数据分析项目实战:大型商场销售预测(带你挤进比赛前100名)

2018 年 3 月 27 日 R语言中文社区 Joffy Zhong


作者简介Introduction

Joffy Zhong:咨询顾问 | 写作爱好者 | 数据分析 | 互联网创业者 R语言中文社区专栏作者

知乎ID:https://www.zhihu.com/people/joffy/posts

背景:

此项目为Analiytics Vidhya的竞赛题目,大型商场销售额预测,该项目提供了从不同城市的10家商店中收集的1559种产品的2013年销售数据。目的是通过2013年的销售数据,建立一个销售额预测模型,预测每个产品在特定商店的销售情况。

写此篇文章的目的是记录我分析和思考的整个过程,并与各位分析师朋友一起交流,帮助自己未来持续改善和提升模型效果。

截止到写此文章为止,我的模型预测效果得分目前是前100名。

竞赛截止到2019年1月1号,如果您在零售行业工作,且在寻找一个优秀的模型或者对此类问题感兴趣,这个项目值得大家参与和探索,相信会有收获。

分析工具为R语言,并且最后通过xgboost提升整个模型效果。

你可以通过这个链接访问到竞赛主页 Big Mart Sales III(https://datahack.analyticsvidhya.com/contest/practice-problem-big-mart-sales-iii/)


提出假设:

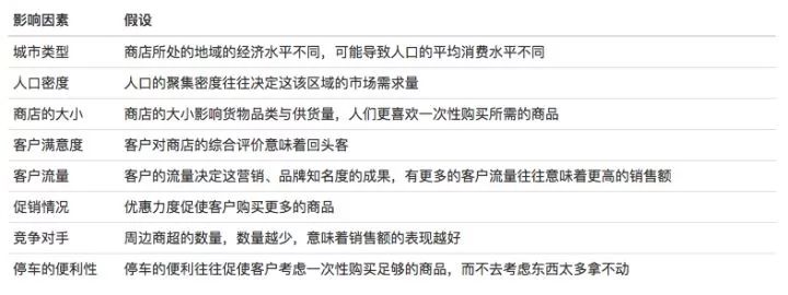
目标是预测商店的每个产品的销量,对销售额可能的影响因素如下:

与商店有关的假设:

与商品有关的假设:


数据集

变量描述:

探索数据:

#加载包

 library(ggplot2)

 library(grid)

 library(gridExtra)

 library(caret)

 library(randomForest)

 library(xgboost)

 library(Hmisc)

 library(dplyr)

 library(rpart)

 library(rpart.plot)


#加载数据

 train.data <- read.csv("train.csv",stringsAsFactors = F)

 test.data <- read.csv("test.csv",stringsAsFactors = F) test.data$Item_Outlet_Sales <- NA 

#合并数据集,特征工程需要,避免重复执行相同代码

 all_bms <- rbind(train.data,test.data) 

#描述统计量

 describe(all_bms)

数据描述信息:

  • Item_Weight 产品重量存在缺失值,需要处理

  • Outlet_Size 商店大小存在缺失值,需要处理

  • Item_Outlet_Sales 商品销售额的缺失值符合测试集的数目,不用处理

  • Item_Fat_Content 商品低脂变量,有LF,low fat,Low Fat,reg,Regular五个类别,从类别描述看可以分为Low Fat和Regular两个变量,表示低脂和常规

  • Item_Visibility 商品的展示百分比数据中存在最低值为0,由于训练集的每个商品数据都有对应的销售额,因此这是异常的值,需要处理

  • Item_Type 产品类别归类较多,需要进一步看看能够生成新的归类变量

  • Item_MRP 给出了商品的标价,能够计算出对应商品的销量(相对于销售额,销量更易于理解和探索)

