【AAAI 2020论文】一种面向推荐的自适应margin对称度量学习方法

2019 年 12 月 29 日 专知

导读

近期,度量学习(Metric Learning)方法在推荐系统(Recommender Systems)领域受到了极大关注。 现存的主要方法使用距离度量函数 (Distance Metric Function),如: 基于三元组 (<user, positive-item, negative-item>)的距离度量,要求以user 为中心,以正样本对(<user, positive-item>)距离为半径作圆,将negative-item进一步推离user,使得负样本对(<user, negative-item>距离与正样本对距离的差值大于等于一个固定的margin 然而,这种以 user为中心的模式,只考虑user-item间的关系,忽略了item间的关系。 这有可能导致 positive-itemnegative-item之间的距离过近,造成区分困难。 此外,由于 useritem偏置(bias)的影响,固定的margin无法有效应用于真实的复杂场景。 为突破以上限制,更加全面地建模 item间的关系和user/item偏置,中国科学院信息工程研究所知识计算组提出一种自适应margin的对称度量学习方法SML,该方法在以user为中心的模式基础上,融合一个以item为中心的模式,充分考虑userpositive-item negative-item 三者间的几何对称关系。 同时,自适应地调整 margin,以有效缓解个性化偏置。 在公开数据集上, SML方法取得了state-of-the-art效果。 该文章已被人工智能领域顶级会议 AAAI 2020接收为大会oral,题目为: Symmetric Metric Learning with Adaptive Margin for Recommendation

介绍


推荐系统的任务目标是帮助用户(user)锁定感兴趣的内容(item),从而为用户的信息获取和网上购物等提供便利。 在基于隐式反馈的内容推荐算法中,度量学习 (Metric Learning)已成为主流的研究方法,其中最有代表性的工作是CML[1] CML使用基于三元组(<user, positive-item,negative-item>)的距离度量,以user中心,以正样本对(<user,positive-item>)距离作圆,并进一步推离负样本negative-item, 使得负样本对(<user, negative-item>)与正样本对之间的距离差值始终大于等于一个固定的margin 然而,此类方法仅以 user为中心,只考虑user-item间的关系,而忽略了positive-itemnegative-item间的关系。 如果 positive-itemnegative-item间距离过近,就会造成样本难以区分,严重影响推荐的效果。 此外,由于 useritem偏置(bias)的影响,原有固定的margin无法有效应用于真实的复杂场景。
为突破以上限制,更加全面地建模item间的关系和user/item偏置,论文提出一种自适应margin的对称度量学习方法SML,该方法在以user为中心的模式基础上,融合一个以item为中心的模式,充分考虑userpositive-item negative-item 三者间的几何对称关系。 同时,自适应地调整 margin,以有效缓解个性化偏置。 Amazon Instant VideoYelpIMDB3个公开数据集上,SML方法取得了state-of-the-art效果。 更重要的是, SML对其它领域(如: 计算机视觉,知识图谱等)所涉及的度量学习方法,具有一定启发。


问题定义

本文中所涉及的符号如下所示:
推荐的任务:根据用户对物品的已知历史交互信息,来推断 /预测其未交互的物品是否为其所感兴趣的。 可用公式,进一步形式化,如下所示。


方法


1. CML的局限性分析
CML是推荐领域一种经典的度量学习方法。 采用基于三元组 (<user,positive-item, negative-item>)的距离度量,损失函数和距离计算如下所示:
在度量学习的优化过程中,userpositive-itemnegative-item三者,会同时沿着以下公式中的负偏导方向,进行“位置”更新。
从几何角度分析,这是一种以user为中心的度量。 随着“位置”逐渐更新,在度量空间上,会存在 positive-itemnegative-item之间距离过近的情况。 如上图所示, positive-itemnegative-item之间的距离甚至会小于userpositive-item之间的距离,严重违背距离度量的基本准则。 此时,不相似样本对 (pair)的距离竟然小于相似样本对(pair)的距离。

