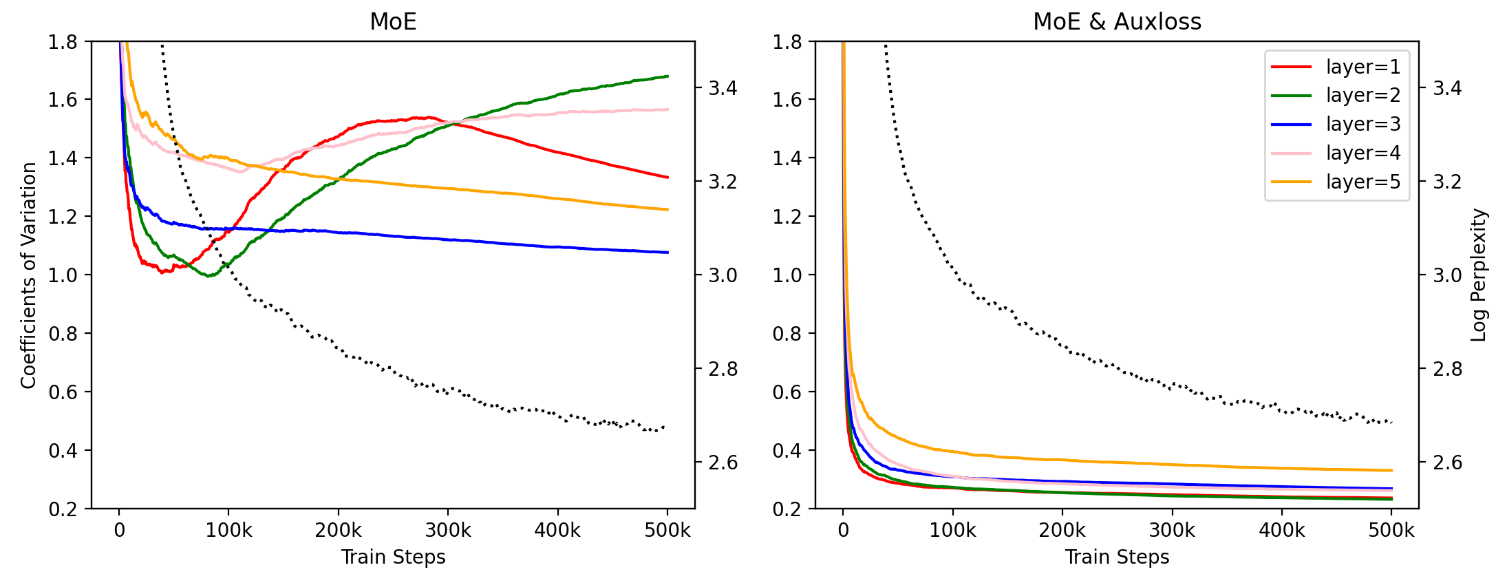
Mixture-of-Experts (MoE) models can achieve promising results with outrageous large amount of parameters but constant computation cost, and thus it has become a trend in model scaling. Still it is a mystery how MoE layers bring quality gains by leveraging the parameters with sparse activation. In this work, we investigate several key factors in sparse expert models. We observe that load imbalance may not be a significant problem affecting model quality, contrary to the perspectives of recent studies, while the number of sparsely activated experts $k$ and expert capacity $C$ in top-$k$ routing can significantly make a difference in this context. Furthermore, we take a step forward to propose a simple method called expert prototyping that splits experts into different prototypes and applies $k$ top-$1$ routing. This strategy improves the model quality but maintains constant computational costs, and our further exploration on extremely large-scale models reflects that it is more effective in training larger models. We push the model scale to over $1$ trillion parameters and implement it on solely $480$ NVIDIA V100-32GB GPUs, in comparison with the recent SOTAs on $2048$ TPU cores. The proposed giant model achieves substantial speedup in convergence over the same-size baseline.


翻译:在这项工作中,我们调查了稀少专家模型中的若干关键因素。我们发现,与最近研究的观点相反,负载不平衡可能不是一个影响模型质量的重大问题,而低效专家人数和专家能力(最高至1千元),最高至1千元的定线数可以大大改变这种情况。此外,我们向前迈出了一步,提出了一种简单的方法,称为专家原型,将专家分成不同的原型,并应用最高至1百万美元的定线。这一战略改进了模型质量,但保持了不断的计算成本,我们对极大型模型的进一步探索表明,它在培训大型模型方面更为有效。我们把模型规模推到超过1万亿元的参数上,并在仅480美元NDIA V100-32的定线参数上实施。我们比较了一种叫作专家原型的专家原型方法,将专家分成不同的原型,采用最高至1百万美元的定线。这个战略改进了模型的质量,但保持了不变的计算成本,我们对极大型模型的进一步探索表明,它在培训大型模型方面更为有效。我们把模型推向1万亿美元以上的参数,并在仅480美元V100-32GPPU中执行它,以近20个核心基准速度达到20美元。

0
下载
关闭预览

相关内容

ACM/IEEE第23届模型驱动工程语言和系统国际会议,是模型驱动软件和系统工程的首要会议系列,由ACM-SIGSOFT和IEEE-TCSE支持组织。自1998年以来,模型涵盖了建模的各个方面,从语言和方法到工具和应用程序。模特的参加者来自不同的背景,包括研究人员、学者、工程师和工业专业人士。MODELS 2019是一个论坛,参与者可以围绕建模和模型驱动的软件和系统交流前沿研究成果和创新实践经验。今年的版本将为建模社区提供进一步推进建模基础的机会,并在网络物理系统、嵌入式系统、社会技术系统、云计算、大数据、机器学习、安全、开源等新兴领域提出建模的创新应用以及可持续性。 官网链接:http://www.modelsconference.org/
迁移学习简明教程,11页ppt
专知会员服务
109+阅读 · 2020年8月4日
Keras François Chollet 《Deep Learning with Python 》, 386页pdf
专知会员服务
163+阅读 · 2019年10月12日
强化学习最新教程,17页pdf
专知会员服务
182+阅读 · 2019年10月11日
2019年机器学习框架回顾
专知会员服务
36+阅读 · 2019年10月11日
【SIGGRAPH2019】TensorFlow 2.0深度学习计算机图形学应用
专知会员服务
41+阅读 · 2019年10月9日
已删除
将门创投
9+阅读 · 2019年11月15日
深度卷积神经网络中的降采样
极市平台
12+阅读 · 2019年5月24日
Hierarchically Structured Meta-learning
CreateAMind
27+阅读 · 2019年5月22日
ICLR2019最佳论文出炉
专知
12+阅读 · 2019年5月6日
无监督元学习表示学习
CreateAMind
27+阅读 · 2019年1月4日
Unsupervised Learning via Meta-Learning
CreateAMind
43+阅读 · 2019年1月3日
The Evolved Transformer
Arxiv
5+阅读 · 2019年1月30日
Arxiv
5+阅读 · 2017年12月29日
Arxiv
3+阅读 · 2017年12月14日
Arxiv
3+阅读 · 2015年5月16日
VIP会员
相关资讯
已删除
将门创投
9+阅读 · 2019年11月15日
深度卷积神经网络中的降采样
极市平台
12+阅读 · 2019年5月24日
Hierarchically Structured Meta-learning
CreateAMind
27+阅读 · 2019年5月22日
ICLR2019最佳论文出炉
专知
12+阅读 · 2019年5月6日
无监督元学习表示学习
CreateAMind
27+阅读 · 2019年1月4日
Unsupervised Learning via Meta-Learning
CreateAMind
43+阅读 · 2019年1月3日
Top
微信扫码咨询专知VIP会员