【ACL2020】SEEK:一种轻量级的知识图谱嵌入框架

2020 年 6 月 29 日 深度学习自然语言处理

点击上方,选择星标置顶,每天给你送干货

阅读大概需要12分钟

跟随小博主,每天进步一丢丢


作者: 林哲乐

方向: 知识图谱、问答

知乎专栏: 

https://zhuanlan.zhihu.com/p/151741265

CSDN博客:

https://blog.csdn.net/weixin_37995835/article/details/106994820


来自ACL2020

SEEK: Segmented Embedding of Knowledge Graphs

paper:https://arxiv.org/pdf/2005.00856.pdf

code: https://github.com/Wentao-Xu/SEEK

本文提出一种轻量级的知识图谱嵌入框架SEEK

  • 1.引言

  • 2.相关工作

  • 3.SEEK的框架

    复杂度分析

    与其他方法比较

  • 4.实验

  • 5.总结

  • 6.参考文献


本文的贡献有两个: 

  • 提出了「轻量级框架SEEK」,同时满足模型的低复杂性、高表达力 

  • 提出了新「打分函数」,同时完成特征整合、关系留存


同时,此模型SEEK强调两个关键特性:

  • 利用足够多的特征进行交叉计算(先分块) 

  • 同时在计算时,区别对称关系、非对称关系的特征

名字来源:「S」egmented 「E」mbedding for 「K」Gs (SEEK).

1.引言

知识图谱 (KG)含有大量的实体和关系,表示为三元组(h, r, t),即(头实体 , 关系, 尾实体)。图谱的嵌入(KGE)变成热点之一,对下游任务至关重要(如个性化推荐、问答 等)。图谱嵌入的目标是,把相关三元组映射到低维空间,同时保留潜在的语义信息。现有的KGE模型存在的问题:不能很好地平衡「模型复杂性」(模型参数的数量)和「模型表达力」(获取语义信息的能力),如下分为两类:

  • 模型简单、表达有限    
    如:TransE、DistMult(简单易用,获取语义信息的能力欠佳)
  • 模型复杂、表达力强    
    如:TransH、TransR、Single DistMult、ConvE、InteractE (模型复杂,需要大量向量计算,扩展性差)

本文的轻量级KGE框架SEEK有如下特性:「特征有交互」「保留关系特性」「高效的打分函数」

  • 特征交互:把嵌入空间分为多块,让各块之间相互计算(而不用增加模型参数)
  • 关系特性:同时保留对称的、非对称的关系(对称关系:双向关系;非对称关系:单向关系)
  • 打分函数:结合上述两种特征,计算得分(灵感来自于3个模型的打分函数:DistMult、HoIE、ComplEx)

2.相关工作

现有KGE模型(1-2为一类,3-5为一类):

1.TransE:把关系r看作是一种从实体h到实体t的翻译 

2.DistMult:用多维线性点积作为得分函数 

3.TransH、TransD、 ITransF :TransE升级版,增加参数,将实体和关系映射到不同的语义空间 

4.Single DistMult:加大了DistMult嵌入维度的大小 

5.ProjE , ConvE,InteractE:采用神经网络,参数很多

3.SEEK的框架

各种打分函数是KGE(knowledge graph embedding)的基础,基于此我们建立了SEEK。本文提出的SEEK模型的参数和TransE、DistMult一样少,却能更好地表达图谱。

3.1打分函数(四种)

一共四种打分函数,逐步进阶 

⭐  「f~1~」 :点积 (早期方法,过于简单)r关系,h头实体,t尾实体,第  i 维

「f~2~」 :分块点积(整合了不同分块之间的特征,但把关系统一认为是对称的关系) 

将h,t,r都分为k块,每一块的维度是d/k,比如r:

的计算公式如下:

⭐  「f~3~」 : 区分对称/非对称关系,「复杂度O(k^2^d)」

奇——非对称关系;偶——对称关系当k=2时,f~3~的计算方式如图:(当r为偶,代表对称关系,系数都为正;r为奇数,代表非对称关系,系数取决于是否x + y ≥ k)缺点:1.数据驱动型方法  2.计算量大, 一个三元组k^3^次点积运算,时间复杂度O(k^3^d/k) =O(kd)

