干货 | 手把手教你如何使用TensorFlow实现深度强化学习玩转Flappy Bird

2017 年 9 月 13 日 机器学习算法与Python学习

微信公众号

关键字全网搜索最新排名

【机器学习算法】:排名第一

【机器学习】:排名第二

【Python】:排名第三

【算法】:排名第四


作者:yhthu 选文|小象  

已获作者授权,拒绝二次转载

原文链接:http://www.jianshu.com/p/0a04426ee3ad

转自:小象

以下内容来源于一次部门内部的分享,主要针对AI初学者,介绍包括CNN、Deep Q Network以及TensorFlow平台等内容。由于笔者并非深度学习算法研究者,因此以下更多从应用的角度对整个系统进行介绍,而不会进行详细的公式推导。

关于Flappy Bird 
Flappy Bird(非官方译名:笨鸟先飞)是一款2013年鸟飞类游戏,由越南河内独立游戏开发者阮哈东(Dong Nguyen)开发,另一个独立游戏开发商GEARS Studios发布。—— 以上内来自《维基百科》

Flappy Bird操作简单,通过点击手机屏幕使Bird上升,穿过柱状障碍物之后得分,碰到则游戏结束。由于障碍物高低不等,控制Bird上升和下降需要反应快并且灵活,要得到较高的分数并不容易,笔者目前最多得过10分。

本文主要介绍如何通过AI(人工智能)的方式玩Flappy Bird游戏,分为以下四个部分内容:

  1. Flappy Bird 游戏展示

  2. 模型:卷积神经网络

  3. 算法:Deep Q Network

  4. 代码:TensorFlow实现

一、Flappy Bird 游戏展示

在介绍模型、算法前先来直接看下效果,上图是刚开始训练的时候,画面中的小鸟就像无头苍蝇一样乱飞,下图展示的是在本机(后面会给出配置)训练超过10小时后(训练步数超过2000000)的情况,其最好成绩已经超过200分,人类玩家已基本不可能超越。


训练数小于10000步(刚开始训练)



训练步数大于2000000步(10小时后)


由于本机配置了CUDA以及cuDNN,采用了NVIDIA的显卡进行并行计算,所以这里提前贴一下运行时的日志输出。

关于CUDA以及cuDNN的配置,其中有一些坑包括:安装CUDA之后循环登录,屏幕分辨率无法正常调节等等,都是由于NVIDIA驱动安装的问题,这不是本文要讨论的主要内容,读者可自行Google。

  • 加载CUDA运算库


加载CUDA运算库

  • TensorFlow运行设备 /gpu:0


TensorFlow运行设备/gpu:0

/gpu:0 这是TensorFlow平台默认的配置方法,表示使用系统中的第一块显卡。

本机软硬件配置:
系统:Ubuntu 16.04
显卡:NVIDIA GeForce GTX 745 4G
版本:TensorFlow 1.0
软件包:OpenCV 3.2.0、Pygame、Numpy、…

细心的朋友可能发现,笔者的显卡配置并不高,GeForce GTX 745,显存3.94G,可用3.77G(桌面占用了一部分),属于入门中的入门。对于专业做深度学习算法的朋友,这个显卡必然是不够的。知乎上有帖子教大家怎么配置更专业的显卡,有兴趣的可以移步。

二、模型:卷积神经网络

神经网络算法是由众多的神经元可调的连接权值连接而成,具有大规模并行处理、分布式信息存储、良好的自组织自学习能力等特点。人工神经元与生物神经元结构类似,其结构对比如下图所示。


生物神经元



人工神经元


人工神经元的输入(x1,x2...xm)类似于生物神经元的树突,输入经过不同的权值(wk1, wk2, ....wkn),加上偏置,经过激活函数得到输出,最后将输出传输到下一层神经元进行处理。


单神经元输出函数


激活函数为整个网络引入了非线性特性,这也是神经网络相比于回归等算法拟合能力更强的原因。常用的激活函数包括sigmoid、tanh等,它们的函数表达式如下:


sigmoid函数



tanh双曲正切函数


这里可以看出,sigmoid函数的值域是(0,1),tanh函数的值域是(-1,1)。

卷积神经网络起源于动物的视觉系统,主要包含的技术是:

  1. 局部感知域(稀疏连接);

  2. 参数共享;

  3. 多卷积核;

  4. 池化。

  • 1. 局部感知域(稀疏连接)

全连接网络的问题在于:

