为什么透明胶带快着撕透明,慢着撕就不透明了?| No.124

2018 年 10 月 12 日 中科院物理所


透明胶带大家小时候都玩过,刚开始用中性笔的时候常常写错字,直接涂掉又不美观,很多时候就要借助透明胶带了。有时候不免借助多次,一不小心就弄了个窟窿出来。细心的小伙伴可能会注意到一个很有趣的细节,就是把胶带从胶带卷上揭下来的时候,如果揭的速度足够快,揭出来的胶带就是透明的。但是如果你的手速不够快,那很可能揭出来的胶带就是不透明的。这里边就有不少的学问,科学家还做了一些研究,让我们来看看吧!

搭配BGM食用更佳 ╭(●`∀´●)╯(点击音频图标即可食用)


1
Q

金箍棒重一万三千五百斤,孙悟空挥舞起来就跟我们挥舞普通棍子一样,这是不是力气足够大就可以?

by 柿子

A

想要像挥舞普通棍子一样挥舞重一万三千五百斤的金箍棒,当然需要极大的力气,但是只有力气是不够的。即使不考虑空气阻力,在挥舞金箍棒的过程中,因为金箍棒一直处于变速状态中,所以金箍棒自身会受到很大的应力,如果金箍棒不是用强度特别大的材料制成的话,那么不等它打到妖怪身上自己就已经断了。

还有一点是,金箍棒自身质量很大,如果想把它挥得想普通棍子一样,需要施加非常大的外力,根据牛顿第三定律,孙悟空自身也会受到等大的反作用力。假如孙悟空体重是75kg,如果在空中挥舞金箍棒使它产生1 m/s^2的加速度,孙悟空的加速度是-90m/s^2,远大于重力加速度,也就是说他‘咻’的一下就飞出去了。

就像体重轻的人很难驾驭重型步枪一样,因为强大的后坐力会让人飞出去。那么孙悟空要多种才能驾驭金箍棒巨大的质量呢?按照普通棍子重1.5kg重,普通运动员体重75kg计算,孙悟空的体重要达到337500kg才行。看来孙悟空要是一个无敌大胖子才行。

综上所述,像挥舞金箍棒不仅需要巨大的力气,还要求金箍棒自身很坚固,同时孙悟空要是大胖子才行。如果考虑到地面承重能力,衣服强度等等因素,还要施加更多的限制才行。这里不再详述。

By Nothing


2
Q

万有引力无处不在,我们是否可以利用它来获取能源,从而使我们生存,发展呢?


by 骅

A

我们可以利用万有引力获取能源,事实上我们已经这样做了。潮汐发电就是这样一种技术。

潮汐发电与普通水力发电原理类似,通过出水库,在涨潮时将海水储存在水库内,以势能的形式保存,然后,在落潮时放出海水,利用高、低潮位之间的落差,推动水轮机旋转,带动发电机发电。

潮汐自身是由月球和太阳的引力引起的,引力会造成地球上海面升高降低的周期性运动,在地球上看来,这就是潮汐。因此,潮汐发电的能量来源正是万有引力。

参考,百度百科

By Nothing 


3
Q

 怎样计算一个人一生中被雷劈中的概率👼观奇葩说有感            

by  当然不可以显示微信昵称啦

A

计算一个人被雷劈中的概率主要是靠统计数据。我们可以统计某地区每年遭受雷击的人数,然后除以此地区的总人数,得到的数值可以作为此地区的人一年中被雷劈的概率,再考虑到人的寿命就可以得到一个人一生中被雷劈中的概率。例如,全世界每年被雷劈中的人数大约有4000人,假设全世界人口是70亿,那么一个人每年被雷劈中的概率是1/1750000。但是,各地区的人被雷劈中的概率并不完全一样,例如美联邦应急管理局统计数据表明美国人每年被雷劈中的概率约为1/600000。由于雷击具有一定的随机性,所以,特定地区每年遭雷击的人数也会有所变化,相应的被雷劈的概率也会改变。

