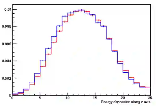
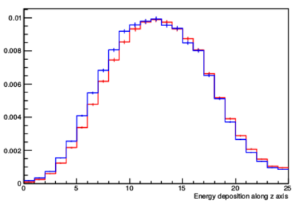
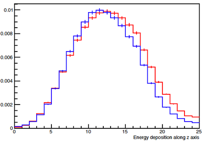
With the increasing number of Machine and Deep Learning applications in High Energy Physics, easy access to dedicated infrastructure represents a requirement for fast and efficient R&D. This work explores different types of cloud services to train a Generative Adversarial Network (GAN) in a parallel environment, using Tensorflow data parallel strategy. More specifically, we parallelize the training process on multiple GPUs and Google Tensor Processing Units (TPU) and we compare two algorithms: the TensorFlow built-in logic and a custom loop, optimised to have higher control of the elements assigned to each GPU worker or TPU core. The quality of the generated data is compared to Monte Carlo simulation. Linear speed-up of the training process is obtained, while retaining most of the performance in terms of physics results. Additionally, we benchmark the aforementioned approaches, at scale, over multiple GPU nodes, deploying the training process on different public cloud providers, seeking for overall efficiency and cost-effectiveness. The combination of data science, cloud deployment options and associated economics allows to burst out heterogeneously, exploring the full potential of cloud-based services.


翻译:随着高能物理中机器和深层学习应用数量的增加,对专门基础设施的方便访问是快速高效研发的一项要求。 这项工作探索了不同类型的云服务,利用Tensorflow数据平行战略,在一个平行的环境中培训创生反对流网络(GAN),更具体地说,我们将多个GPU和Google Tensor处理器(TPU)的培训过程平行进行,我们比较了两种算法:TensorFlow内在逻辑和定制循环,优化了对分配给每个GPU工人或TPU核心的元素的控制。生成的数据的质量与Monte Carlo模拟相比较。实现了培训过程的线性加速,同时保留了物理结果方面的大多数绩效。此外,我们从规模上将上述方法作为基准,超过多个GPU节点,将培训过程部署到不同的公共云提供商,以寻求总体效率和成本效益。数据科学、云部署选项和相关经济学的结合,使得数据科学、云库服务的全部潜力得以破碎。

0
下载
关闭预览

相关内容

Processing 是一门开源编程语言和与之配套的集成开发环境(IDE)的名称。Processing 在电子艺术和视觉设计社区被用来教授编程基础,并运用于大量的新媒体和互动艺术作品中。
Keras François Chollet 《Deep Learning with Python 》, 386页pdf
专知会员服务
160+阅读 · 2019年10月12日
开源书:PyTorch深度学习起步
专知会员服务
51+阅读 · 2019年10月11日
机器学习入门的经验与建议
专知会员服务
94+阅读 · 2019年10月10日
【SIGGRAPH2019】TensorFlow 2.0深度学习计算机图形学应用
专知会员服务
41+阅读 · 2019年10月9日
生成对抗网络GANs学习路线
专知
36+阅读 · 2019年6月10日
Unsupervised Learning via Meta-Learning
CreateAMind
43+阅读 · 2019年1月3日
A Technical Overview of AI & ML in 2018 & Trends for 2019
待字闺中
18+阅读 · 2018年12月24日
计算机类 | 11月截稿会议信息9条
Call4Papers
6+阅读 · 2018年10月14日
gan生成图像at 1024² 的 代码 论文
CreateAMind
4+阅读 · 2017年10月31日
Adversarial Variational Bayes: Unifying VAE and GAN 代码
CreateAMind
7+阅读 · 2017年10月4日
Auto-Encoding GAN
CreateAMind
7+阅读 · 2017年8月4日
VIP会员
相关VIP内容
Keras François Chollet 《Deep Learning with Python 》, 386页pdf
专知会员服务
160+阅读 · 2019年10月12日
开源书:PyTorch深度学习起步
专知会员服务
51+阅读 · 2019年10月11日
机器学习入门的经验与建议
专知会员服务
94+阅读 · 2019年10月10日
【SIGGRAPH2019】TensorFlow 2.0深度学习计算机图形学应用
专知会员服务
41+阅读 · 2019年10月9日
相关资讯
生成对抗网络GANs学习路线
专知
36+阅读 · 2019年6月10日
Unsupervised Learning via Meta-Learning
CreateAMind
43+阅读 · 2019年1月3日
A Technical Overview of AI & ML in 2018 & Trends for 2019
待字闺中
18+阅读 · 2018年12月24日
计算机类 | 11月截稿会议信息9条
Call4Papers
6+阅读 · 2018年10月14日
gan生成图像at 1024² 的 代码 论文
CreateAMind
4+阅读 · 2017年10月31日
Adversarial Variational Bayes: Unifying VAE and GAN 代码
CreateAMind
7+阅读 · 2017年10月4日
Auto-Encoding GAN
CreateAMind
7+阅读 · 2017年8月4日
Top
微信扫码咨询专知VIP会员