  1. 需要训练的参数过多,容器导致结果不收敛(梯度消失),且训练难度极大;

  2. 实际上对于某个局部的神经元来讲,它更加敏感的是小范围内的输入,换句话说,对于较远的输入,其相关性很低,权值也就非常小。

人类的视觉系统决定了人在观察外界的时候,总是从局部到全局。

比如,我们看到一个美女,可能最先观察到的是美女身上的某些部位(自己体会)。

因此,卷积神经网络与人类的视觉类似,采用局部感知,低层的神经元只负责感知局部的信息,在向后传输的过程中,高层的神经元将局部信息综合起来得到全局信息。


全连接与局部连接的对比(图片来自互联网)


从上图中可以看出,采用局部连接之后,可以大大的降低训练参数的量级。

  • 2. 参数共享

虽然通过局部感知降低了训练参数的量级,但整个网络需要训练的参数依然很多。

参数共享就是将多个具有相同统计特征的参数设置为相同,其依据是图像中一部分的统计特征与其它部分是一样的。其实现是通过对图像进行卷积(卷积神经网络命名的来源)。

可以理解为,比如从一张图像中的某个局部(卷积核大小)提取了某种特征,然后以这种特征为探测器,应用到整个图像中,对整个图像顺序进行卷积,得到不同的特征。


卷积过程(图片来自互联网)


每个卷积都是一种特征提取方式,就像一个筛子,将图像中符合条件(激活值越大越符合条件)的部分筛选出来,通过这种卷积就进一步降低训练参数的量级。

  • 3. 多卷积核

如上,每个卷积都是一种特征提取方式,那么对于整幅图像来讲,单个卷积核提取的特征肯定是不够的,那么对同一幅图像使用多种卷积核进行特征提取,就能得到多幅特征图(feature map)


不同的卷积核提取不同的特征(图片来自互联网)


多幅特征图可以看成是同一张图像的不同通道,这个概念在后面代码实现的时候用得上。

  • 4. 池化

得到特征图之后,可以使用提取到的特征去训练分类器,但依然会面临特征维度过多,难以计算,并且可能过拟合的问题。从图像识别的角度来讲,图像可能存在偏移、旋转等,但图像的主体却相同的情况。也就是不同的特征向量可能对应着相同的结果,那么池化就是解决这个问题的。


池化过程(图片来自互联网)


池化就是将池化核范围内(比如2*2范围)的训练参数采用平均值(平均值池化)或最大值(最大值池化)来进行替代。

终于到了展示模型的时候,下面这幅图是笔者手画的(用电脑画太费时,将就看吧),这幅图展示了本文中用于训练游戏所用的卷积神经网络模型。


卷积神经网络模型


图像的处理过程


  1. 初始输入四幅图像80×80×4(4代表输入通道,初始时四幅图像是完全一致的),经过卷积核8×8×4×32(输入通道4,输出通道32),步距为4(每步卷积走4个像素点),得到32幅特征图(feature map),大小为20×20;

  2. 将20×20的图像进行池化,池化核为2×2,得到图像大小为10×10;

  3. 再次卷积,卷积核为4×4×32×64,步距为2,得到图像5×5×64;

  4. 再次卷积,卷积核为3×3×64*64,步距为2,得到图像5×5×64,虽然与上一步得到的图像规模一致,但再次卷积之后的图像信息更为抽象,也更接近全局信息;

  5. Reshape,即将多维特征图转换为特征向量,得到1600维的特征向量;

  6. 经过全连接1600×512,得到512维特征向量;

  7. 再次全连接512×2,得到最终的2维向量[0,1]和[1,0],分别代表游戏屏幕上的是否点击事件。

可以看出,该模型实现了端到端的学习,输入的是游戏屏幕的截图信息(代码中经过opencv处理),输出的是游戏的动作,即是否点击屏幕。深度学习的强大在于其数据拟合能力,不需要传统机器学习中复杂的特征提取过程,而是依靠模型发现数据内部的关系。

不过这也带来另一方面的问题,那就是深度学习高度依赖大量的标签数据,而这些数据获取成本极高。

三、算法:Deep Q Network

有了卷积神经网络模型,那么怎样训练模型?使得模型收敛,从而能够指导游戏动作呢?机器学习分为监督学习、非监督学习和强化学习,这里要介绍的Q Network属于强化学习(Reinforcement Learning)的范畴。在正式介绍Q Network之前,先简单说下它的光荣历史。