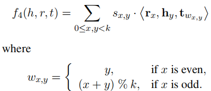
⭐  「f~4~」 :减少多余计算量,「复杂度O(kd)」引入尾实体 t 的索引向量W~ij~f~4~只需k^2^次点积,则复杂度为y O(k^2^×d/k) = O(kd) 当k=4时,f~4~计算如下:f~4~的特性:1.超参数k,决定计算复杂度,一般k=4或k=8  2.同时考虑对称/非对称关系  3. 不同分块之间维度可以不同

3.2讨论

复杂度分析

时间复杂度:O(kd) 空间复杂度:O(d)

与其他方法比较

SEEK普适性更强,传统模型如DistMult、ComplEx、HolE等 

可以推导,当k = 1 和 k = 2时,以上模型是SEEK的特例

「Proposition 1」  SEEK (k = 1) 等同于DistMult

「Proposition 2」  SEEK (k = 2) 等同于ComplEx 和 HolE

3.3训练

损失函数为-log函数,L2正则化,激活函数sigmoidΘ:向量嵌入时的参数 Ω:图谱中本来的三元组、生成的负样本三元组 

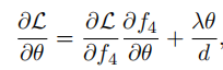
梯度的计算公式:L目标函数,Θ参数,对f~4~求导时:

4.实验

数据集

FB15K:数据库Freebase的子集 

DB100K:DBpedia的一些核心映射 

YAGO37:YAGO3的一些核心事实

参数

优化:SGD / AdaGrad

找超参数:grid search方法 

分块个数k:k ∈ {1, 2, 4, 8, 16, 20} 

嵌入维度D:D ∈ {100, 200, 300, 400} 

L2正则系数:λ ∈ {0.1, 0.01, 0.001, 0.0001} 

负样本个数:η ∈ {10, 50, 100, 500, 1000} 

最优参数:

  • FB15K:k = 8, D = 400, λ = 0.001, η = 1000
  • DB100K:k = 4, D = 400, λ = 0.01, η = 100
  • YAGO37:k = 4, D = 400, λ = 0.001, η = 200
对比实验

相比于SEEK,用f~2~函数,得到「Sym-SEEK」框架。面对连接预测任务,在不同数据集上的效果如下:

k的取值

在数据集FB15K上,k的不同取值对时间、MRR的影响:由上图可知,k的取值至关重要。k=8时,性能最佳。而运行时间是线性变化的,符合之前的推论,即线性复杂度为O(kd) 。

个例说明

通过某一些个例,来证明模型SEEK的表达能力。在数据集DB100K上,使用打分函数f~1~、f~2~、f~4~后,通过激活函数sigmoid函数,分别得到概率值P~1~、P~2~、P~4~,如下图:上述三元组中,左边为对称关系,右边为非对称关系。前者的相反关系在测试集为正,P~1~、P~2~、P~4~的值依然较高;而后者的相反关系在测试集为负,却只有概率P~4~较低。原因是,f~1~、f~2~不考虑非对称关系,而f~4~考虑,故得到一个很低的概率值P~4~,表示反转后的关系与原始关系有较大不同。和预设的模型表达力一致。

5.总结

本文提出一个轻量级框架SEEK,利用打分函数,在不增加模型参数的情况下,提高了模型对知识图谱的嵌入表示效果。主要原理是:1.分块并利用不同块之间的特征交叉计算  2.区分并保留多种关系 。同时SEEK是一个普适性更强的模型,DistMult, ComplEx, HolE可作为SEEK的特例。本文从效率、效果、鲁棒性方面阐述了SEEK的性能。

6.参考文献

(主要的参考文献)

[1]:Hongwei Wang, Fuzheng Zhang, Xing Xie, and Minyi Guo. 2018. Dkn: Deep knowledge-aware network for news recommendation. In Proceedings of WWW, pages 1835–1844. 

[2]:Xiao Huang, Jingyuan Zhang, Dingcheng Li, and Ping Li. 2019. Knowledge graph embedding based question answering. In Proceedings of WSDM, pages 105–113.

[3]:  Antoine Bordes, Nicolas Usunier, Alberto Garcia Duran, Jason Weston, and Oksana Yakhnenko. 2013. Translating embeddings for modeling multi relational data. In Proceedings of NIPS, pages 2787– 2795. 

