020年1月26日
【NeurIPS2019报告推荐】公平与表示学习—UIUC Sanmi Koyejo教授
2019中国硬科技发展白皮书 193页
专知会员服务
86+阅读 · 2019年12月13日
【Blood】去甲基化治疗失败后,MDS应如何治疗?
量子计算
人工智能学家
7+阅读 · 2018年4月6日
【财富空间】一个人真正的资本是什么
产业智能官
6+阅读 · 2018年3月16日
苦尽甘来:AI为更有效地治疗抑郁症带来希望
英伟达NVIDIA中国
10+阅读 · 2018年3月1日
贾跃亭的汽车梦,还轮不到我们嘲笑
虎嗅网
5+阅读 · 2017年7月6日
Arxiv
112+阅读 · 2020年2月5日
Arxiv
36+阅读 · 2019年11月7日
Arxiv
5+阅读 · 2018年4月13日
VIP会员
Top
微信扫码咨询专知VIP会员