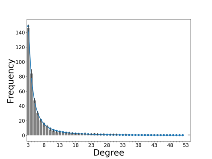
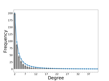
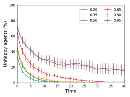
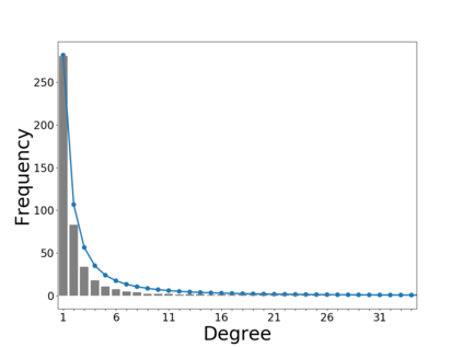
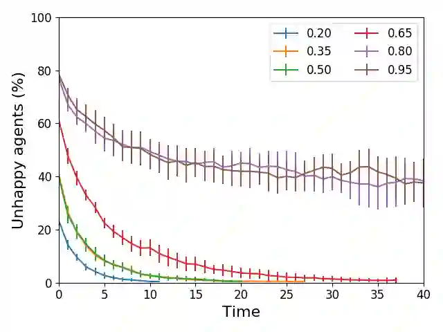
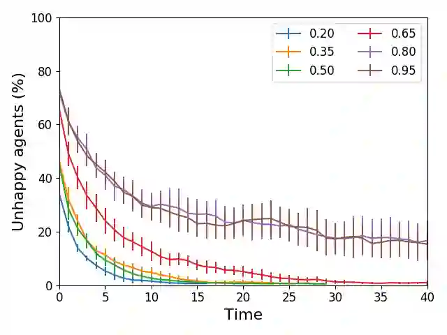
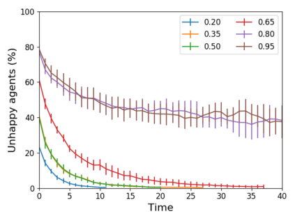
Modelling and simulation of complex systems is key to exploring and understanding social processes, benefiting from formal mechanisms to derive global-level properties from local-level interactions. In this paper we extend the body of knowledge on formal methods in complex systems by applying EB-DEVS, a novel formalism tailored for the modelling, simulation and live identification of emergent properties. We guide the reader through the implementation of different classical models for varied social systems to introduce good modelling practices and showcase the advantages and limitations of modelling emergence with EB-DEVS, in particular through its live emergence detection capability. This work provides case study-driven evidence for the neatness and compactness of the approach to modelling communication structures that can be explicit or implicit, static or dynamic, with or without multilevel interactions, and with weak or strong emergent behaviour. Throughout examples we show that EB-DEVS permits conceptualising the analysed societies by incorporating emergent behaviour when required, namely by integrating as a macro-level aggregate the Gini index in the Sugarscape model, Fads and Fashion in the Dissemination of Culture model, size-biased degree distribution in a Preferential Attachment model, happiness index in the Segregation model and quarantines in the SIR epidemic model. In each example we discuss the role of communication structures in the development of multilevel simulation models, and illustrate how micro-macro feedback loops enable the modelling of macro-level properties. Our results stress the relevance of multilevel features to support a robust approach in the modelling and simulation of complex systems.


翻译:建模和模拟复杂系统是探索和理解社会进程的关键,从正式机制中获益,从地方一级的互动中得出全球层面的特性。在本文件中,我们通过应用EB-DEVS,扩大复杂系统中正规方法知识体系的知识体系,EB-DEVS是一种新颖的形式主义,专门为建模、模拟和现场识别新兴特性而设计。我们指导读者,为不同的社会系统采用不同的经典模式,引入良好的建模做法,并展示与EB-DEVS建模模式形成模型的优势和局限性,特别是通过其实实在在的建模能力。这项工作提供了案例研究证据,说明在建模结构中建模结构的清晰或隐含、静态或动态,以及多层次的互动或没有多层次的互动,以及虚弱或强烈的出现行为。我们通过这些实例表明,EB-DEVS允许将所分析的社会概念化概念化,必要时纳入新兴行为,即将Gini指数作为宏观级集成集成的模型、Fads 和Fashionon 模拟方法的模拟模型传播、规模偏差度模型的分布和紧凑级通信结构,我们在Smissimal 模型的模型的模型中,我们在模型的每个模型的模型的模型的模型的模型化中如何解释中,并展示的模型的模型化的模型和模拟结构化。