从上面的分析可以看出,一个人被雷劈的概率并不是一个常数,它会随地区和年份的改变有所不同。总的来说,被雷劈的概率还是很小的。但是,鉴于雷电的强大破坏力,我们平时也要做好防雷避雷的措施。

By  Nothing


4
Q

DNA衍射图像的原理及应用?


by 物理竞赛遇难者

A

先简单地说说X射线晶体衍射的原理。X射线是由于原子中的电子在能量相差悬殊的两个能级之间的跃迁而产生的粒子流,是波长介于0.01~100埃之间的电磁波。X射线具有很高的穿透本领,能透过许多对可见光不透明的物质。晶体结构具有周期性,这些规则排列的结构可以成为X射线衍射的衍射光栅。布拉格认为晶体对X射线的散射可以看成是晶面对其的反射,在满足镜面反射的特定方向上,一个晶面内所有原子的散射波相位相同,形成相长干涉。强度不同的X射线打在接收屏上会形成明暗不同的点,即衍射图谱。

晶体的结构不同,则形成的衍射图谱不同,可以通过衍射图谱来对原本的晶体结构进行解析,这里边有很深的学问,在此就不深入讨论了。

19世纪末到20世纪初是物理学的黄金时期,量子力学的建立与发展可谓英雄辈出,如同一部史诗。而另一方面,人类对于生命的探索从未停止。在那时,科学界基本已经接受基因位于染色体上的观点,但是基因到底是什么却不得而知。薛定谔在《生命是什么》中从物理学的角度来分析,认为基因是一种非周期性的晶体或固体。在实验上证明了DNA是遗传物质后,存在的问题便是DNA应该有什么样的结构,才能担当遗传的重任?它必须能够携带遗传信息,能够自我复制传递遗传信息,能够让遗传信息得到表达以控制细胞活动,并且能够突变并保留突变。这四点,缺一不可,如何建构一个DNA分子模型解释这一切?

1953年,一篇1000多字的文章在Nature上发表,阐述了DNA的双螺旋结构。沃森和克里克以谦逊的笔调,暗示了这个结构模型在遗传上的重要性:“我们并非没有注意到,我们所推测的特殊配对立即暗示了遗传物质的复制机理。”

时年25岁的沃森一鸣惊人,成为公众心中令人瞩目的科学英雄。DNA双螺旋结构的发现是在生物学历史上惟一可与达尔文进化论相比的最重大的发现,它与自然选择一起,统一了生物学的大概念,标志着分子遗传学的诞生。同时也是科学史上的一个重要里程碑,和相对论、量子力学一起被誉为20世纪最重要三大科学发现。就像是罗杰行刑前的遗言,一个新的时代来临了,生命科学飞速发展,正式登上了历史的舞台。

By Patwf


5
Q

从物理学的角度来看,中国龙是怎么飞起来的?


by  匿名

A

除了鸟类,会飞的动物还有很多,它们都有自己的本事。但它们的飞行并不是鸟那种想升就升想降就降,而是一种长距离的滑翔。

比如飞鱼

比如飞行狐猴

比如飞蛙

比如飞蛇(天堂树蛇)

它们都有一个共同点,具有翅膀、或者翅膀类似物。比如飞蛙是蹼很大,张开之后可以用来滑翔,而飞蛇是通过不断地收腹,使整个身体变得扁平,像一个倒扣的“U”形管,有如一个降落伞,在下落过程中增加空气对身体的阻力,以获得100米左右的滑翔。

但是龙并不是单纯的滑翔,它是可以自由飞翔的。

从物理学上来分析,飞行就是需要机体的部位克服重力做功,提供和重力平衡的力。

动物的形态往往是为了形式特定的功能而进化出来的,要飞的动物,就必须具备一定的特征。让我们从形态入手,先来看看中国龙的形态。


中国龙并没有翅膀,长的有点像鳄鱼+蜥蜴+蛇的结合体。从形态学的角度来分析,它是不能飞的。

在这里我们需要进行一个预先的设定,即龙确实是会飞的,它通过让人产生幻觉或者全息投影让人误以为它在飞的情况不在考虑之列。

龙的体内存在一个巨大的囊,囊壁密不透气,具有很强的韧性,囊可以收缩膨胀改变体积。囊的入口有一个生物固体膜,可以对空气当中的组分进行分离。当龙吸入空气时,空气中的氦气被分离并储存在囊中,龙相当于是一个气球,可以获得浮力。而多余的气体则快速的从身体下方、后方排出以获得反冲,这是它快速前进与上升的动力来源。如果要下降,则氦气被替换为空气。当入水的时候,气体被排出,囊中储存水,与潜水艇原理类似。