一种启发式的方法,可单纯地增大margin,使positive-item negative-item之间的距离变大。 然而,在推荐任务中,同样一个 item,对于不同用户而言,却可能存在着不同的正负标签,这与其它领域中的度量学习有一定的区别。 单纯地增大 margin,将导致两方面问题: 1)user为中心的内环半径会变得很小(即: 解空间小,造成 positive-itemuser不可区分); 2)对于另一个user而言,前一个三元组中的positive-itemnegative-item,可能都是正样本。 此时,当前 user的内环半径要足够大,才能充分实现数据拟合。 因此,单纯地增大 margin并不可行。

2. 对称度量学习(SML)结构
为突破CML方法的局限性,本文提出一种几何对称结构,如下图所示。
在以user(标记为u)为中心的模式基础上,同时将item之间的关系考虑进去。 以正样本 positive-item (标记为v+)为中心,仍然以正样本对(v+,u)距离为半径作圆,并进一步将负样本negative-item(v-)推离开中心v+,并使负样本对距离与正样本对距离的差值大于等于margin 在学习优化过程中,同时满足以下两方面的约束条件:
3. 自适应margin的设计
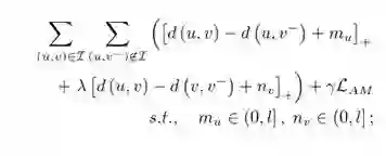
由于useritem偏置(bias)的影响,原有固定的margin无法有效应用于真实的复杂场景。 一般地,对于兴趣较为广泛的用户,其以 user为中心的内环半径应较大(即: 解空间大),所对应的 margin应较小(即: 正负样本边界不明显);而对于 few-shot的用户,其以user为中心的内环半径应较小(即: 解空间小),所对应的 margin应较大(即: 正负样本边界分明)。因此,尝试去动态调整 useritemmargin是必要的。 下面的损失函数中, 分别代表user-centricitem-centric中的margin,将这种自适应的margin信息,融入到度量学习过程的优化中。
4. 最终的模型损失函数如下所示:
通过联合以user为中心、以item为中心的模式,并提供自适应margin机制,共同参与度量学习模型的优化过程,最终得到useritem的表示。

实验


1. 对比方法
本实验中的对比方法如下图所示,有BPR[2]MLP[3]NCF[3]FML[4]TransCF[5]LRML[6]CML[1] 其中,分别展示了距离计算和损失函数。      


2. 实验效果
Amazon Instant VideoYelpIMDB3个公开数据集上,进行实验。
通过观察实验结果,发现SML取得了较高的性能。 将所学到的 margin进行可视化,发现在Amazon Instant Video数据集上,user margin的分布很离散(0.7-1.0),而item margin的分布却很集中。 IMDB数据集上,user margin的分布也很离散(0.1-0.5)。 进一步说明自适应 margin的步骤是必要的,且用户的偏置比物品偏置更严重。

总结


1)本文从几何对称的角度,提出了一种综合考虑以user为中心和以item为中心的对称距离度量方式;
2)针对useritem偏置(bias)的影响,设计了一种自适应margin的求解策略,有效缓解了个性化偏置问题;
3)在一些公开数据集上,SML方法取得了state-of-the-art效果;
4)对其它领域(如: 计算机视觉,知识图谱等)所涉及的度量学习方法,具有一定启发。