[4]: Bishan Yang, Wen-tau Yih, Xiaodong He, Jianfeng Gao, and Li Deng. 2015. Embedding entities and relations for learning and inference in knowledge bases. In Proceedings of ICLR. 

[5]:Zhen Wang, Jianwen Zhang, Jianlin Feng, and Zheng Chen. 2014. Knowledge graph embedding by translating on hyperplanes. In Proceedings of AAAI, pages 1112–1119. 

[6]:Yankai Lin, Zhiyuan Liu, Maosong Sun, Yang Liu, and Xuan Zhu. 2015. Learning entity and relation embeddings for knowledge graph completion. In Proceedings of AAAI, pages 2181–2187. 

[7]:Rudolf Kadlec, Ondrej Bajgar, and Jan Kleindienst. 2017. Knowledge base completion: Baselines strike back. arXiv preprint arXiv:1705.10744. 

[8]:Tim Dettmers, Minervini Pasquale, Stenetorp Pontus, and Sebastian Riedel. 2018. Convolutional 2d knowledge graph embeddings. In Proceedings of AAAI, pages 1811–1818. 

[9]:Shikhar Vashishth, Soumya Sanyal, Vikram Nitin, Nilesh Agrawal, and Partha Talukdar. 2019. Interacte: Improving convolution-based knowledge graph embeddings by increasing feature interactions. arXiv preprint arXiv:1911.00219. 

[10]:Maximilian Nickel, Lorenzo Rosasco, Tomaso A Poggio, et al. 2016. Holographic embeddings of knowledge graphs. In Proceedings of AAAI, pages 1955–1961. 

[11]:Theo Trouillon, Johannes Welbl, Sebastian Riedel, ´ Eric ´Gaussier, and Guillaume Bouchard. 2016. Complex embeddings for simple link prediction. In Proceedings of ICML, pages 2071–2080. 

[12]:Baoxu Shi and Tim Weninger. 2017. Proje: Embedding projection for knowledge graph completion. In Proceedings of AAAI, pages 1236–1242.

添加个人微信,备注: 昵称-学校(公司)-方向 即可获得
1. 快速学习深度学习五件套资料
2. 进入高手如云DL&NLP交流群
记得备注呦


登录查看更多
1

相关内容

【知识图谱@ACL2020】Knowledge Graphs in Natural Language Processing
专知会员服务
66+阅读 · 2020年7月12日
【KDD2020】自适应多通道图卷积神经网络
专知会员服务
121+阅读 · 2020年7月9日
论文浅尝 | 可建模语义分层的知识图谱补全方法
开放知识图谱
30+阅读 · 2020年3月8日
ACL 2019开源论文 | 基于Attention的知识图谱关系预测
知识图谱嵌入(KGE):方法和应用的综述
专知
56+阅读 · 2019年8月25日
ICLR 2019 | 基于复杂空间关系旋转的知识表示方法
PaperWeekly
17+阅读 · 2019年7月29日
论文浅尝 | 基于知识库的自然语言理解 03#
开放知识图谱
14+阅读 · 2019年2月26日
关系推理:基于表示学习和语义要素
计算机研究与发展
19+阅读 · 2017年8月22日
Arxiv
8+阅读 · 2020年5月2日
Arxiv
102+阅读 · 2020年3月4日
Arxiv
20+阅读 · 2019年9月7日
VIP会员
相关VIP内容
【知识图谱@ACL2020】Knowledge Graphs in Natural Language Processing
专知会员服务
66+阅读 · 2020年7月12日
【KDD2020】自适应多通道图卷积神经网络
专知会员服务
121+阅读 · 2020年7月9日
相关资讯
论文浅尝 | 可建模语义分层的知识图谱补全方法
开放知识图谱
30+阅读 · 2020年3月8日
ACL 2019开源论文 | 基于Attention的知识图谱关系预测
知识图谱嵌入(KGE):方法和应用的综述
专知
56+阅读 · 2019年8月25日
ICLR 2019 | 基于复杂空间关系旋转的知识表示方法
PaperWeekly
17+阅读 · 2019年7月29日
论文浅尝 | 基于知识库的自然语言理解 03#
开放知识图谱
14+阅读 · 2019年2月26日
关系推理:基于表示学习和语义要素
计算机研究与发展
19+阅读 · 2017年8月22日
Top
微信扫码咨询专知VIP会员