融合性学习:西方学生的梦魇,抑或中国学生的圣境——从普洛瑟的“脱节型学生”说起

2018 年 4 月 11 日 MOOC 吕林海

| 全文共10582字,建议阅读时10分钟 |


本文由《现代远程教育研究》授权发布

作者:吕林海

摘要

 

西方大学学习研究已经延续了半个世纪,众多研究反复验证发现,同时采用以深刻把握和理解为特征的深层学习法和以表面背记和复述为特征的浅层学习法的融合性学习者,往往是学习的失败者,他们也被称为“脱节学习者”或“异类学习者”。“融合性学习导致学习失败”的西方困境在中国学生身上是否适切,有待于置于中国文化情境进行重新审视。针对中国大学生开展的三个实证研究都一致性地证明,在西方会造成学业失败的融合性学习,在中国大学生群体身上却塑造出最佳的学习效果。造成这种中西迥然不同学习境况的原因,不仅在于中国学生对学习观念有着独特的认知,如认为浅层学习附含努力的德行因素,是通达理解的重要途径,与深层学习是紧密融合而不是彼此分离的关系;而且在于中国特有考试模式和传统“和”文化的形塑和影响。由此观之,只有深挖中国教育的独特规律,才能找到提升中国学生学习质量的有效路径,并为世界贡献独特的中国教育智慧。

关键词:融合性学习;深层学习;脱节型学生;文化差异;实证研究


一、引言:从“脱节学习者”透视融合性学习的西方困境


如果从上个世纪60年代马顿(Marton)和萨尔乔(Saljo)对大学生学习方法的开创性研究算起,则西方大学学习研究已经延续了半个世纪。奠基于这两位瑞典学者的工作,澳大利亚的比格斯(Biggs)和英国的恩特威斯特尔(Entwistle)随后分别开发出了极为精当的学习方法测量工具,这极大地推动了大学生学习研究得以在科学化的道路上阔步向前(吕林海等,2012)。总体而言,大学生采用的学习方法分为深层学习方法(Deep Approach)和浅层学习方法(Surface Approach)两种类型,前者指向于对知识的深层把握和理解,后者指向于对知识的表层背记和复述。包括比格斯、恩特威斯特尔、拉姆斯登(Ramsden)等在内的一批重要学者的定量实证研究已在如下三个方面形成共识:(1)深层学习方法会导向更优质的学习结果,而浅层学习方法则往往导致学习的失败;(2)学生对于学习方法的采用,取决于学生对教学情境的感知,如优质教学、适当的教学负荷、清晰的目标、适切的评价等;(3)学生所具有的学习观和认知观,与其采用的学习方法有着紧密的联系,具体而言,持意义理解观的学生更倾向于采用深层学习方法,持知识累积观的学生则更倾向于采用浅层学习方法(Biggs,1999)。中国的杨院、付亦宁等学者也沿着上述三个方面开展了大量研究,并获得与西方学者基本一致的研究结论(杨院,2014;付亦宁,2015)。


然而,在西方的众多研究中,澳大利亚学者普洛瑟(Prosser)于2000年发表在《欧洲教育心理学》上的一项研究成果(Prosser et al.,2000),却与众不同。在这篇论文中,普洛瑟和其同事基于物理概念学习方法(利用学习过程问卷(Study Process Questionnaire,SPQ))对131名学生进行了聚类分析。他们一共解析出4类学生。第一类被称为“理解型学生”(共36人),他们在深层学习方法上得分高,在浅层学习方法上得分低,并且在学期结束时有关电磁知识测试、开放性问题以及概念图等方面的成绩都非常高,这是一批优秀的学生。第二类被称为“复制型学生”(共20人),他们在深层学习方法上得分低,在浅层学习方法上得分高,在学期结束时的测试得分上比较差,这是一批学业成就不足的学生。第三类被称为“游离型学生”(共55人),他们似乎在放弃着学业,不仅在深层学习方法和浅层学习方法上的得分都比较低,而且在学期结束时的测试得分也比较低。第四类被称为“脱节型学生”(共20人),他们采用的是“融合性学习”法,即在深层学习方法和浅层学习方法上的得分都比较高,但却是四类学生中期末学习成绩最糟糕的群体(见表1)。普洛瑟用“脱节”(Disintegrated)这个词来表明这批学生对学习情境的识别、对学习方法的选择和其所达成的学习结果之间,呈现出一种矛盾、不连贯、不一致的困顿和脱节现象。