2014年Google 4亿美金收购DeepMind的桥段,大家可能听说过。那么,DeepMind是如何被Google给盯上的呢?最终原因可以归咎为这篇论文:

Playing Atari with Deep Reinforcement Learning

DeepMind团队通过强化学习,完成了20多种游戏,实现了端到端的学习。其用到的算法就是Q Network。2015年,DeepMind团队在《Nature》上发表了一篇升级版:

Human-level control through deep reinforcement learning

自此,在这类游戏领域,人已经无法超过机器了。后来又有了AlphaGo,以及Master,当然,这都是后话了。其实本文也属于上述论文的范畴,只不过基于TensorFlow平台进行了实现,加入了一些笔者自己的理解而已。

回到正题,Q Network属于强化学习,那么先介绍下强化学习。


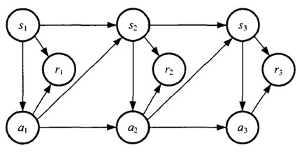
强化学习模型


这张图是从UCL的课程中拷出来的,课程链接地址(YouTube):
https://www.youtube.com/watch?v=2pWv7GOvuf0

强化学习过程有两个组成部分:

  • 智能代理(学习系统)

  • 环境

如图所示,在每步迭代过程中,首先智能代理(学习系统)接收环境的状态st,然后产生动作at作用于环境,环境接收动作at,并且对其进行评价,反馈给智能代理rt。不断的循环这个过程,就会产生一个状态/动作/反馈的序列:(s1, a1, r1, s2, a2, r2.....,sn, an, rn),而这个序列让我们很自然的想起了:

  • 马尔科夫决策过程


MDP:马尔科夫决策过程


马尔科夫决策过程与著名的HMM(隐马尔科夫模型)相同的是,它们都具有马尔科夫特性。那么什么是马尔科夫特性呢?简单来说,就是未来的状态只取决于当前的状态,与过去的状态无关。

HMM(马尔科夫模型)在语音识别,行为识别等机器学习领域有较为广泛的应用。条件随机场模型(Conditional Random Field)则用于自然语言处理。两大模型是语音识别、自然语言处理领域的基石。

上图可以用一个很形象的例子来说明。比如你毕业进入了一个公司,你的初始职级是T1(对应图中的 s1),你在工作上刻苦努力,追求上进(对应图中的a1),然后领导觉得你不错,准备给你升职(对应图中的r1),于是,你升到了T2;你继续刻苦努力,追求上进......不断的努力,不断的升职,最后升到了sn。当然,你也有可能不努力上进,这也是一种动作,换句话说,该动作a也属于动作集合A,然后得到的反馈r就是没有升职加薪的机会。

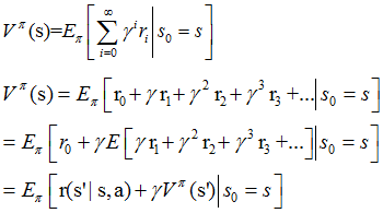
这里注意下,我们当然希望获取最多的升职,那么问题转换为:如何根据当前状态ss属于状态集S),从A中选取动作a执行于环境,从而获取最多的r,即r1 + r2 ……+rn的和最大 ?这里必须要引入一个数学公式:状态值函数


状态值函数模型


公式中有个折合因子γ,其取值范围为[0,1],当其为0时,表示只考虑当前动作对当前的影响,不考虑对后续步骤的影响,当其为1时,表示当前动作对后续每步都有均等的影响。当然,实际情况通常是当前动作对后续得分有一定的影响,但随着步数增加,其影响减小。

从公式中可以看出,状态值函数可以通过迭代的方式来求解。增强学习的目的就是求解马尔可夫决策过程(MDP)的最优策略。

策略就是如何根据环境选取动作来执行的依据。策略分为稳定的策略和不稳定的策略,稳定的策略在相同的环境下,总是会给出相同的动作,不稳定的策略则反之,这里我们主要讨论稳定的策略。

求解上述状态函数需要采用动态规划的方法,而具体到公式,不得不提:

  • 贝尔曼方程


贝尔曼方程


其中,π代表上述提到的策略,Q π (s, a)相比于V π (s),引入了动作,被称作动作值函数。对贝尔曼方程求最优解,就得到了贝尔曼最优性方程


状态值函数最优解



动作值函数最优解


求解该方程有两种方法:策略迭代值迭代

  • 策略迭代

策略迭代分为两个步骤:策略评估策略改进,即首先评估策略,得到状态值函数,其次,改进策略,如果新的策略比之前好,就替代老的策略。


策略迭代


  • 值迭代

从上面我们可以看到,策略迭代算法包含了一个策略估计的过程,而策略估计则需要扫描(sweep)所有的状态若干次,其中巨大的计算量直接影响了策略迭代算法的效率。而值迭代每次只扫描一次,更新过程如下:


值迭代


即在值迭代的第k+1次迭代时,直接将能获得的最大的Vπ(s)值赋给Vk+1。

  • Q-Learning

Q-Learning是根据值迭代的思路来进行学习的。该算法中,Q值更新的方法如下:


Q值更新方法


虽然根据值迭代计算出目标Q值,但是这里并没有直接将这个Q值(是估计值)直接赋予新的Q,而是采用渐进的方式类似梯度下降,朝目标迈近一小步,取决于α,这就能够减少估计误差造成的影响。类似随机梯度下降,最后可以收敛到最优的Q值。具体算法如下:


Q-Learning算法


如果没有接触过动态规划的童鞋看上述公式可能有点头大,下面通过表格来演示下Q值更新的过程,大家就明白了。

状态 a1 a2 a3 a4
s1 Q(1, 1) Q(1, 2) Q(1, 3) Q(1, 4)
s2 Q(2, 1) Q(2, 2) Q(2, 3) Q(2, 4)
s3 Q(3, 1) Q(3, 2) Q(3, 3) Q(3, 4)
s4 Q(4, 1) Q(4, 2) Q(4, 3) Q(4, 4)

Q-Learning算法的过程就是存储Q值的过程。上表中,横列为状态s,纵列为Action a,s和a决定了表中的Q值。

  • 第一步:初始化,将表中的Q值全部置0;

  • 第二步:根据策略及状态s,选择a执行。假定当前状态为s1,由于初始值都为0,所以任意选取a执行,假定这里选取了a2执行,得到了reward为1,并且进入了状态s3。根据Q值更新公式:


Q值更新公式


来更新Q值,这里我们假设α是1,λ也等于1,也就是每一次都把目标Q值赋给Q。那么这里公式变成:


Q值更新公式

所以在这里,就是


本次Q值更新

那么对应的s3状态,最大值是0,所以


Q值

Q表格就变成:

状态 a1 a2 a3 a4
s1 0 1 0 0
s2 0 0 0 0
s3 0 0 0 0
s4 0 0 0 0

然后置位当前状态s为s3。

  • 第三步:继续循环操作,进入下一次动作,当前状态是s3,假设选择动作a3,然后得到reward为2,状态变成s1,那么我们同样进行更新:


Q值更新


所以Q的表格就变成:

状态 a1 a2 a3 a4
s1 0 1 0 0
s2 0 0 0 0
s3 0 0 3 0
s4 0 0 0 0
  • 第四步: 继续循环,Q值在试验的同时反复更新,直到收敛。

上述表格演示了具有4种状态/4种行为的系统,然而在实际应用中,以本文讲到的Flappy Bird游戏为例,界面为80*80个像素点,每个像素点的色值有256种可能。那么实际的状态总数为256的80*80次方,这是一个很大的数字,直接导致无法通过表格的思路进行计算。

因此,为了实现降维,这里引入了一个价值函数近似的方法,通过一个函数表近似表达价值函数:


价值函数近似


其中,ω 与 b 分别为参数。看到这里,终于可以联系到前面提到的神经网络了,上面的表达式不就是神经元的函数吗?

  • Q-network

下面这张图来自论文《Human-level Control through Deep Reinforcement Learning》,其中详细介绍了上述将Q值神经网络化的过程。(感兴趣的可以点之前的链接了解原文~)


Q-network


以本文为例,输入是经过处理的4个连续的80x80图像,然后经过三个卷积层,一个池化层,两个全连接层,最后输出包含每一个动作Q值的向量。

现在已经将Q-learning神经网络化为Q-network了,接下来的问题是如何训练这个神经网络。神经网络训练的过程其实就是一个最优化方程求解的过程,定义系统的损失函数,然后让损失函数最小化的过程。

训练过程依赖于上述提到的DQN算法,以目标Q值作为标签,因此,损失函数可以定义为:


DQN损失函数(来源于论文)


上面公式是s'a'即下一个状态和动作。确定了损失函数,确定了获取样本的方式,DQN的整个算法也就成型了!


