【线性化和全微分】图解高等数学-下 13

2017 年 12 月 31 日 遇见数学 李想

11.6 线性化和微分

二元或多元函数的线性化和微分类似一元函数的线性逼近. 先来回顾下一元的公式.

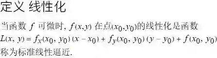
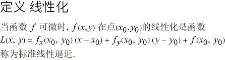
二元函数的线性化

用更简单的二元函数来代替函数 f(x,y).

也就是 z=L(x,y) 是曲面f(x,y) 在点  ( x 0 , y 0 )  的切平面. 观察下面动画来查看函数  f(x,y) = - x 2 y 2  在点 (0,0) 的线性化逼近.

从上图可以看到二元函数的线性化切平面逼近与一元函数的切线线性化逼近是非常类似的.

标准线性逼近的精确度

现在考虑逼近的精确度是如何衡量的, 这里受到三个因素的影响:

  1. x 和  x 0  的接近程度

  2. y 和  y 0  的接近程度

  3. 函数 f 在点  ( x 0 , y 0 )  附近的弯曲程度(可以用二阶导数衡量)

用微分来预测变化


「予人玫瑰, 手留余香」

转发既是支持, 我们会努力走得更远! 

登录查看更多
3

相关内容

通常认为,高等数学是由微积分学,较深入的代数学、几何学以及它们之间的交叉内容所形成的一门基础学科。
最新《自动微分手册》77页pdf
专知会员服务
103+阅读 · 2020年6月6日
【ICLR2020】图神经网络与图像处理,微分方程,27页ppt
专知会员服务
48+阅读 · 2020年6月6日
【UCLA】基于深度神经网络的工业大模型预测控制,36页ppt
一份循环神经网络RNNs简明教程,37页ppt
专知会员服务
173+阅读 · 2020年5月6日
机器学习入门 | 刷新你三观的高数和线代教程
大数据技术
21+阅读 · 2019年3月22日
已删除
将门创投
6+阅读 · 2019年1月2日
谷歌官方:反向传播算法图解
新智元
9+阅读 · 2018年6月29日
条件概率和贝叶斯公式 - 图解概率 03
遇见数学
10+阅读 · 2018年6月5日
图解机器学习
深度学习世界
3+阅读 · 2017年11月24日
图解高等数学|线性代数
遇见数学
39+阅读 · 2017年10月18日
机器学习(19)之支持向量回归机
机器学习算法与Python学习
12+阅读 · 2017年10月3日
GAN的数学原理
算法与数学之美
16+阅读 · 2017年9月2日
机器学习(13)之最大熵模型详解
机器学习算法与Python学习
7+阅读 · 2017年8月24日
【基础数学】- 01
遇见数学
20+阅读 · 2017年7月25日
Arxiv
7+阅读 · 2018年3月21日
Arxiv
12+阅读 · 2018年1月12日
Arxiv
3+阅读 · 2017年12月18日
Arxiv
5+阅读 · 2017年4月12日
VIP会员
相关资讯
机器学习入门 | 刷新你三观的高数和线代教程
大数据技术
21+阅读 · 2019年3月22日
已删除
将门创投
6+阅读 · 2019年1月2日
谷歌官方:反向传播算法图解
新智元
9+阅读 · 2018年6月29日
条件概率和贝叶斯公式 - 图解概率 03
遇见数学
10+阅读 · 2018年6月5日
图解机器学习
深度学习世界
3+阅读 · 2017年11月24日
图解高等数学|线性代数
遇见数学
39+阅读 · 2017年10月18日
机器学习(19)之支持向量回归机
机器学习算法与Python学习
12+阅读 · 2017年10月3日
GAN的数学原理
算法与数学之美
16+阅读 · 2017年9月2日
机器学习(13)之最大熵模型详解
机器学习算法与Python学习
7+阅读 · 2017年8月24日
【基础数学】- 01
遇见数学
20+阅读 · 2017年7月25日
Top
微信扫码咨询专知VIP会员