表1 普洛瑟对“脱节型学生”的发现及其与其他学生的学习比较(Prosser et al.,2000)


其实,普洛瑟的发现并非最早,南非学者梅耶(Meyer)和英国学者恩特威斯特尔早就在他们的研究中捕捉到这个奇异的“学习苗头”。梅耶在他的论文中详细描述了普洛瑟所说的这类采用“融合性学习”方法的“脱节型学生”的特点,如无法对情境加以识别、对自己的学习缺乏必要控制等(Meyer et al.,1990),而恩特威斯特尔则干脆用“异乎寻常、难以解释的模式”之类的遁词来对这批“异类学生”加以草草描画(Entwistle et al.,1991)。


二、假设:中国学生融合性学习的可能别样图景


在西方学者眼中,这些“脱节型学生”是一批“异类学生”,也是一批“失败的学生”,这些学生对于融合性学习方式(即同时采用深层学习和浅层学习)的使用,不是出于一种适应、变通和灵活,而是源于他们的迷茫、困惑和凌乱。普洛瑟认为,这些脱节的学生是一批“缺乏元认知能力的学生”,他们无法审视自己的学习情境,无法反思自身学习的成效,无法选择更有效的学习方法,他们“嗡嗡乱转、不得要领”(Entwistle et al.,1991)。普洛瑟还引用比格斯对“元认知匮乏学习者”(Meyer et al.,1990)的描述来证明,“融合性学习所导致的学习失败,反映了同时使用多种学习方法的人所存在着的重要的学习缺陷。”(Meyer et al.,1990)


“融合性学习”的悲剧命运,在中国学生身上会同样出现吗?笔者的假设是否定的。笔者之所以提出这个假设,源于对两项重要研究的反思。在由沃特金斯(Watkins)和比格斯于1996年主编的一本经典著作《中国学习者:文化、心理和情境的影响》中,大学生学习研究的奠基者、瑞典学者马顿和其合作者发表了一项有关“中国学生的记忆和理解”的质性研究发现。他们通过深入的访谈揭示出,中国学生的浅层学习并不完全是简单的“记忆”,它包含两种类型:一是机械性记忆(Mechanical Memorization),二是理解性记忆(Memorization with Understanding)。绝大多数中国学生不会简单地采用机械性记忆来进行学习,而是会在记忆的同时去设法达到理解,即更多地采用理解性记忆。对于很多中国学生而言,“记忆和理解是彼此联系并相互促进的”(Marton et al.,1996)。中国学生持有的一个最普遍的学习特征是:“在记忆的过程中,记忆并不是简单的重复。每次的记忆过程,也是更加新颖的理解的生成过程,换言之,每次记忆都会使理解变得更好。每次重复和记忆,都会使文本的不同方面得到关注和深入。”(Marton et al.,1996)。由此可以看出,中国学生的背记是和理解相互交融的,融合性学习方法似乎是中国学生更适应、更常用的学习方法。


