学界 | 基于概率隐层模型的购物搭配推送:阿里巴巴提出新型用户偏好预测模型

2017 年 8 月 5 日 机器之心

选自 Alibaba Group

作者:Huasha Zhao等

机器之心报道

推送控制是电商应用中的关键组成部分,它与用户的数量增长与参与度显著相关。推送通知的有效性通常以消息被打开比例来衡量。推送消息可以包含推荐的产品、优惠信息等,但由于显示空间的限制,通常我们只能在推送消息中显示一个或两个项目。近日,阿里巴巴的研究者们提出了一种混合模型方法,用于预测用户购买后补充产品推荐任务中的推送消息打开率。该研究的论文已被 SIGIR 2017 大会接收。


论文:Recommending Complementary Products in E-Commerce Push Notifications with a Mixture Model Approach 



论文链接:https://arxiv.org/abs/1707.08113


这篇文章中,阿里研究者们对电商领域营销推送场景进行了点击率的优化。营销推送场景和传统电商推荐场景有很多类似的地方,但也有所不同。首先,营销推送的点击率受文案影响很大,和用户直接相关的文案的点击率会明显高于通用的推送文案;其次,每次营销推送只有一个展示坑位,因为对推送商品的准确度要求更高。

 

为解决第一个问题,我们进行「购物搭配」场景的推荐。购物搭配场景推送一个和用户已购买商品的搭配商品,比如当用户买了高级茶壶后对上好茶叶进行推送(下图第二个推送信息)。购物搭配的好处是文案中可以透出用户已购商品,消息可以和用户建立强烈的 attachment,提升消息打开率。

 


为寻找搭配商品对,我们定义如下两个指标:

 

1)同时购买分数(Co-Purchase Graph)

 

 

2) 看了又买分数(View-and-then-Purchase Graph)



第一个指标衡量了两个商品之间的互补性(complementarity),第二个指标衡量了两个商品的替代性(substitutivity)。购物搭配场景下,我们希望寻找高互补性、低替代性的商品对进行推荐。因此,我们把商品对「搭配性」的得分定义为:



这个分数是我们推荐模型中的一个重要特征。

 

为了解决推荐准确性的问题。我们对用户分层进行更细致的刻画。我们的主要思想是基于用户行为对用户的向量表示(Embeddings)进行学习,然后我们用这些向量表示对用户的行为进行预测。向量表示可以理解为对用户在高维度的一个量化的抽象表示。

 

向量表示的好处是可以更精准,更灵活的对目标进行表达。举个例子,我们对用户的描述不仅仅局限于年龄、消费能力等人可以 Intuitively 容易想到的维度,人工智能可以自动从消费者数据中学习到更全面更抽象的维度,比如用户对推荐平台的依赖程度,用户对选择商品的创新性等。

 

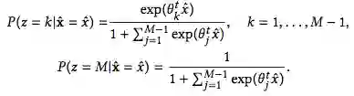
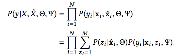
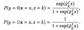
用户向量的学习我们采用的是概率隐层模型(Probabilistic Latent Class Modeling)。首先我们定义用户点击模型如下:



这个模型分为两层,第一层是隐层用来刻画用户在高维度下的分层,采用多维逻辑回归分类的形式。



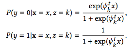
第二层是点击率预测模型。我们这里选择了一个二维逻辑回归模型。不过可以很容易的扩展使用深度神经网络。



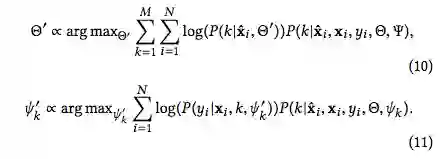
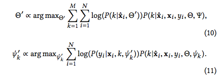
我们要在已知用户特征和点击数据的条件下估计模型参数。我们采用经典的 EM(Expectation-Maximization)算法。

 

EM 算法需要先求解 Q 函数:



为优化 Q 函数我们对参数进行迭代优化如下:



上面两个更新很容易通过 Gradient Decent 方法求解。

 

下图是我们对求解模型的一个解释。我们发现高活跃用户更加看中自己的倾向,预测模型的权重在用户偏好类的特征中高(high model weights on user preference features);低活跃用户更加依赖于平台的推荐,更喜欢平台选择的搭配性好的商品,预测模型权重在商品搭配性的特征权重高 (high model weights on )。这可以直观的理解为深度用户在选择商品上更有自己主见,而新手更依赖于平台。



目前该工作在线上取得了不错的效果,购物搭配的推送推荐场景上看到大约 50% 的点击率提升。

 

更广义的来讲,这项技术给行业带来的好处的是可以更精准和全面的刻画用户,进一步推广以用来描述商品、资讯、视频等其他目标。该技术可以帮助使我们的营销推荐更友好(了解用户),同时从商业上提高转化率(高点击率)。 



本文为机器之心报道,转载请联系本公众号获得授权

✄------------------------------------------------

加入机器之心(全职记者/实习生):hr@jiqizhixin.com

投稿或寻求报道:editor@jiqizhixin.com

广告&商务合作:bd@jiqizhixin.com

登录查看更多
0

相关内容

阿里巴巴集团于1999年创立,阿里巴巴集团子公司及关联公司有:阿里巴巴网络有限公司、淘宝网、淘宝商城(天猫)、一淘、支付宝、阿里云计算、中国雅虎等。
专知会员服务
88+阅读 · 2020年1月20日
可解释推荐:综述与新视角
专知会员服务
114+阅读 · 2019年10月13日
用户研究:如何做用户画像分析
产品100干货速递
45+阅读 · 2019年5月9日
基于深度交叉特征的推荐系统
微信AI
9+阅读 · 2019年2月1日
万字长文 | 10种传统机器学习算法,阿里工程师总结 | 下
机器学习算法与Python学习
3+阅读 · 2019年1月14日
论文浅尝 | 推荐系统的可解释性浅谈
开放知识图谱
15+阅读 · 2018年11月27日
爆料 | 解析阿里妈妈如何将深度学习应用在广告、推荐及搜索业务
机器学习算法与Python学习
5+阅读 · 2018年5月14日
【推荐系统】详解基于内容的推荐算法
产业智能官
23+阅读 · 2018年1月11日
Next Item Recommendation with Self-Attention
Arxiv
5+阅读 · 2018年8月25日
Arxiv
23+阅读 · 2018年8月3日
Arxiv
14+阅读 · 2018年4月18日
Arxiv
7+阅读 · 2018年1月31日
VIP会员
相关资讯
用户研究:如何做用户画像分析
产品100干货速递
45+阅读 · 2019年5月9日
基于深度交叉特征的推荐系统
微信AI
9+阅读 · 2019年2月1日
万字长文 | 10种传统机器学习算法,阿里工程师总结 | 下
机器学习算法与Python学习
3+阅读 · 2019年1月14日
论文浅尝 | 推荐系统的可解释性浅谈
开放知识图谱
15+阅读 · 2018年11月27日
爆料 | 解析阿里妈妈如何将深度学习应用在广告、推荐及搜索业务
机器学习算法与Python学习
5+阅读 · 2018年5月14日
【推荐系统】详解基于内容的推荐算法
产业智能官
23+阅读 · 2018年1月11日
相关论文
Top
微信扫码咨询专知VIP会员