  • Outlet_Establishment_Year 商店的开店年份19xx年,这样的数据不直观,可以调整为年数


清洗数据

1、处理缺失值:商品重量

由于每个商品的重量应该是相同的,所以用商品的重量均值补插缺失的值

#计算商品重量均值,默认移除缺失值

 tmp <- aggregate(Item_Weight~Item_Identifier,data = all_bms,FUN = mean)

 #将均值赋值给对应缺失的重量值

 for (i in which(is.na(all_bms$Item_Weight))) {

  all_bms$Item_Weight[i] <- tmp$Item_Weight[tmp$Item_Identifier == all_bms$Item_Identifier[i]]

 } 

#检查缺失值,处理后没有缺失值 

sum(is.na(all_bms$Item_Weight))

2、处理缺失值:商店大小

由于商店大小的值跟我们的前面的假设比较相关,商店的面积可能还与商店的类型等有关联,

#检查商店大小与商店类型的关系

 prop.table(table(all_bms$Outlet_Size))

 tmp2 <- aggregate(Item_Outlet_Sales~Outlet_Identifier+Outlet_Type+Outlet_Size,data = all_bms,FUN = mean)

 tmp2

  • 结果看出每个商店的类型,大小与平均销售额的关系,似乎商店的大小确实和设想的一样,与商店的类型有比较强的对应关系

  • 可以构建一个决策树来预测和补插商店大小的缺失值

  • 个人理解商店大小是比较关键的变量,但因为数据集中的商店数量较少,因此在商店层面的区分效果没有商店类型变量那么好

#构建一个决策树来补插缺失值

 #非缺失部分作为训练集,缺失部分作为测试集

 fit <- rpart(factor(Outlet_Size)~Outlet_Type,data = all_bms[all_bms$Outlet_Size!="",],method = "class")

 pred <- predict(fit,all_bms[all_bms$Outlet_Size=="",],type = "class") all_bms$Outlet_Size[all_bms$Outlet_Size==""] <- as.vector(pred)

 #可以看到每个商店对应的大小都被补充完整了 table(all_bms$Outlet_Size,all_bms$Outlet_Identifier)

特征工程与EDA

1、创建一个表示销售量的变量

#计算每个商品的销售量,并将所有小数点大于0的数都向上取整 

all_bms$Item_Sales_Vol <- round(all_bms$Item_Outlet_Sales/all_bms$Item_MRP+0.5,0)

  • 为了贴近实际销量,因此将小数点后大于0的数都向上取整

  • 销售量将作为模型的预测变量

2、调整Item_Fat_Content错误的因子水平

#低脂商品因为标注差异导致了5个水平的引子

 summary(all_bms$Item_Fat_Content) 

#将商品正确归类

 all_bms$Item_Fat_Content <- as.character(all_bms$Item_Fat_Content)

 all_bms$Item_Fat_Content[all_bms$Item_Fat_Content %in%

                           c("LF","low fat")] <- "Low Fat"

 all_bms$Item_Fat_Content[all_bms$Item_Fat_Content %in%

                           c("reg")] <- "Regular" table

(all_bms$Item_Fat_Content)

  • 将商品的低脂调整为:Low Fat,Regular两个水平

3、对Item_Type进一步归类,创建新的商品分类变量

#商品的类别可以进一步归类

 summary(all_bms$Item_Type)

 #通过查看商品ID,可以看到ID开头似乎是商品的大类,DR饮品,DF食物,NC费消耗品,DR和DF为日常消耗品

 #ID后的A-Z是商品编码,似乎看不到品牌信息

 all_bms$Item_Attribute <-  factor(substr(all_bms$Item_Identifier,1,2))

 table(all_bms$Item_Attribute)

 #由于食物才有低脂的情况,因此对于非消耗品则需要不同区分

 all_bms$Item_Fat_Content[all_bms$Item_Attribute == "NC"] <- "Non-Food"

 table(all_bms$Item_Fat_Content)