在前述普洛瑟、恩特威斯特尔以及梅耶等人的研究中,脱节型学生对教学情境的感知亦颇为不佳(如对教师的教学持有负面评价)。换言之,学生对教学情境的不佳感知,导致了这批异类学生在学习方法使用上的困顿、迷乱与不知所措。这其实也证明了西方大学生学习研究的一个重要的普适性结论:“学生的学习方法取决于他们对学习环境的感受,……教学的最大问题不是大学教师怎样设计他们所教的课程,而是他们的学生如何理解教师所设计的课程。”(迈克尔·普洛瑟等,2007)但是,韦伯斯特(Webster)、普洛瑟、沃特金斯于2009年对香港大学生的研究却得出了颇具深意的独特结论。他们发现,对于绝大多数香港大学生而言,如果他们感到教学是优质的,他们会同时采用深层学习方法和浅层学习方法。韦伯斯特等人也试图从中国学习者的“融合性学习”特征的角度来对上述特异结论加以解释,他们认为,“感知到的优质教学与深层学习、浅层学习同时显著关联反映了中国学习者的独特特征,即‘在中国学生身上,记忆信息作为学习的关键一步,对于后续的内容理解有着重要的促进作用’。”(Webster et al.,2009)这个研究再次指向如下假设,即:融合性学习并不是中国学生在困顿和迷惑等状态下的选择,而是一种自然的、甚至是策略性的学习行为表现。


三、验证:中西迥然不同的融合性学习


基于前述分析,本研究试图证明:被西方学生视作梦魇的融合性学习,对于中国学生而言却是一种自然的、更具适应性的学习模式。笔者将通过三个不同的实证调查来反复印证该结论的客观性,增强该结论的效度,并在此基础上深挖孕育其中的学生学习行为之塑造机制。为了增强结论的说服力,这里的三个调查研究所采用的学习方法调查工具,与前述普洛瑟、梅耶、恩特威斯特尔的研究工具保持一致,即都为SPQ问卷。对于三项调查的定量分析,笔者采用统一的数据统计方法程序,即(1)采用基于学习方法的聚类分析,甄别出融合性学习的学生群体;(2)采用方差分析方法,对融合性学习群体的学习特征进行分析;(3)采用轮廓分析(Profile Analysis)方法,对融合性学习群体与其他学习群体的整体学习特征差异进行分析。


1.基于南京大学通识课程的学情调查研究


2016年,笔者所在的南京大学展开了一次针对全校学生的通识课程学情调查。课题组随机抽取出修读20门课程的共1780人参与问卷填答,数据整理后获得的有效样本数为1404人。为了提高数据搜集质量,调查员走入班级,在强调问卷填答重要性的基础上,向填写问卷的学生发放10元左右的小礼品表示感谢。学生需要对所修读的通识课程整体情况(如学习方法情况、学习动机情况、学习进步情况)进行评估填答。本文选取学习方法(根据SPQ问卷编制)、学习进步、教学感知等维度的变量加以深入分析。