DQN算法(来源于论文)


值得注意的是这里的D—Experience Replay,也就是经验池,就是如何存储样本及采样的问题。

由于玩Flappy Bird游戏,采集的样本是一个时间序列,样本之间具有连续性,如果每次得到样本就更新Q值,受样本分布影响,效果会不好。因此,一个很直接的想法就是把样本先存起来,然后随机采样如何?这就是Experience Replay的思想。

算法实现上,先反复实验,并且将实验数据存储在D中;存储到一定程度,就从中随机抽取数据,对损失函数进行梯度下降。

四、代码:TensorFlow实现

终于到了看代码的时候。首先申明下,当笔者从Deep Mind的论文入手,试图用TensorFlow实现对Flappy Bird游戏进行实现时,发现github已有大神完成demo。思路相同,所以直接以公开代码为例进行分析说明了。

如有源码需要,请移步github:Using Deep Q-Network to Learn How To Play Flappy Bird

代码从结构上来讲,主要分为以下几部分:

  • GameState游戏类,frame_step方法控制移动

  • CNN模型构建

  • OpenCV-Python图像预处理方法

  • 模型训练过程

1. GameState游戏类及frame_step方法

通过Python实现游戏必然要用pygame库,其包含时钟、基本的显示控制、各种游戏控件、触发事件等,对此有兴趣的,可以详细了解pygame。frame_step方法的入参为shape为 (2,) 的ndarray,值域: [1,0]:什么都不做; [0,1]:提升Bird。来看下代码实现:

后续操作包括检查得分、设置界面、检查是否碰撞等,这里不再详细展开。
frame_step方法的返回值是:

分别表示界面图像数据,得分以及是否结束游戏。对应前面强化学习模型,界面图像数据表示环境状态 s,得分表示环境给予学习系统的反馈 r

2. CNN模型构建

该Demo中包含三个卷积层,一个池化层,两个全连接层,最后输出包含每一个动作Q值的向量。因此,首先定义权重、偏置、卷积和池化函数:

然后,通过上述函数构建卷积神经网络模型(对代码中参数不解的,可直接往前翻,看上面那张手画的图)。

3. OpenCV-Python图像预处理方法

在Ubuntu中安装opencv的步骤比较麻烦,当时也踩了不少坑,各种Google解决。建议安装opencv3。

这部分主要对frame_step方法返回的数据进行了灰度化和二值化,也就是最基本的图像预处理方法。

4. DQN训练过程

这是代码部分要讲的重点,也是上述Q-learning算法的代码化。

i. 在进入训练之前,首先创建一些变量:

在TensorFlow中,通常有三种读取数据的方式:Feeding、Reading from files和Preloaded data。Feeding是最常用也最有效的方法。即在模型(Graph)构建之前,先使用placeholder进行占位,但此时并没有训练数据,训练是通过feed_dict传入数据。

这里的a表示输出的动作,即强化学习模型中的Action,y表示标签值,readout_action表示模型输出与a相乘后,在一维求和,损失函数对标签值与输出值的差进行平方,train_step表示对损失函数进行Adam优化。

赋值的过程为:

ii. 创建游戏及经验池 D

经验池 D采用了队列的数据结构,是TensorFlow中最基础的数据结构,可以通过dequeue()enqueue([y])方法进行取出压入数据。经验池 D用来存储实验过程中的数据,后面的训练过程会从中随机取出一定量的batch进行训练。

变量创建完成之后,需要调用TensorFlow系统方法tf.global_variables_initializer()添加一个操作实现变量初始化。运行时机是在模型构建完成,Session建立之初。比如:

iii. 参数保存及加载

采用TensorFlow训练模型,需要将训练得到的参数进行保存,不然一关机,就一夜回到解放前了。TensorFlow采用Saver来保存。一般在Session()建立之前,通过tf.train.Saver()获取Saver实例。

变量的恢复使用saverrestore方法:

在该Demo训练时,也采用了Saver进行参数保存。

首先加载CheckPointState文件,然后采用saver.restore对已存在参数进行恢复。
在该Demo中,每隔10000步,就对参数进行保存:

iv. 实验及样本存储

首先,根据ε 概率选择一个Action。

这里,readout_t是训练数据为之前提到的四通道图像的模型输出。a_t是根据ε 概率选择的Action。

其次,执行选择的动作,并保存返回的状态、得分。

经验池D保存的是一个马尔科夫序列。(s_t, a_t, r_t, s_t1, terminal)分别表示t时的状态s_t,执行的动作a_t,得到的反馈r_t,以及得到的下一步的状态s_t1和游戏是否结束的标志terminal