  • 新建变量Item_Attribute:DR饮品,DF食物,NC费消耗品三个类别

  • 由于存在非消耗品,对Item_Fat_Content新增一个因子,Non-Food 非食

4、将Item_Visibility中为0的商品调整为每个商店中的平均值

#采用每店的平均商品展示百分比来补插为0的异常值

 tmp3 <- aggregate(Item_Visibility~Outlet_Identifier,data = all_bms,FUN = mean)

 #将商品展示百分比均值数据赋值给为0的值

 for (i in which(all_bms$Item_Visibility==0)) {

  all_bms$Item_Visibility[i] <- tmp3$Item_Visibility[tmp3$Outlet_Identifier == all_bms$Outlet_Identifier[i]]

 } 

sum(all_bms$Item_Visibility==0)

5、将Outlet_Establishment_Year转化为年数,创建新变量

#2013年收集的数据

 all_bms$Outlet_Years <- 2013-all_bms$Outlet_Establishment_Year

  • 新变量Outlet_Years保存每个商店的成立年数,为离散型变量,打算采用因子类型

6、将所有分类变量转化为因子,消除不存在的因子

cols <- c("Item_Fat_Content","Item_Type","Outlet_Location_Type","Outlet_Type","Outlet_Years","Item_Attribute","Outlet_Identifier") for (i in cols) {

  all_bms[,i] <- factor(all_bms[,i])

 )

可视化探索各个变量

经过特征工程,初步完成了对我所关心变量的调整,在这一步探索各个变量他们对销售量的表现

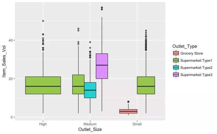
1、商店层面的4个因素:Outlet_Type,Outlet_Location_Type,Outlet_Years,Outlet_Size

商店类型因素中,类型3的平均销量最高,Grocery Store销量最低
商店类型1有较完整的数据,但在地理位置的表现上,销量并无太大的区别
商店类型1有较完整的数据,从成立的年数来看,似乎近10年内建立的商店的销售量表现高一点
商店类型1有较完整的数据,从商店大小的区分来看,并无差异

可视化的结果表明:

  • 商店类型因素能够较明显区分每个商店的销量水平

  • 商店的地理位置似乎很难看出区别,但其主要原因在于商店数量较少,难以在这个维度区分开来,不能否定该因素的价值

  • 商店的年份看,在同个类型的商店,似乎越新的商店有着更好的表现,似乎消费者会更喜欢新开张的商店,而不是因为年代久知名度高的原因,与我们前面的假设有点出入。

  • 从开店的趋势看,似乎管理公司更倾向于商品销量表现平稳的类型1商店

  • 从商店的大小看似乎也很难看出商品销量的区别,其原因也在于商店数量较少,该变量还是一个比较关键的,因为商店大小跟开店成本相关,在其他预测问题上表现应该很不错,但在此处,可能表现会一般

2、商品层面的因素:Item_Visibility,Item_Weight,Item_MRP,Item_Attribute,Item_Fat_Content,Item_Type(控制商店类型)

商品展示的结果与假设接近,展示越大,平均销量越高
商品重量对销量的表现似乎不存在太大的关系
商品的售价与销量存在一定的关系
商品的属性来看,似乎没有太大的区别
商品是否低脂与销量的关系似乎不大
商品的品类中,早餐,海鲜,水果这些品类似乎有较大的差异

可视化结果表明:

  • 商品展示百分比,商品价格,商品品类对销量有一定的影响

  • 但在商品层面因素,销量的表现差异不如商店层面因素那么明显

  • 其他的因素似乎看不到明显的关系

因此,数据建模中,打算采用如下7个变量作为预测变量,进行销量的预测:Outlet_Type,Outlet_Location_Type,Outlet_Years,Outlet_Size,Item_Visibility,Item_MRP,Item_Type

分割数据集

train <- all_bms[!is.na(all_bms$Item_Outlet_Sales),]

 test <- all_bms[is.na(all_bms$Item_Outlet_Sales),]