以上的猜想是基于现有的知识。站在科幻的角度来看,下边这个玩意的飞行机制也许和龙有一定的相似之处。


By Patwf


6
Q

透明胶带撕开时可能有两种情况,撕的慢一点透明胶带就发白不透明,撕的快一点就是透明的,这两种情况有所区别的原因是什么?


by 璟光瑛华

A

这是个十分有趣的问题。先上结论,白色的其实都是小气泡。

空气不是透明的么,气泡为啥有颜色呢?这是因为材料里面有很多气泡的时候,一束光射入以后并不能直接穿透过去,而是会在材料内部不断地发生吸收,反射,散射等过程。

比如我们平时吃的冰块,里面的白白的就是小气泡和其他杂质。

胶带从上个世纪初开始大量生产以来,已经走过了一百多年的历史。我们每个人从小到大都撕过不计其数的胶带,其中不乏一些十分有好奇心的科学家。胶带为什么可以黏住东西?其原因在于表面上覆盖有一层水性压敏胶。在和表面结合以后,可以降低表面的能量,从而牢牢地吸附在表面上。

所以胶带里面的小气泡是怎么来的呢?关于撕胶带的过程科学家们有过很多研究,主要分为高速撕胶带和慢速撕胶带。高速撕胶带一般是10cm/s,科学家们研究的焦点一般在声音的来源和摩擦发光上(对,你没看错,撕胶带还会发光[1]……)。

而慢速撕胶带一般有多慢呢?0.01mm/s,按照一般胶带长度为1m来算的话要撕俩小时。但是也只有这么慢的时候,我们才能看清在撕的时候胶带上发生了什么。

这是科学家[2]利用显微镜拍到的画面。画面里的胶带是从上往下撕的,在交界处,胶水的形状变成了锯齿的样子。如果我们用不同大小的力去撕的话,锯齿的数量也会发生变化。以下左图的图像是力较小的时候拍摄的,而右图是力较大的时候拍摄的。可以看到,左图两个锯齿之间的间距会比右图要大。所以左边当力较小的时候,也更容易撕出气泡来。

需要注意到,上面两张图都是在前面慢速撕胶带的前提下拍摄的。但是这种趋势我们不难想象,当我们的胶带撕得比较快时,锯齿会变得非常密,也就不会有气泡了。

参考文献:

[1] Camara, C. G., Escobar, J. V., Hird, J. R., & Putterman, S. J. (2008). Correlation between nanosecond X-ray flashes and stick–slip friction in peeling tape. nature, 455(7216), 1089.

[2] Miyagi, Z., Koike, M., Urahama, Y., & Yamamoto, K. (1994). Study of peeling properties of pressure-sensitive adhesives using a newly developed image processing system. International journal of adhesion and adhesives, 14(1), 39-45.

By cloudiiink


7
Q

为什么量子的波函数乘以常数不会影响波空间概率分布?


By Tauphy

A

波函数的统计诠释指出波函数在空间中某点模的平方正比于在改点发现粒子的概率。

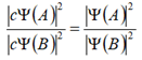
概率有一个重要的特性,那就是归一化。即全部的可能加起来,其概率应该是1。这就要求波函数模的平方在全空间的积分为1。从这一点来看,不管波函数其前边有何常数,最终都需要乘上一个归一化的系数。

另一方面,对于概率来说,重要的是相对概率。比如在空间A点发现粒子相对于在B点发生的概率,这是实验上直接能测到的。从这一角度来看,波函数前边的常数是不影响相对概率的。用公式来描述就是: 

可以看出不管波函数乘什么常数,在计算相对概率时都被消掉了。

By Patwf




本期答题团队:

物理所    Patwf、Nothing、cloudiiink


写下您的问题,下周五同一时间哦~

↓识别下方二维码快速提问↓



上期也精彩

黑洞吸了那么多东西都到哪里去了?| No.123

编辑:望江楼


近期热门文章Top10

↓ 点击标题即可查看 ↓

1. 中国从哪里来?