(1)学习方法的人群聚类分析


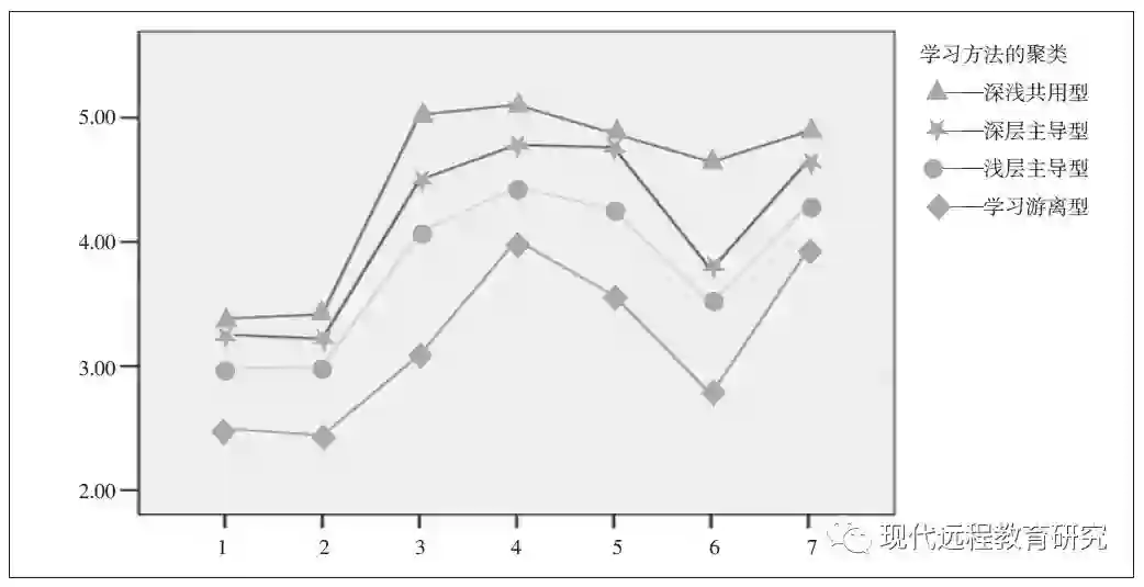
基于深层和浅层两种学习方法,笔者对人群进行K-Means聚类,共得到4类学生群体(见图1)。第一类群体为学习游离型,该群体的人数比例为35.9%,且这个群体的学生在深层学习方法和浅层学习方法上的均值(Z值)均为负值,说明他们在学习上处于一种放任和随意的状态。第二类群体为深层主导型,该群体的人数比例为6.8%,且该群体学生在深层学习方法上得分高,说明他们的学习是以深层学习方法为主导的。第三类群体为深浅共用型,该群体的人数比例为16.3%,且这个群体的学生在深层和浅层学习方法上的得分都很高,说明他们的学习是一种融合性学习。第四类群体为浅层主导型,该群体的人数比例为48%,且这个群体的学生在浅层学习方法上的得分高,说明他们的学习是以浅层学习方法为主导的。


图1 4种学习方法的聚类人群


由群体的人数比例可以看出,有接近一半的学生属于浅层主导型学生,还有不少学生处于游离状态,这反映出研究型大学通识课程的学习质量还有很大的提升空间。这种整体不佳的学习状态既与通识课程本身不受重视有关,也与授课方法、班级规模等密切相关。


(2)不同学习方法使用人群的学习特征比较


本研究案例表明,西方学者眼中的“脱节型学生”“学习异类”“学习失败者”,而在中国学生群体中,深浅共用型学生(即融合性学习群体)却展示出卓越的学习表现。由表2可见,“深浅共用型”学生在四种学习结果(古今联系、中外联系、跨学科联系、批判性思维进步)上,均值得分都显著高于浅层主导型和学习游离型学生,而与“深层主导型”学生没有显著差异。在3个课堂教学感知变量上,“深浅共用型”学生对教学的感受也颇佳,显著高于浅层主导型和学习游离型学生。


表2 通识课程不同学习方法人群的学习差异比较


(3)不同学习方法使用人群的轮廓分析


轮廓分析是一种对不同群体进行多变量关系的整体分析技术(Tabachnik et al.,2007)。它试图对不同群体所具有的多个变量进行整体的差异检验,目的是发现不同群体之间的轮廓差异(Tabachnik et al.,2007)。分组变量是4种不同学习方法的人群,轮廓变量为4个学习结果变量和3个教学情境感知变量。图2展示了轮廓分析的图示结果。根据Hotlelling’s标准,本研究的4个群体轮廓之间不满足扁平化假设(Hotelling’s Trace=0.046,F(18)=3.195,P<0.000);根据Wilks’标准,4个群体轮廓之间也不满足平行性假设(Wilks’ Lambda=0.955,F(18)=3.192,P<0.000)。从分析结果可以证明,深浅共用型学习者群体在7个学习特征变量上显著处于优势位置。