 #设置种子,创建训练数据的训练子集和测试子集

 set.seed(1234)

 ind <- createDataPartition(train$Item_Sales_Vol,p=.7,list = FALSE)

 train_val <- train[ind,]

 test_val <- train[-ind,]


初步建模过程

1、建模准备

#需要建模的变量

 myformula <- Item_Sales_Vol ~ Outlet_Type + Item_Visibility + Outlet_Location_Type + Item_MRP + Item_Type + Outlet_Years + Outlet_Size #创建模型评估RMSE函数 

model.rmse <- function(pred,act){ sqrt(sum((act - pred)^2)/

       length(act)) }

2、决策树(回归)

下面省略了利用增加其他变量进行预测的过程,

#决策树建模

 fit.tr <- rpart(myformula,

              data = train_val,

              method = "anova")

 summary(fit.tr)

 rpart.plot(fit.tr)

 pred <- predict(fit.tr,test_val) model.rmse(pred*test_val$Item_MRP,test_val$Item_Outlet_Sales)

 #创建用于上传评分的测试结果

 dtree.csv pred.test <- predict(fit.tr,test)

 submit <- data.frame(Item_Identifier = test.data$Item_Identifier, Outlet_Identifier = test.data$Outlet_Identifier,Item_Outlet_Sales=pred.test*test$Item_MRP) write.csv(submit, file = "dtree.csv", row.names = FALSE)

模型得分:1158.65757134

3、随机森林

set.seed(2345) fit.rf <- randomForest(myformula,

              data = train_val,

              ntree=500)

 summary(fit.rf)

 pred <- predict(fit.rf,test_val)

 model.rmse(pred*test_val$Item_MRP,test_val$Item_Outlet_Sales)

 #创建用于上传评分的测试结果

 rf.csv pred.test <- predict(fit.rf,test)

 submit <- data.frame(Item_Identifier = test.data$Item_Identifier, Outlet_Identifier = test.data$Outlet_Identifier,Item_Outlet_Sales=pred.test*test$Item_MRP) write.csv(submit, file = "rf.csv", row.names = FALSE)

模型得分:1153.04001353

随机森林建模效果有一个明显的提升

4、GBM建模

#控制器,5折交叉验证

 Ctrl <- trainControl(method="repeatedcv",number=5,

                             repeats=5)

 set.seed(3456)

 fit.gbm <- train(myformula,

              data = train_val,

              trControl=Ctrl,

              method="gbm",

              verbose=FALSE

              ) 

summary(fit.gbm) pred <- predict(fit.gbm,test_val)

 model.rmse(pred*test_val$Item_MRP,test_val$Item_Outlet_Sales)

 pred.test <- predict(fit.gbm,test)

 submit <- data.frame(Item_Identifier = test$Item_Identifier, Outlet_Identifier = test$Outlet_Identifier,Item_Outlet_Sales=pred.test*test$Item_MRP) write.csv(submit, file = "gbm5cv.csv", row.names = FALSE)

模型得评分1152.66471101

gbm效果比随机森林好,当然可以尝试其他参数调整模型,下面的表格可以看到模型中各个变量的重要程度

当然,这样的分数无法让我们进入前100名,而且随机森林和gbm的建模时间有点久,不利用调优。

xgboost建模并进行调优

1、构建稀疏矩阵

由于xgboost模型要求所有的变量都为数值型,因此存在分类变量则需要将分类变量转化为0,1格式的稀疏矩阵

#构建稀疏矩阵

 mymatrix <- function(train){

  matrix_num <- train[,c("Item_Visibility","Item_MRP")]

  matrix_num <- cbind(matrix_num,

                      model.matrix(~Outlet_Type-1,train),

                      model.matrix(~Outlet_Location_Type-1,train),

                      model.matrix(~Outlet_Size-1,train),

                      model.matrix(~Item_Type-1,train),

                      model.matrix(~Outlet_Years-1,train)  