2. 一个四维的人在三维世界里到底长什么模样?

3. 6小时烧了近2000万件珍宝,巴西大火中我们都失去了什么?

4. 快速入门量子力学,看这篇就够啦!

5. 当摄像头像炮弹一样被发射出去,你会看到什么画面?

6. 只用一个中学数学公式,他中了14次彩票头奖,多国彩票规则因他改变

7. 这是 99.9% 的人没听说过的神奇悖论(下)

8. 为什么总用五角星表示星星?人家明明是球体啊!

9. 这是不用公式就能看懂的数学和物理,看过了的都说好(上)

10. 导师硬给我的论文塞了个二作,理由竟然是......

点此查看以往全部热门文章


登录查看更多
0

相关内容

本话题关于日常用语「概率」,用于讨论生活中的运气、机会,及赌博、彩票、游戏中的「技巧」。关于抽象数学概念「概率」的讨论,请转 概率(数学)话题。
德勤:2020技术趋势报告,120页pdf
专知会员服务
192+阅读 · 2020年3月31日
图神经网络表达能力的研究综述,41页pdf
专知会员服务
173+阅读 · 2020年3月10日
Python数据分析:过去、现在和未来,52页ppt
专知会员服务
103+阅读 · 2020年3月9日
网络宽度对深度学习模型性能有什么影响?
极市平台
15+阅读 · 2019年7月7日
5G进电厂走到了哪一步?
1号机器人网
15+阅读 · 2019年2月13日
IMU 标定 | 工业界和学术界有什么不同?
计算机视觉life
14+阅读 · 2019年1月8日
胶囊网络,是什么?
人工智能头条
32+阅读 · 2019年1月2日
可视化理解四元数,愿你不再掉头发
计算机视觉life
31+阅读 · 2019年1月2日
机器听觉:一、AI在音频处理上的潜力
论智
5+阅读 · 2018年11月25日
用模型不确定性理解模型
论智
11+阅读 · 2018年9月5日
机器学习各种熵:从入门到全面掌握
AI研习社
10+阅读 · 2018年3月22日
为什么大家都不戳破深度学习的本质?
36大数据
4+阅读 · 2017年12月7日
Directions for Explainable Knowledge-Enabled Systems
Arxiv
26+阅读 · 2020年3月17日
Knowledge Distillation from Internal Representations
Arxiv
4+阅读 · 2019年10月8日
Physical Primitive Decomposition
Arxiv
4+阅读 · 2018年9月13日
Arxiv
10+阅读 · 2018年2月9日
VIP会员
相关资讯
网络宽度对深度学习模型性能有什么影响?
极市平台
15+阅读 · 2019年7月7日
5G进电厂走到了哪一步?
1号机器人网
15+阅读 · 2019年2月13日
IMU 标定 | 工业界和学术界有什么不同?
计算机视觉life
14+阅读 · 2019年1月8日
胶囊网络,是什么?
人工智能头条
32+阅读 · 2019年1月2日
可视化理解四元数,愿你不再掉头发
计算机视觉life
31+阅读 · 2019年1月2日
机器听觉:一、AI在音频处理上的潜力
论智
5+阅读 · 2018年11月25日
用模型不确定性理解模型
论智
11+阅读 · 2018年9月5日
机器学习各种熵:从入门到全面掌握
AI研习社
10+阅读 · 2018年3月22日
为什么大家都不戳破深度学习的本质?
36大数据
4+阅读 · 2017年12月7日
Top
微信扫码咨询专知VIP会员