在下一训练过程中,更新当前状态及步数:

重复上述过程,实现反复实验及样本存储。

v. 通过梯度下降进行模型训练

在实验一段时间后,经验池D中已经保存了一些样本数据后,就可以从这些样本数据中随机抽样,进行模型训练了。这里设置样本数为OBSERVE = 100000.。随机抽样的样本数为BATCH = 32

s_j_batcha_batchr_batchs_j1_batch是从经验池D中提取到的马尔科夫序列(Java童鞋羡慕Python的列表推导式啊),y_batch为标签值,若游戏结束,则不存在下一步中状态对应的Q值(回忆Q值更新过程),直接添加r_batch,若未结束,则用折合因子(0.99)和下一步中状态的最大Q值的乘积,添加至y_batch
最后,执行梯度下降训练,train_step的入参是
s_j_batcha_batchy_batch。差不多经过2000000步(在本机上大概10个小时)训练之后,就能达到本文开头动图中的效果啦。

招募 志愿者

广告、商业合作

请发邮件:357062955@qq.com

喜欢,别忘关注~

帮助你在AI领域更好的发展,期待与你相遇!

登录查看更多
1

相关内容

Flappy Bird (飞扬的小鸟 像素鸟、下坠的小鸟、笨鸟) 是一款由来自越南的独立游戏开发者Dong Nguyen所开发的作品,游戏于2013年5月24日上线,并在2014年2月突然暴红。
2014年2月,《Flappy Bird》被开发者本人从苹果及谷歌应用商店撤下。2014年8月份正式回归APP STORE,正式加入Flappy迷们期待已久的多人对战模式。游戏中玩家必须控制一只小鸟,跨越由各种不同长度水管所组成的障碍。
【Google】利用AUTOML实现加速感知神经网络设计
专知会员服务
30+阅读 · 2020年3月5日
《强化学习—使用 Open AI、TensorFlow和Keras实现》174页pdf
专知会员服务
139+阅读 · 2020年3月1日
一网打尽!100+深度学习模型TensorFlow与Pytorch代码实现集合
【强化学习】深度强化学习初学者指南
专知会员服务
184+阅读 · 2019年12月14日
教你用Python来玩跳一跳
七月在线实验室
6+阅读 · 2018年1月2日
TensorFlow实现神经网络入门篇
AI研习社
11+阅读 · 2017年12月11日
TensorFlow神经网络教程
Python程序员
4+阅读 · 2017年12月4日
6个实验教你用Torch玩转深度学习
七月在线实验室
7+阅读 · 2017年11月21日
10个深度学习软件的安装指南(附代码)
数据派THU
17+阅读 · 2017年11月18日
新手|TensorFlow实现神经网络入门篇!
全球人工智能
9+阅读 · 2017年11月17日
深度学习入门篇--手把手教你用 TensorFlow 训练模型
全球人工智能
4+阅读 · 2017年10月21日
手把手教TensorFlow(附代码)
深度学习世界
15+阅读 · 2017年10月17日
手把手教你安装深度学习软件环境(附代码)
数据派THU
4+阅读 · 2017年10月4日
Arxiv
6+阅读 · 2019年4月4日
The Evolved Transformer
Arxiv
5+阅读 · 2019年1月30日
Arxiv
3+阅读 · 2018年3月13日
Arxiv
7+阅读 · 2018年1月30日
Arxiv
9+阅读 · 2018年1月30日
VIP会员
相关资讯
教你用Python来玩跳一跳
七月在线实验室
6+阅读 · 2018年1月2日
TensorFlow实现神经网络入门篇
AI研习社
11+阅读 · 2017年12月11日
TensorFlow神经网络教程
Python程序员
4+阅读 · 2017年12月4日
6个实验教你用Torch玩转深度学习
七月在线实验室
7+阅读 · 2017年11月21日
10个深度学习软件的安装指南(附代码)
数据派THU
17+阅读 · 2017年11月18日
新手|TensorFlow实现神经网络入门篇!
全球人工智能
9+阅读 · 2017年11月17日
深度学习入门篇--手把手教你用 TensorFlow 训练模型
全球人工智能
4+阅读 · 2017年10月21日
手把手教TensorFlow(附代码)
深度学习世界
15+阅读 · 2017年10月17日
手把手教你安装深度学习软件环境(附代码)
数据派THU
4+阅读 · 2017年10月4日
Top
微信扫码咨询专知VIP会员