图2 对通识课程采用不同学习方法的人群的轮廓分析


(轮廓变量为:1.学习结果:古今联系;2.学习结果:中外联系;3.学习结果:跨学科联系;4.学习结果:批判性思维进步;5.教学感知:优质备课与授课;6.教学感知:优质任务安排;7.教学感知:课堂内外师生互动)


2.基于南京大学哲学通识课程的学情调查研究


2017年,笔者承担了南京大学哲学通识课程的学情调查研究课题。该调查旨在甄别南京大学本科生在哲学类通识课程上的学习质量,其中包括学习方法使用、教学情境感知、学习进步情况等。调查对象为南京大学选修过哲学类通识课程的大三学生。通过各种激励性措施和重要性宣传,最后共得到824个有效样本。


(1) 学习方法的人群聚类分析


基于深层和浅层两种学习方法,笔者运用K-Means方法对人群进行聚类分析,共得到与前述调研类似的4类群体。第一类群体为深浅共用型,人数占比13.7%;第二类群体为浅层主导型,人数占比48.3%;第三类群体为深层主导型,人数占比24.9%;第四类群体为学习游离型,人数占比13.1%。对于哲学通识类课程而言,采用深浅共用型的融合性学习人群比例仍然不高,与前述调查研究的比例基本持平。


(2)不同学习方法使用人群的学习特征比较


表3的结果再次印证了前述的结论,即采用深浅共用型的融合性学习者,在3个学习结果指标(即信息与思维能力、哲学理解与智慧、文化通感与理解)、1个学习情感投入指标(即学习兴趣与情感)、2个教学情境感知指标(即优质教学水平、适当作业与考核)和3个学习参与指标(即课堂交流及师生互动、良好的学业学习习惯和同伴互动与合作)上的均值得分都明显高于其他各个群体,甚至比深层主导型学习者的学习表现还要优异。


表3 哲学通识课程不同学习方法人群的学习差异比较


(3)不同学习方法使用人群的轮廓分析


图3展示了轮廓分析的图示结果。根据Hotlelling’s标准,本研究的4个群体轮廓之间不满足扁平化假设(Hotelling’s Trace=0.341,F(24)=9.744,P<0.000);根据Wilks’标准,4个群体轮廓之间也不满足平行性假设(Wilks’ Lambda=0.730,F(18)=9.541,P<0.000)。由此可以证明,深浅共用型学习者群体在9个学习特征变量上不但显著处于明显领先位置,而且其均值得分也显著高于其他三个群体。


图3 对哲学通识课程采用不同学习方法的人群的轮廓分析


(轮廓变量为:1.学习结果:信息与思维能力;2.学习结果:哲学智慧与理解;3.学习结果:文化通感与理解;4.学习情感:学习兴趣与情感;5.教学感知:优质教学水平;6.教学感知:适当作业与考核;7.学习参与:课堂交流及师生互动;8.学习参与:良好的学业学习习惯;9.学习参与:同伴互动与合作)


3.基于江苏省研究生“两课”的学情调查研究


2017年,笔者承担了江苏省研究生“两课”的学情调查任务。“两课”是研究生的必修课,但过往的经验表明,学生对“两课”的学习重视程度不够,本次调查正是为了揭示目前“两课”学习和教学存在的问题,以期为后续的教学改革提供对策。笔者选取这次调查中的学习方法、学习参与、学习结果、情感投入等变量进行关系分析,以印证前述的关键假设。本次调查共获得有效样本2748个,样本覆盖江苏省8所重点院校。


(1)学习方法的人群聚类分析


基于深层和浅层两种学习方法,笔者运用K-Means方法对人群进行聚类分析,共得到与前述两个研究相类似的4类群体。第一类群体为深浅共用型,人数占比27.5%;第二类群体为浅层主导型,人数占比41.4%;第三类群体为深层主导型,人数占比15.0%;第四类群体为学习游离型,人数占比16.1%。由此可见,对于“两课”课程而言,采用深浅共用的融合性学习的人群比例虽然不高,但与前两个研究相比有所提升,这可能与“两课”是研究生的必修课有较大的关联性。


