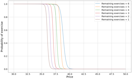
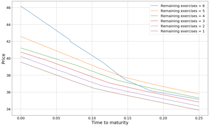
A new method for stochastic control based on neural networks and using randomisation of discrete random variables is proposed and applied to optimal stopping time problems. The method models directly the policy and does not need the derivation of a dynamic programming principle nor a backward stochastic differential equation. Unlike continuous optimization where automatic differentiation is used directly, we propose a likelihood ratio method for gradient computation. Numerical tests are done on the pricing of American and swing options. The proposed algorithm succeeds in pricing high dimensional American and swing options in a reasonable computation time, which is not possible with classical algorithms.


翻译:基于神经网络和使用离散随机变数随机随机化的新型随机控制方法被提出来,并应用于最佳停止时间问题。该方法模型直接提出政策模式,不需要动态编程原则的衍生,也不需要后向随机差分方程式。与直接使用自动区分法的连续优化不同,我们提出了梯度计算的可能性比率方法。对美国和摇摆选项的定价进行了数值测试。提议的算法成功地在合理的计算时间内为高维美国人和摇摆选项定价,而传统的算法是不可能的。

0
下载
关闭预览

相关内容

Fariz Darari简明《博弈论Game Theory》介绍,35页ppt
专知会员服务
112+阅读 · 2020年5月15日
FlowQA: Grasping Flow in History for Conversational Machine Comprehension
专知会员服务
34+阅读 · 2019年10月18日
强化学习最新教程,17页pdf
专知会员服务
182+阅读 · 2019年10月11日
LibRec 精选:AutoML for Contextual Bandits
LibRec智能推荐
7+阅读 · 2019年9月19日
强化学习三篇论文 避免遗忘等
CreateAMind
20+阅读 · 2019年5月24日
A Technical Overview of AI & ML in 2018 & Trends for 2019
待字闺中
18+阅读 · 2018年12月24日
Jointly Improving Summarization and Sentiment Classification
黑龙江大学自然语言处理实验室
3+阅读 · 2018年6月12日
Hierarchical Imitation - Reinforcement Learning
CreateAMind
19+阅读 · 2018年5月25日
随波逐流:Similarity-Adaptive and Discrete Optimization
我爱读PAMI
5+阅读 · 2018年2月6日
【论文】变分推断(Variational inference)的总结
机器学习研究会
39+阅读 · 2017年11月16日
【学习】Hierarchical Softmax
机器学习研究会
4+阅读 · 2017年8月6日
Arxiv
0+阅读 · 2021年3月8日
VIP会员
相关资讯
LibRec 精选:AutoML for Contextual Bandits
LibRec智能推荐
7+阅读 · 2019年9月19日
强化学习三篇论文 避免遗忘等
CreateAMind
20+阅读 · 2019年5月24日
A Technical Overview of AI & ML in 2018 & Trends for 2019
待字闺中
18+阅读 · 2018年12月24日
Jointly Improving Summarization and Sentiment Classification
黑龙江大学自然语言处理实验室
3+阅读 · 2018年6月12日
Hierarchical Imitation - Reinforcement Learning
CreateAMind
19+阅读 · 2018年5月25日
随波逐流:Similarity-Adaptive and Discrete Optimization
我爱读PAMI
5+阅读 · 2018年2月6日
【论文】变分推断(Variational inference)的总结
机器学习研究会
39+阅读 · 2017年11月16日
【学习】Hierarchical Softmax
机器学习研究会
4+阅读 · 2017年8月6日
Top
微信扫码咨询专知VIP会员