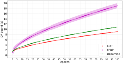
While rich medical datasets are hosted in hospitals distributed across the world, concerns on patients' privacy is a barrier against using such data to train deep neural networks (DNNs) for medical diagnostics. We propose Dopamine, a system to train DNNs on distributed datasets, which employs federated learning (FL) with differentially-private stochastic gradient descent (DPSGD), and, in combination with secure aggregation, can establish a better trade-off between differential privacy (DP) guarantee and DNN's accuracy than other approaches. Results on a diabetic retinopathy~(DR) task show that Dopamine provides a DP guarantee close to the centralized training counterpart, while achieving a better classification accuracy than FL with parallel DP where DPSGD is applied without coordination. Code is available at https://github.com/ipc-lab/private-ml-for-health.


翻译:虽然分布在世界各地的医院拥有丰富的医疗数据集,但患者隐私问题阻碍了使用这类数据来培训深神经网络进行医疗诊断,我们提议多帕胺,这是一个在分布数据集方面培训DNN的系统,该系统采用有差别的私人学习梯度(DPSGD),结合安全的汇总,可以在不同的隐私保障(DP)和DNN的准确性之间比其他方法建立更好的权衡。糖尿病复方疗法(DR)任务的结果显示,多帕胺提供了接近集中培训对应方的DP保证,同时在没有协调的情况下使用DPSGD平行的DP实现比FL更好的分类准确性。可在https://github./ com-ipc-lab/perty-ml-for-healhealth上查阅《守则》。

1
下载
关闭预览

相关内容

联邦学习(Federated Learning)是一种新兴的人工智能基础技术,在 2016 年由谷歌最先提出,原本用于解决安卓手机终端用户在本地更新模型的问题,其设计目标是在保障大数据交换时的信息安全、保护终端数据和个人数据隐私、保证合法合规的前提下,在多参与方或多计算结点之间开展高效率的机器学习。其中,联邦学习可使用的机器学习算法不局限于神经网络,还包括随机森林等重要算法。联邦学习有望成为下一代人工智能协同算法和协作网络的基础。
最新《联邦学习Federated Learning》报告,Federated Learning
专知会员服务
89+阅读 · 2020年12月2日
专知会员服务
45+阅读 · 2020年10月31日
【微众银行】联邦学习白皮书_v2.0,48页pdf,
专知会员服务
170+阅读 · 2020年4月26日
已删除
将门创投
5+阅读 · 2019年10月29日
Transferring Knowledge across Learning Processes
CreateAMind
29+阅读 · 2019年5月18日
VIP会员
相关资讯
已删除
将门创投
5+阅读 · 2019年10月29日
Transferring Knowledge across Learning Processes
CreateAMind
29+阅读 · 2019年5月18日
Top
微信扫码咨询专知VIP会员