(2)不同学习方法使用人群的学习特征比较


表4清晰地表明,“深浅共用型”学习者在对党的理论理解、对社会及人生的认识、学习兴趣与情感、优质教学水平、学业学习习惯、主动积极学习、学习满意度等学习指标上,均表现最佳。总之,“深浅共用型”学习者群体积极投入、认真勤奋,且有着良好的学习情绪和满意度,并最终获得到了最优的学习结果。


表4 “两课”课程不同学习方法人群的学习差异比较


(3)不同学习方法使用人群的轮廓分析


图4展示了轮廓分析的图示结果。根据Hotlelling’s标准,本研究4个群体的轮廓之间不满足扁平化假设(Hotelling’s Trace=0.31,F(18)=45.524,P<0.000);根据Wilks’标准,4个群体的轮廓之间也不满足平行性假设(Wilks’ Lambda=0.755,F(18)=43.326,P<0.000)。由此可见,“深浅共用型”学习者群体在7个学习特征变量的均值上显著处于领先位置。


图4 对哲学通识课程采用不同学习方法的人群的轮廓分析


(轮廓变量为:1.学习结果:对党的理论理解;2.学习结果:对社会及人生的认识;3.学习情感:学习兴趣与情感;4.教学感知:优质教学水平;5.学习参与:学业学习习惯;6.学习参与:主动积极学习;7.学习结果:学习满意度)


四、 解释:成因透视与教育展望


本文通过三个不同(如对象、背景、目标上均有差异)的实证调查,彼此交叉地证明了笔者提出的研究假设,即融合性学习在西方教育情境中会导向学习上的失败,而在中国教育土壤上却散发出蓬勃的生机。之所以会呈现出这种中西迥然不同的学习境况,笔者认为有四个方面的成因。


第一,中国学生对西方学生嗤之以鼻的“浅层学习”有着不同的内涵感知。在中国长久形成的经典阅读传统中,“记忆”或“背记”承载着更加丰富的学习深意。Lee(1996)指出:“记忆、理解、反思和质疑是学习的基本构成成分,它们是相互联系、彼此整合的,同时也是反复进行的……记忆绝对不能理解为一种机械学习。”宋代著名理学家朱熹在《读书之要》中也强调,“熟读”和“背记”是走向后续理解的基础性要素,他说,“大抵观书,必先熟读,使其言皆若出自吾之口,使其意皆若出自吾之心”。另一位宋明理学大师王阳明也表达了同样的观点,“仅仅想去记忆,你就不能理解;仅仅想去理解,你就不能从内心深处回忆出真理的来源”(Lee,1996)。综上可见,在中国学生心中,浅层学习似乎并不浅,它是通达理解的重要途径,是抵达内心澄悟的关键一环。换言之,“中国式”的浅层学习,其实恰恰是深层学习的“序曲”“前奏”和“前提”,它与深层学习是彼此交织、紧密融合的。


第二,中国学生的“浅层学习”还附含着“努力”的德行因素。在中国的历史文化传统中,诵读和背记并不仅仅是一种纯粹获知的方法,而且也包裹着与勤奋和努力相关的道德意蕴。布朗大学的李瑾教授说:“中国的儒家传统强调‘学习美德’的观念,涵养美德和求知学习是一而二、二而一的同一条道路,……勤学苦记既是一种认知学习过程,更是一种德行生长过程。”(李瑾,2015)中国古代的荀子也强调,圣人的状态本质上需要通过持续性的努力才能不断达成,而这种努力就包含了诸如反复吟诵、博闻强记的所谓“浅层学习”过程。在西方人眼中,通达理解的关键是个人的悟性和资质,而艰苦的努力过程被认为是“无望的学习挣扎”(Biggs,1996)。与此相反,对于中国的读书人而言,不经历艰苦背记的锻造和历练,就不可能真正抵达“内圣”与“悟道”的至高境界。由此可见,西方的“浅层学习”是一种与良好德行、个性、精神相剥离的纯粹认知行为,而这与东方“美德导向”的丰富学习文化格局相比,真可谓差异甚殊。