                     )

  return(data.matrix(matrix_num))

 }

#获取每个数据集的稀疏矩阵

 xgb.train_val <- mymatrix(train_val)

 xgb.test_val <- mymatrix(test_val) xgb.test <- mymatrix(test)

 #生成用于xgboots模型的DMatrix

 #注意,预测变量集和响应变量是要分开的

 dtrain_val <- xgb.DMatrix(data =xgb.train_val,label=train_val$Item_Sales_Vol)

 dtest_val <- xgb.DMatrix(data = xgb.test_val,label=test_val$Item_Sales_Vol)

 dtest_sub <- xgb.DMatrix(data = xgb.test)

2、初步xgboost建模

#初步xgboost建模

 model <- xgboost(data = dtrain_val,nround = 5)

 summary(model) 

pred <- predict(model,dtest_val) model.rmse(pred*test_val$Item_MRP,test_val$Item_Outlet_Sales) xgb.importance(colnames(xgb.train_val),model)

 pred.test <- predict(model,dtest_sub)

 submit <- data.frame(Item_Identifier = test$Item_Identifier, Outlet_Identifier = test$Outlet_Identifier,Item_Outlet_Sales=pred.test*test$Item_MRP) write.csv(submit, file = "xgb.csv", row.names = FALSE)

评分只有1206.37915379,这比GBM效果要差,因为我们初始设置了循环5次,xgb通过不断的循环来提升模型效果。

3、调优模型

上述结果明显是模型拟合得不够好,因此增加循环次数为10,但为了防止过度拟合,将默认的树模型最大深度6调整为5

model_tuned <- xgboost(data = dtrain_val,

                       nround = 10,

                       max.depth = 5

                       )

 summary(model_tuned)

 pred <- predict(model_tuned,dtest_val) model.rmse(pred*test_val$Item_MRP,test_val$Item_Outlet_Sales)

 xgb.importance(colnames(xgb.train_val),model_tuned)

 pred.test <- predict(model_tuned,dtest_sub)

 submit <- data.frame(Item_Identifier = test$Item_Identifier, Outlet_Identifier = 

test$Outlet_Identifier,Item_Outlet_Sales=pred.test*test$Item_MRP) write.csv(submit, file = "xgbn10d5.csv", row.names = FALSE)

评分:1145.50824952669 模型效果大幅度提升,挤进前100名没问题了

4、微调模型

我尝试到最好,基于目前特征工程后创建的模型,在模型调整循环11次,最大深度为4,可以达到1142.66240303726,处于目前TOP50的状态。

5、查看模型中各个变量的权重

xgb.importance(colnames(xgb.train_val),model_tuned)

结论

  • 整个模型也比较容易理解,商店的类型占据绝大部分影响因素,其次就是商店内的商品标价和展示,商品的品类也有一定的影响

  • 与建模开始前预测的差不多,商店的地域和商店的大小在此模型中没有突出的贡献,但不能否定这两个变量在同类问题中的重要性,只是因为其对应的商店数据太少

  • 我也尝试过直接用销售额进行预测,但效果没有销量的好,这也说明了,为模型提供一个更为简单且易于理解的响应变量对模型的预测效果有一个明显的提升

就建模工具而已,xgboost的建模速度和效果值得一试,不用将大把的时间花在模型的建模上,而专注于优化和多次尝试。


以上就是整个分析和建模的过程,如果你有更好的发现,欢迎跟我交流。

感谢您的阅读。


    


 往期精彩内容整理合集 

2017年R语言发展报告(国内)

R语言中文社区历史文章整理(作者篇)

R语言中文社区历史文章整理(类型篇)


