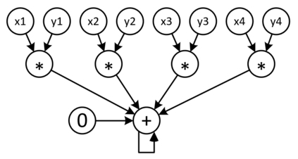
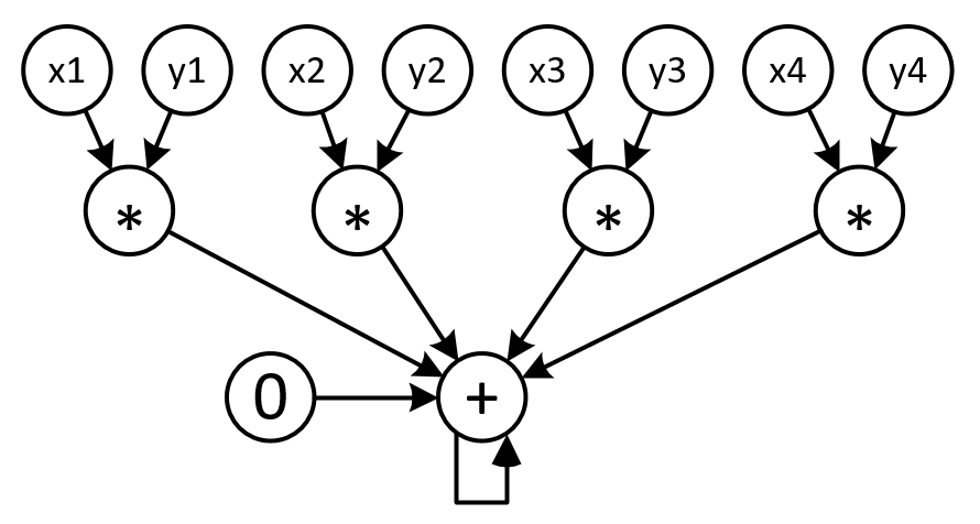
The success of Deep Artificial Neural Networks (DNNs) in many domains created a rich body of research concerned with hardware accelerators for compute-intensive DNN operators. However, implementing such operators efficiently with complex instructions such as matrix multiply is a task not yet automated gracefully. Solving this task often requires complex program and memory layout transformations. First solutions to this problem have been proposed, such as TVM or ISAMIR, which work on a loop-level representation of operators and rewrite the program before an instruction embedding into the operator is performed. This top-down approach creates a tension between exploration range and search space complexity. In this work, we propose a new approach to this problem. We have created a bottom-up method that allows the direct generation of implementations based on an accelerator's instruction set. By formulating the embedding as a constraint satisfaction problem over the scalar dataflow, every possible embedding solution is contained in the search space. By adding additional constraints, a solver can produce the subset of preferable solutions. A detailed evaluation using the VTA hardware accelerator with the Baidu DeepBench inference benchmark suite shows that our approach can automatically generate code competitive to reference implementations, and furthermore that memory layout flexibilty can be beneficial for overall performance. While the reference implementation achieves very low hardware utilization due to its fixed embedding strategy, we achieve a geomean speedup of up to x2.49, while individual operators can improve as much as x238.


翻译:深人工神经网络(DNNS)在许多领域的成功创造了大量与硬件加速器有关的大量研究,涉及计算密集 DNN操作员的硬件加速器。 然而, 以矩阵乘法等复杂指示高效率地执行这些操作员, 并不容易实现自动化。 解决这项任务往往需要复杂的程序和记忆布局转换。 已经提出了这一问题的第一个解决方案, 例如 TVM 或 ISAMIR, 后者在操作员执行指令之前, 工作于操作员的循环级别代表, 并重写程序。 这种自上而下的方法在计算密集的 DNNNN操作员的硬件加速器和搜索空间复杂度之间造成了紧张关系。 在这项工作中, 我们提出了一种新的方法。 我们创建了一种自下而上的方法, 使直接生成基于一个加速器指令设置的直接执行模式。 通过将这种嵌入成一个制约性满意度问题, 所有可能的嵌入式解决方案都包含在搜索空间中。 通过增加额外的制约, 解决者可以生成更佳的解决方案。 在这项工作中, 使用VTA 硬件参照器的参照度和搜索空间的复杂空间的搜索系统, 将显示一个可自动地平缩缩缩缩化的操作, 。