参考文献

[1]Hsieh C K, Yang L, Cui Y, et al.Collaborative metric learning[C]//Proceedings of the 26th International Conferenceon World Wide Web. International World Wide Web Conferences Steering Committee,2017: 193-201.
[2]Rendle S, Freudenthaler C, Gantner Z,et al. BPR: Bayesian personalized ranking from implicitfeedback[C]//Proceedings of the 25-th Conference on Uncertainty in Artificial Intelligence.AUAI Press, 2009: 452-461.
[3]He X, Liao L, Zhang H, et al. Neuralcollaborative filtering[C]//Proceedings of the 26th International Conference onWorld Wide Web. International World Wide Web Conferences Steering Committee,2017: 173-182.
[4]Zhang S, Yao L, Huang C, et al.Position and Distance: Recommendation beyond Matrix Factorization[J]. CoRR,2018.
[5]Park C, Kim D, Xie X, et al.Collaborative Translational Metric Learning[C]//Proceedings of theInternational Conference on Data Mining (ICDM). 2018: 367-376.
[6] Tay Y, Anh Tuan L, Hui S C. Latentrelational metric learning via memory-based attention for collaborativeranking[C]// Proceedings of the 27th International Conference on World Wide Web.International World Wide Web Conferences Steering Committee. 2018: 729-739.

论文链接: kcsg.net/papers/2_li_AAAI2020.pdf
代码链接: github.com/MingmingLie/SML


专 · 知


专知,专业可信的人工智能知识分发,让认知协作更快更好!欢迎注册登录专知www.zhuanzhi.ai,获取5000+AI主题干货知识资料!
欢迎微信扫一扫加入专知人工智能知识星球群,获取最新AI专业干货知识教程视频资料和与专家交流咨询
点击“阅读原文”,了解使用专知,查看5000+AI主题知识资料
登录查看更多
16

相关内容

度量学习的目的为了衡量样本之间的相近程度,而这也正是模式识别的核心问题之一。大量的机器学习方法,比如K近邻、支持向量机、径向基函数网络等分类方法以及K-means聚类方法,还有一些基于图的方法,其性能好坏都主要有样本之间的相似度量方法的选择决定。 度量学习通常的目标是使同类样本之间的距离尽可能缩小,不同类样本之间的距离尽可能放大。
专知会员服务
43+阅读 · 2020年7月7日
近期必读的6篇AI顶会WWW2020【推荐系统】相关论文
专知会员服务
57+阅读 · 2020年2月25日
【WWW2020-华为诺亚方舟论文】元学习推荐系统MetaSelector
专知会员服务
56+阅读 · 2020年2月10日
专知会员服务
88+阅读 · 2020年1月20日
度量学习中的pair-based loss
极市平台
65+阅读 · 2019年7月17日
论文浅尝 | 基于深度序列模型的知识图谱补全
开放知识图谱
29+阅读 · 2019年5月19日
实验室3篇论文被IJCAI 2019录用
inpluslab
12+阅读 · 2019年5月11日
实验室论文被DASFAA-19录用
inpluslab
9+阅读 · 2019年1月17日
论文浅尝 | 用图网络做小样本学习
开放知识图谱
66+阅读 · 2018年6月30日
赛尔推荐 | 第20期
哈工大SCIR
4+阅读 · 2018年5月30日
【C4P推荐】人工智能领域顶级会议AAAI
Call4Papers
3+阅读 · 2017年9月6日
Next Item Recommendation with Self-Attention
Arxiv
5+阅读 · 2018年8月25日
Arxiv
11+阅读 · 2018年7月8日
Arxiv
6+阅读 · 2018年3月29日
VIP会员
相关资讯
度量学习中的pair-based loss
极市平台
65+阅读 · 2019年7月17日
论文浅尝 | 基于深度序列模型的知识图谱补全
开放知识图谱
29+阅读 · 2019年5月19日
实验室3篇论文被IJCAI 2019录用
inpluslab
12+阅读 · 2019年5月11日
实验室论文被DASFAA-19录用
inpluslab
9+阅读 · 2019年1月17日
论文浅尝 | 用图网络做小样本学习
开放知识图谱
66+阅读 · 2018年6月30日
赛尔推荐 | 第20期
哈工大SCIR
4+阅读 · 2018年5月30日
【C4P推荐】人工智能领域顶级会议AAAI
Call4Papers
3+阅读 · 2017年9月6日
Top
微信扫码咨询专知VIP会员