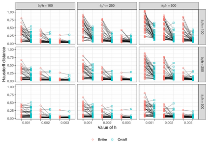
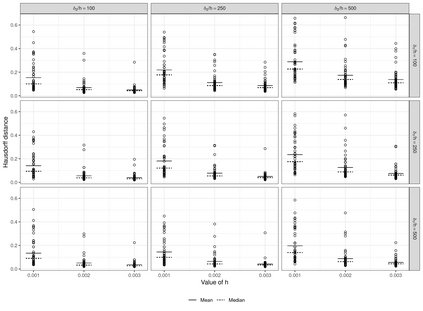
The analysis of animal movement has gained attention recently, and new continuous-time models and statistical methods have been developed. All of them are based on the assumption that this movement can be recorded over a long period of time, which is sometimes infeasible, for instance when the battery life of the GPS is short. We prove that the estimation of its home range improves if periods when the GPS is on are alternated with periods when the GPS is turned off. This is illustrated through a simulation study, and real life data. We also provide estimators of the stationary distribution, level sets (which provides estimators of the core area) and the drift function.


翻译:最近,动物运动分析得到注意,新的连续时间模型和统计方法得到发展,所有这些模型和统计方法都基于这样的假设,即这种移动可以长期记录下来,有时是行不通的,例如全球定位系统电池寿命短时,我们证明,如果全球定位系统使用期间与全球定位系统关闭期间交替使用,对其家用范围的估计会得到改善,这通过模拟研究和真实生命数据加以说明。我们还提供静止分布、水平组(提供核心区域的测算器)和漂移功能的估测器。

0
下载
关闭预览

相关内容

【干货书】机器学习速查手册,135页pdf
专知会员服务
127+阅读 · 2020年11月20日
Keras François Chollet 《Deep Learning with Python 》, 386页pdf
专知会员服务
160+阅读 · 2019年10月12日
2019年机器学习框架回顾
专知会员服务
36+阅读 · 2019年10月11日
[综述]深度学习下的场景文本检测与识别
专知会员服务
78+阅读 · 2019年10月10日
计算机 | 中低难度国际会议信息8条
Call4Papers
9+阅读 · 2019年6月19日
计算机 | 中低难度国际会议信息6条
Call4Papers
7+阅读 · 2019年5月16日
A Technical Overview of AI & ML in 2018 & Trends for 2019
待字闺中
18+阅读 · 2018年12月24日
计算机类 | LICS 2019等国际会议信息7条
Call4Papers
3+阅读 · 2018年12月17日
【SIGIR2018】五篇对抗训练文章
专知
12+阅读 · 2018年7月9日
分布式TensorFlow入门指南
机器学习研究会
4+阅读 · 2017年11月28日
计算机类 | 国际会议信息7条
Call4Papers
3+阅读 · 2017年11月17日
【计算机类】期刊专刊/国际会议截稿信息6条
Call4Papers
3+阅读 · 2017年10月13日
【今日新增】IEEE Trans.专刊截稿信息8条
Call4Papers
7+阅读 · 2017年6月29日
Arxiv
0+阅读 · 2021年7月26日
Arxiv
0+阅读 · 2021年7月25日
Arxiv
0+阅读 · 2021年7月23日
VIP会员
相关资讯
计算机 | 中低难度国际会议信息8条
Call4Papers
9+阅读 · 2019年6月19日
计算机 | 中低难度国际会议信息6条
Call4Papers
7+阅读 · 2019年5月16日
A Technical Overview of AI & ML in 2018 & Trends for 2019
待字闺中
18+阅读 · 2018年12月24日
计算机类 | LICS 2019等国际会议信息7条
Call4Papers
3+阅读 · 2018年12月17日
【SIGIR2018】五篇对抗训练文章
专知
12+阅读 · 2018年7月9日
分布式TensorFlow入门指南
机器学习研究会
4+阅读 · 2017年11月28日
计算机类 | 国际会议信息7条
Call4Papers
3+阅读 · 2017年11月17日
【计算机类】期刊专刊/国际会议截稿信息6条
Call4Papers
3+阅读 · 2017年10月13日
【今日新增】IEEE Trans.专刊截稿信息8条
Call4Papers
7+阅读 · 2017年6月29日
Top
微信扫码咨询专知VIP会员