第三,中国贯通古今的独特考试模式也是塑造中国成功的融合性学习者的重要因素。中国学生对通过考试取得优异成绩有着天然的浓厚情结,“蟾宫折桂”“大魁天下”是中国读书人接受教育的终极梦想。在中国科举文化长久积习、持续熏染的影响下,中国的考试(包括现在的高考)历来都饱含着“取仕”的要义,其目标是能够甄别出“治世”“平天下”的“有德”之才。实现人生的现世价值,激励中国的读书人去“修身”,去认真经历“格物、致知、诚信、正意”的艰苦求知和悟道的过程,并最终接受“考试”的检验,而这些考试“以经书为主,大约有43万字,充分掌握的前提是需要熟记背诵下来”(刘海峰等,2010)。时至今日,尽管中国的学校考试在内容、方法、目标上发生了变化,但中国传统的“取仕考试”和“经书学习”的文化精髓仍镌刻在国人的精神深处。家庭、学校、社会仍然不断强化着中国学生“举业至上”的心态(刘海峰,1996),读书求取功名的思想热潮依旧拨动着每个学子的心弦,这一切都必然导致古代诵读、背记的“浅层”苦学模式仍然有着巨大的适用空间和现实生命力。


第四,中国学生融合性学习的特质还深深根植于中国传统的“和”文化之中。中国的“和”文化强调不同事物之间的融合统一、相互影响,“和”意味着关系的协调、整合和共生,这与西方的“实体”“逻辑”“规律”的理性文化形成鲜明对比。南京大学翟学伟教授直接指出,“关系”和“关系动力学”是理解中国社会的重要框架,中国人的动态性思维、包容性思维、不确定思维都指向于对“和谐”境界的追求(翟学伟,2012)。其实,在中国学生所感受到的“学习情境”中,不是哪种学习方法本身更好,而是什么样的学习方法与整体情境更加“和谐”与“一致”。偏执一端地纯粹采纳某种“学习方法”,在中国学生眼中,也许就“很不策略”“太钻死脑筋”。笔者曾经访谈过南京大学一名理科学生,请他谈谈对《中国书画鉴赏》这门他十分感兴趣的通识课程的学习情况。他说,“这门课讲得很好,我很有兴趣,并且在课上我也很认真地聆听和理解,但我不会花更多的时间去阅读和深挖。因为我的专业课压力很大,并且相比而言专业课对我更加重要,所以我需要花费更多的时间、精力在专业课上,……对这门通识课,我需要花最少的精力去通过考试就行,尽管我很喜欢这门课。”这个学生灵活地在深层和浅层方法之间游走,他既认真听讲和理解,也力图花最少的时间通过考试,这种典型的“融合性学习”取决于他对整体学习情境的考量与盘算。美国著名学者理查德·尼斯贝特通过大量的心理学实验证明,“东方人关注的是更加广阔的背景,要了解事物就要考虑情境中相互起作用的各种因素,这些因素相互影响,不是以简单必然的方式在起作用。”(理查德·尼斯贝特,2010)在由考试压力、未来发展、外界环境、文化背景、个人特质等各种要素构筑的复杂交织的学习情境中,每个中国学生都在变通地、灵活地、整体地去考察情境中的各种要素及其关系,权衡利弊、盘算得失,最后构建出最优的学习方法组合,做出最具策略化的“融合性学习决策”。