0
下载
关闭预览

相关内容

Automator是苹果公司为他们的Mac OS X系统开发的一款软件。 只要通过点击拖拽鼠标等操作就可以将一系列动作组合成一个工作流,从而帮助你自动的(可重复的)完成一些复杂的工作。Automator还能横跨很多不同种类的程序,包括:查找器、Safari网络浏览器、iCal、地址簿或者其他的一些程序。它还能和一些第三方的程序一起工作,如微软的Office、Adobe公司的Photoshop或者Pixelmator等。
Google-EfficientNet v2来了!更快,更小,更强!
专知会员服务
19+阅读 · 2021年4月4日
Stabilizing Transformers for Reinforcement Learning
专知会员服务
60+阅读 · 2019年10月17日
ExBert — 可视化分析Transformer学到的表示
专知会员服务
32+阅读 · 2019年10月16日
Keras François Chollet 《Deep Learning with Python 》, 386页pdf
专知会员服务
163+阅读 · 2019年10月12日
机器学习入门的经验与建议
专知会员服务
94+阅读 · 2019年10月10日
【SIGGRAPH2019】TensorFlow 2.0深度学习计算机图形学应用
专知会员服务
41+阅读 · 2019年10月9日
最新BERT相关论文清单,BERT-related Papers
专知会员服务
53+阅读 · 2019年9月29日
Deep Compression/Acceleration:模型压缩加速论文汇总
极市平台
14+阅读 · 2019年5月15日
强化学习的Unsupervised Meta-Learning
CreateAMind
18+阅读 · 2019年1月7日
A Technical Overview of AI & ML in 2018 & Trends for 2019
待字闺中
18+阅读 · 2018年12月24日
disentangled-representation-papers
CreateAMind
26+阅读 · 2018年9月12日
vae 相关论文 表示学习 1
CreateAMind
12+阅读 · 2018年9月6日
条件GAN重大改进!cGANs with Projection Discriminator
CreateAMind
8+阅读 · 2018年2月7日
计算机视觉近一年进展综述
机器学习研究会
9+阅读 · 2017年11月25日
【论文】变分推断(Variational inference)的总结
机器学习研究会
39+阅读 · 2017年11月16日
Adversarial Variational Bayes: Unifying VAE and GAN 代码
CreateAMind
7+阅读 · 2017年10月4日
Arxiv
0+阅读 · 2021年6月4日
Arxiv
0+阅读 · 2021年6月2日
Arxiv
6+阅读 · 2018年4月24日
VIP会员
相关VIP内容
相关资讯
Deep Compression/Acceleration:模型压缩加速论文汇总
极市平台
14+阅读 · 2019年5月15日
强化学习的Unsupervised Meta-Learning
CreateAMind
18+阅读 · 2019年1月7日
A Technical Overview of AI & ML in 2018 & Trends for 2019
待字闺中
18+阅读 · 2018年12月24日
disentangled-representation-papers
CreateAMind
26+阅读 · 2018年9月12日
vae 相关论文 表示学习 1
CreateAMind
12+阅读 · 2018年9月6日
条件GAN重大改进!cGANs with Projection Discriminator
CreateAMind
8+阅读 · 2018年2月7日
计算机视觉近一年进展综述
机器学习研究会
9+阅读 · 2017年11月25日
【论文】变分推断(Variational inference)的总结
机器学习研究会
39+阅读 · 2017年11月16日
Adversarial Variational Bayes: Unifying VAE and GAN 代码
CreateAMind
7+阅读 · 2017年10月4日
相关论文
Top
微信扫码咨询专知VIP会员