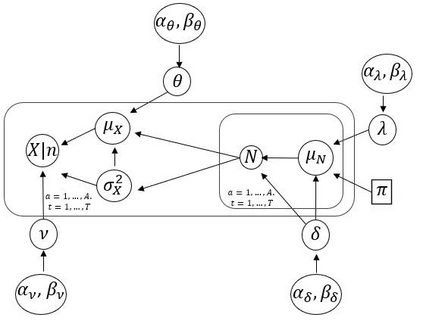
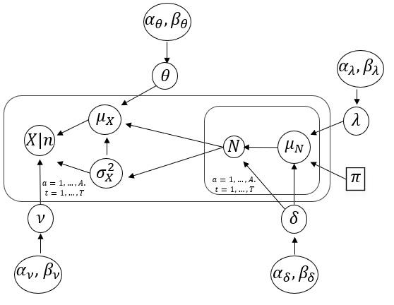
Insurance data can be asymmetric with heavy tails, causing inadequate adjustments of the usually applied models. To deal with this issue, hierarchical models for collective risk with heavy-tails of the claims distributions that take also into account overdispersion of the number of claims are proposed. In particular, the distribution of the logarithm of the aggregate value of claims is assumed to follow a Student-t distribution. Additionally, to incorporate possible overdispersion, the number of claims is modeled as having a negative binomial distribution. Bayesian decision theory is invoked to calculate the fair premium based on the modified absolute deviation utility. An application to a health insurance dataset is presented together with some diagnostic measures to identify excess variability. The variability measures are analyzed using the marginal posterior predictive distribution of the premiums according to some competitive models. Finally, a simulation study is carried out to assess the predictive capability of the model and the adequacy of the Bayesian estimation procedure. Keywords: Continuous ranked probability score (CRPS); decision theory; insurance data; marginal posterior predictive; tail value at risk; value at risk.


翻译:为了处理这一问题,提出了索赔分配中具有重尾部的集体风险的等级模型,其中也考虑到索赔数量的过度分散; 特别地,假设索赔总价值的对数分布遵循学生-学生分布法; 此外,为了纳入可能的过度分散,索赔数量模拟为负二进制分布模式; 援引贝叶西亚决定理论,根据修改后的绝对偏差效用计算公平溢价; 对医疗保险数据集的应用,连同一些诊断性措施一起提出,以确定过多的变异性; 利用边际外延或预测根据一些竞争性模型对溢价的分布进行分析; 最后,进行模拟研究,评估模型的预测能力和巴伊西亚估算程序的充足性; 关键词:连续的等级概率评分(CRPS); 决策理论; 保险数据; 边缘后游预测; 风险尾值; 风险值。

0
下载
关闭预览

相关内容

ACM/IEEE第23届模型驱动工程语言和系统国际会议,是模型驱动软件和系统工程的首要会议系列,由ACM-SIGSOFT和IEEE-TCSE支持组织。自1998年以来,模型涵盖了建模的各个方面,从语言和方法到工具和应用程序。模特的参加者来自不同的背景,包括研究人员、学者、工程师和工业专业人士。MODELS 2019是一个论坛,参与者可以围绕建模和模型驱动的软件和系统交流前沿研究成果和创新实践经验。今年的版本将为建模社区提供进一步推进建模基础的机会,并在网络物理系统、嵌入式系统、社会技术系统、云计算、大数据、机器学习、安全、开源等新兴领域提出建模的创新应用以及可持续性。 官网链接:http://www.modelsconference.org/
【干货书】机器学习速查手册,135页pdf
专知会员服务
127+阅读 · 2020年11月20日
Linux导论,Introduction to Linux,96页ppt
专知会员服务
82+阅读 · 2020年7月26日
专知会员服务
63+阅读 · 2020年3月4日
Keras François Chollet 《Deep Learning with Python 》, 386页pdf
专知会员服务
163+阅读 · 2019年10月12日
强化学习最新教程,17页pdf
专知会员服务
182+阅读 · 2019年10月11日
【SIGGRAPH2019】TensorFlow 2.0深度学习计算机图形学应用
专知会员服务
41+阅读 · 2019年10月9日
Transferring Knowledge across Learning Processes
CreateAMind
29+阅读 · 2019年5月18日
A Technical Overview of AI & ML in 2018 & Trends for 2019
待字闺中
18+阅读 · 2018年12月24日
Disentangled的假设的探讨
CreateAMind
9+阅读 · 2018年12月10日
已删除
将门创投
4+阅读 · 2018年12月10日
【论文】变分推断(Variational inference)的总结
机器学习研究会
39+阅读 · 2017年11月16日
【推荐】决策树/随机森林深入解析
机器学习研究会
5+阅读 · 2017年9月21日
Auto-Encoding GAN
CreateAMind
7+阅读 · 2017年8月4日
Arxiv
0+阅读 · 2021年3月17日
Disentangled Information Bottleneck
Arxiv
12+阅读 · 2020年12月22日
Clustered Object Detection in Aerial Images
Arxiv
5+阅读 · 2019年8月27日
VIP会员
相关资讯
Transferring Knowledge across Learning Processes
CreateAMind
29+阅读 · 2019年5月18日
A Technical Overview of AI & ML in 2018 & Trends for 2019
待字闺中
18+阅读 · 2018年12月24日
Disentangled的假设的探讨
CreateAMind
9+阅读 · 2018年12月10日
已删除
将门创投
4+阅读 · 2018年12月10日
【论文】变分推断(Variational inference)的总结
机器学习研究会
39+阅读 · 2017年11月16日
【推荐】决策树/随机森林深入解析
机器学习研究会
5+阅读 · 2017年9月21日
Auto-Encoding GAN
CreateAMind
7+阅读 · 2017年8月4日
Top
微信扫码咨询专知VIP会员