0
下载
关闭预览

相关内容

ACM/IEEE第23届模型驱动工程语言和系统国际会议,是模型驱动软件和系统工程的首要会议系列,由ACM-SIGSOFT和IEEE-TCSE支持组织。自1998年以来,模型涵盖了建模的各个方面,从语言和方法到工具和应用程序。模特的参加者来自不同的背景,包括研究人员、学者、工程师和工业专业人士。MODELS 2019是一个论坛,参与者可以围绕建模和模型驱动的软件和系统交流前沿研究成果和创新实践经验。今年的版本将为建模社区提供进一步推进建模基础的机会,并在网络物理系统、嵌入式系统、社会技术系统、云计算、大数据、机器学习、安全、开源等新兴领域提出建模的创新应用以及可持续性。 官网链接:http://www.modelsconference.org/
【硬核书】树与网络上的概率,716页pdf
专知会员服务
77+阅读 · 2021年12月8日
《行为与认知机器人学》,241页pdf
专知会员服务
54+阅读 · 2021年4月11日
Linux导论,Introduction to Linux,96页ppt
专知会员服务
82+阅读 · 2020年7月26日
【经典书】贝叶斯编程,378页pdf,Bayesian Programming
专知会员服务
250+阅读 · 2020年5月18日
强化学习最新教程,17页pdf
专知会员服务
182+阅读 · 2019年10月11日
【哈佛大学商学院课程Fall 2019】机器学习可解释性
专知会员服务
105+阅读 · 2019年10月9日
【SIGGRAPH2019】TensorFlow 2.0深度学习计算机图形学应用
专知会员服务
41+阅读 · 2019年10月9日
CCF推荐 | 国际会议信息6条
Call4Papers
9+阅读 · 2019年8月13日
已删除
AI掘金志
7+阅读 · 2019年7月8日
计算机 | 国际会议信息5条
Call4Papers
3+阅读 · 2019年7月3日
计算机 | 入门级EI会议ICVRIS 2019诚邀稿件
Call4Papers
10+阅读 · 2019年6月24日
IEEE | DSC 2019诚邀稿件 (EI检索)
Call4Papers
10+阅读 · 2019年2月25日
人工智能 | SCI期刊专刊信息3条
Call4Papers
5+阅读 · 2019年1月10日
计算机 | CCF推荐会议信息10条
Call4Papers
5+阅读 · 2018年10月18日
CCF B类期刊IPM专刊截稿信息1条
Call4Papers
3+阅读 · 2018年10月11日
人工智能 | 国际会议截稿信息9条
Call4Papers
4+阅读 · 2018年3月13日
计算机类 | 国际会议信息7条
Call4Papers
3+阅读 · 2017年11月17日
Arxiv
0+阅读 · 2021年10月15日
VIP会员
相关资讯
CCF推荐 | 国际会议信息6条
Call4Papers
9+阅读 · 2019年8月13日
已删除
AI掘金志
7+阅读 · 2019年7月8日
计算机 | 国际会议信息5条
Call4Papers
3+阅读 · 2019年7月3日
计算机 | 入门级EI会议ICVRIS 2019诚邀稿件
Call4Papers
10+阅读 · 2019年6月24日
IEEE | DSC 2019诚邀稿件 (EI检索)
Call4Papers
10+阅读 · 2019年2月25日
人工智能 | SCI期刊专刊信息3条
Call4Papers
5+阅读 · 2019年1月10日
计算机 | CCF推荐会议信息10条
Call4Papers
5+阅读 · 2018年10月18日
CCF B类期刊IPM专刊截稿信息1条
Call4Papers
3+阅读 · 2018年10月11日
人工智能 | 国际会议截稿信息9条
Call4Papers
4+阅读 · 2018年3月13日
计算机类 | 国际会议信息7条
Call4Papers
3+阅读 · 2017年11月17日
Top
微信扫码咨询专知VIP会员