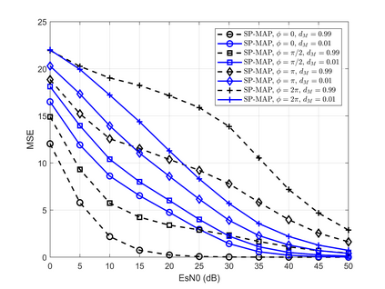
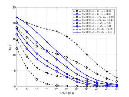
Analog over-the-air computation (OAC) is an efficient solution to a class of uplink data aggregation tasks over a multiple-access channel (MAC), wherein the receiver, dubbed the fusion center, aims to reconstruct a function of the data distributed at edge devices rather than the individual data themselves. Existing OAC relies exclusively on the maximum likelihood (ML) estimation at the fusion center to recover the arithmetic sum of the transmitted signals from different devices. ML estimation, however, is much susceptible to noise. In particular, in the misaligned OAC where there are channel misalignments among transmitted signals, ML estimation suffers from severe error propagation and noise enhancement. To address these challenges, this paper puts forth a Bayesian approach for OAC by letting each edge device transmit two pieces of prior information to the fusion center. Three OAC systems are studied: the aligned OAC with perfectly-aligned signals; the synchronous OAC with misaligned channel gains among the received signals; and the asynchronous OAC with both channel-gain and time misalignments. Using the prior information, we devise linear minimum mean squared error (LMMSE) estimators and a sum-product maximum a posteriori (SP-MAP) estimator for the three OAC systems. Numerical results verify that, 1) For the aligned and synchronous OAC, our LMMSE estimator significantly outperforms the ML estimator. In the low signal-to-noise ratio (SNR) regime, the LMMSE estimator reduces the mean squared error (MSE) by at least 6 dB; in the high SNR regime, the LMMSE estimator lowers the error floor on the MSE by 86.4%; 2) For the asynchronous OAC, our LMMSE and SP-MAP estimators are on an equal footing in terms of the MSE performance, and are significantly better than the ML estimator.


翻译:空中模拟( OAC ) 是一种高效的解决方案, 它可以解决多进入频道( MAC) 上行数据汇总任务类别, 接收者称聚变中心, 目的是重建在边缘设备而不是单个数据本身上分布的数据的函数。 现有的 OAC 完全依靠聚变中心的最大可能性估计值( ML) 来恢复从不同设备中传输的信号的计算总和。 但是, ML 估计极易受到噪音的影响。 特别是, 在多进入频道( MAC ) 上出现频道错位, ML 估计有严重错误的传播和噪音增强。 为了应对这些挑战, 本文通过让每个边缘设备向聚变中心传输两个先前的信息, 为 OAAC 提供了一种 Byees 方法。 三个 OAC 系统: 与 OAC 的 OAC 和 SP 信号的计算总和; 收到信号之间频道和时间错乱的 OAC 的不牢凑的 OAC 。 利用先前的信息, 我们为 O- SEM 最短的 O- mal mest IM 的 mest 校验算结果 。

0
下载
关闭预览

相关内容

专知会员服务
22+阅读 · 2021年9月23日
专知会员服务
16+阅读 · 2021年5月21日
知识图谱推理,50页ppt,Salesforce首席科学家Richard Socher
专知会员服务
111+阅读 · 2020年6月10日
【经典书】贝叶斯编程,378页pdf,Bayesian Programming
专知会员服务
251+阅读 · 2020年5月18日
MIT新书《强化学习与最优控制》
专知会员服务
282+阅读 · 2019年10月9日
机器学习在材料科学中的应用综述,21页pdf
专知会员服务
50+阅读 · 2019年9月24日
令人心动的offer之微软苏州篇
微软招聘
4+阅读 · 2020年11月27日
计算机 | 国际会议信息5条
Call4Papers
3+阅读 · 2019年7月3日
CCF推荐 | 国际会议信息8条
Call4Papers
9+阅读 · 2019年5月23日
Hierarchically Structured Meta-learning
CreateAMind
27+阅读 · 2019年5月22日
Call for Participation: Shared Tasks in NLPCC 2019
中国计算机学会
5+阅读 · 2019年3月22日
逆强化学习-学习人先验的动机
CreateAMind
16+阅读 · 2019年1月18日
Ray RLlib: Scalable 降龙十八掌
CreateAMind
9+阅读 · 2018年12月28日
A Technical Overview of AI & ML in 2018 & Trends for 2019
待字闺中
18+阅读 · 2018年12月24日
【论文】变分推断(Variational inference)的总结
机器学习研究会
39+阅读 · 2017年11月16日
Arxiv
0+阅读 · 2021年10月29日
Arxiv
0+阅读 · 2021年10月27日
VIP会员
相关资讯
令人心动的offer之微软苏州篇
微软招聘
4+阅读 · 2020年11月27日
计算机 | 国际会议信息5条
Call4Papers
3+阅读 · 2019年7月3日
CCF推荐 | 国际会议信息8条
Call4Papers
9+阅读 · 2019年5月23日
Hierarchically Structured Meta-learning
CreateAMind
27+阅读 · 2019年5月22日
Call for Participation: Shared Tasks in NLPCC 2019
中国计算机学会
5+阅读 · 2019年3月22日
逆强化学习-学习人先验的动机
CreateAMind
16+阅读 · 2019年1月18日
Ray RLlib: Scalable 降龙十八掌
CreateAMind
9+阅读 · 2018年12月28日
A Technical Overview of AI & ML in 2018 & Trends for 2019
待字闺中
18+阅读 · 2018年12月24日
【论文】变分推断(Variational inference)的总结
机器学习研究会
39+阅读 · 2017年11月16日
Top
微信扫码咨询专知VIP会员