本文的结论在进一步展现中国学习者独特学习模式的同时,也折射出一种中国本土教育研究的必要性。具体而言,“跳出西方中心主义的学术框架”(丁钢,2009),展开面向中国学生、中国独特教育传统的深度研究,揭示中国乃至东亚文化滋养下新奇而丰富的教育景象,将是未来颇具价值和意义的研究方向。笔者在本文中所做的“融合性学习”研究,连带着笔者近年来陆续展开的“中国学生沉默学习研究”(吕林海,2016)、“中国大学生的学习参与特征研究”(吕林海等,2015),正在相互印证、彼此关联地勾勒出一幅愈加完整的中国学生的学习与教学概貌图。灿烂而悠久的东方文明,像基因一样根植和流淌在中国学习者的血脉深处。沃特金斯说:“我们之所以是我们,是因为我们经历的是一种基于文化的学习。”(Watkins,1996)中国的教育研究者们,理应肩负起挖掘、提炼乃至保存中国教育文化的重任,让承载着中国文化特质的学习模式被展现、被推广,让中国的教育研究真正回归到真实的中华文化土壤和中国情境之中,这样才能有力而深刻地发出中国自己的教育声音,贡献中国教育独特的智慧和力量。只有不断地在此方向上加以努力,我们才可能对加拿大著名学者许美德女士如下的发问做出信心满满的回答,即“在今天的全球化时代,中国教育界应当思考,我们为世界教育的发展究竟能贡献什么?”(丁钢,2009)



作者简介:吕林海,博士,教授,南京大学教育研究院,南京大学高等教育研究与评价中心副主任(江苏南京 210093)。

基金项目:中国高等教育学会重大委托课题“一流大学建设与一流本科教育研究”。

引用:吕林海(2018).融合性学习:西方学生的梦魇,抑或中国学生的圣境——从普洛瑟的“脱节型学生”说起[J].现代远程教育研究,(2):45-52.


转载自:《现代远程教育研究》2018年第2期

排版、插图来自公众号:MOOC(微信号:openonline)


喜欢我们就多一次点赞多一次分享吧~


有缘的人终会相聚,慕客君想了想,要是不分享出来,怕我们会擦肩而过~

《预约、体验——新维空间站》

《【会员招募】“新维空间站”1年100场活动等你来加入》

有缘的人总会相聚——MOOC公号招募长期合作者


产权及免责声明 本文系“MOOC”公号转载、编辑的文章,编辑后增加的插图均来自于互联网,对文中观点保持中立,对所包含内容的准确性、可靠性或者完整性不提供任何明示或暗示的保证,不对文章观点负责,仅作分享之用,文章版权及插图属于原作者。如果分享内容侵犯您的版权或者非授权发布,请及时与我们联系,我们会及时内审核处理。


了解在线教育,

握MOOC国际发展前把沿,请关注:
微信公号:openonline
公号昵称:MOOC

 

登录查看更多
0

相关内容

【2020新书】数据科学:十大Python项目,247页pdf
专知会员服务
216+阅读 · 2020年2月21日
新时期我国信息技术产业的发展
专知会员服务
71+阅读 · 2020年1月18日
报告 | 2020中国5G经济报告,100页pdf
专知会员服务
98+阅读 · 2019年12月29日
2019中国硬科技发展白皮书 193页
专知会员服务
86+阅读 · 2019年12月13日
终身教育百年:从终身教育到终身学习
MOOC
21+阅读 · 2019年3月5日
上新 | 《中国地理必修课》,让孩子更懂中国
罗辑思维
3+阅读 · 2019年2月25日
思维发展型课堂的概念、要素与设计
MOOC
4+阅读 · 2018年12月18日
秒杀99%大学生!中国最牛高校学霸PK,简历吓坏网友...
人工智能机器人联盟
7+阅读 · 2017年11月12日
CoCoNet: A Collaborative Convolutional Network
Arxiv
6+阅读 · 2019年1月28日
Learning to Focus when Ranking Answers
Arxiv
5+阅读 · 2018年8月8日
VIP会员
Top
微信扫码咨询专知VIP会员