公众号后台回复关键字即可学习

回复 R                  R语言快速入门及数据挖掘 
回复 Kaggle案例  Kaggle十大案例精讲(连载中)
回复 文本挖掘      手把手教你做文本挖掘
回复 可视化          R语言可视化在商务场景中的应用 
回复 大数据         大数据系列免费视频教程 
回复 量化投资      张丹教你如何用R语言量化投资 
回复 用户画像      京东大数据,揭秘用户画像
回复 数据挖掘     常用数据挖掘算法原理解释与应用
回复 机器学习     人工智能系列之机器学习与实践
回复 爬虫            R语言爬虫实战案例分享

登录查看更多
5

相关内容

【2020新书】实战R语言4,323页pdf
专知会员服务
102+阅读 · 2020年7月1日
【2020新书】从Excel中学习数据挖掘,223页pdf
专知会员服务
93+阅读 · 2020年6月28日
干净的数据:数据清洗入门与实践,204页pdf
专知会员服务
164+阅读 · 2020年5月14日
【资源】100+本免费数据科学书
专知会员服务
108+阅读 · 2020年3月17日
【经典书】Python数据数据分析第二版,541页pdf
专知会员服务
197+阅读 · 2020年3月12日
【2020新书】数据科学:十大Python项目,247页pdf
专知会员服务
216+阅读 · 2020年2月21日
【电子书】Flutter实战305页PDF免费下载
专知会员服务
23+阅读 · 2019年11月7日
LASSO回归与XGBoost:融合模型预测房价
论智
32+阅读 · 2018年8月8日
基于 Keras 用深度学习预测时间序列
R语言中文社区
23+阅读 · 2018年7月27日
机器学习预测世界杯:巴西夺冠
新智元
5+阅读 · 2018年6月11日
手把手教你用Python库Keras做预测(附代码)
数据派THU
14+阅读 · 2018年5月30日
天池大赛—商场中精确定位用户所在店铺 作品分享
数据挖掘入门与实战
3+阅读 · 2018年3月16日
Xgboost算法——Kaggle案例
R语言中文社区
13+阅读 · 2018年3月13日
【推荐】Kaggle机器学习数据集推荐
机器学习研究会
8+阅读 · 2017年11月19日
Arxiv
12+阅读 · 2018年9月5日
Arxiv
9+阅读 · 2018年3月23日
Arxiv
4+阅读 · 2018年3月19日
VIP会员
相关VIP内容
【2020新书】实战R语言4,323页pdf
专知会员服务
102+阅读 · 2020年7月1日
【2020新书】从Excel中学习数据挖掘,223页pdf
专知会员服务
93+阅读 · 2020年6月28日
干净的数据:数据清洗入门与实践,204页pdf
专知会员服务
164+阅读 · 2020年5月14日
【资源】100+本免费数据科学书
专知会员服务
108+阅读 · 2020年3月17日
【经典书】Python数据数据分析第二版,541页pdf
专知会员服务
197+阅读 · 2020年3月12日
【2020新书】数据科学:十大Python项目,247页pdf
专知会员服务
216+阅读 · 2020年2月21日
【电子书】Flutter实战305页PDF免费下载
专知会员服务
23+阅读 · 2019年11月7日
相关资讯
LASSO回归与XGBoost:融合模型预测房价
论智
32+阅读 · 2018年8月8日
基于 Keras 用深度学习预测时间序列
R语言中文社区
23+阅读 · 2018年7月27日
机器学习预测世界杯:巴西夺冠
新智元
5+阅读 · 2018年6月11日
手把手教你用Python库Keras做预测(附代码)
数据派THU
14+阅读 · 2018年5月30日
天池大赛—商场中精确定位用户所在店铺 作品分享
数据挖掘入门与实战
3+阅读 · 2018年3月16日
Xgboost算法——Kaggle案例
R语言中文社区
13+阅读 · 2018年3月13日
【推荐】Kaggle机器学习数据集推荐
机器学习研究会
8+阅读 · 2017年11月19日
Top
微信扫码咨询专知VIP会员