Github项目推荐 | 全景分割相关资源列表

2019 年 5 月 13 日 AI研习社

awesome-panoptic-segmentation

by Angzz

本项目是具有挑战性的全景分割的集合,包括论文、代码和基准测试结果等。

Github项目地址:

https://github.com/Angzz/awesome-panoptic-segmentation

用一句话概括:全景分割提出了以统一和通用的方式解决语义分割(* Stuff *)和实例分割(* Thing *)的方法。

数据集

通常地,包含语义和实例注释的数据集可用于解决具有挑战性的全景任务。

  • Cityscapes

  • Mapillary Vistas

  • ADE20K

  • COCO-Panoptic

  • BDD100K (暂时不发布实例注释)

基准测试结果

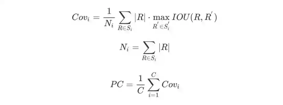
  • PQ 全景分割中描述的标准指标。

  • PC DeeperLab中描述的标准指标。

  • COCO Benchmark

  • Cityscapes Benchmark

  • Mapillary Benchmark


论文

CVPR2019

  • Panoptic Segmentation: Alexander Kirillov, Kaiming He, Ross Girshick, Carsten Rother, Piotr Dollár.
    "Panoptic Segmentation." CVPR (2019). [
    paper]

  • Panoptic FPN: Alexander Kirillov, Ross Girshick, Kaiming He, Piotr Dollár.
    "Panoptic Feature Pyramid Networks." CVPR (2019 oral). [
    paper]

  • AUNet: Yanwei Li, Xinze Chen, Zheng Zhu, Lingxi Xie, Guan Huang, Dalong Du, Xingang Wang.
    "Attention-guided Unified Network for Panoptic Segmentation." CVPR (2019). [
    paper]

  • UPSNet: Yuwen Xiong, Renjie Liao, Hengshuang Zhao, Rui Hu, Min Bai, Ersin Yumer, Raquel Urtasun.
    "UPSNet: A Unified Panoptic Segmentation Network." CVPR (2019). [
    paper] [code]

  • DeeperLab: Tien-Ju Yang, Maxwell D. Collins, Yukun Zhu, Jyh-Jing Hwang, Ting Liu, Xiao Zhang, Vivienne Sze, George Papandreou, Liang-Chieh Chen.
    "DeeperLab: Single-Shot Image Parser." CVPR (2019). [
    paper] [project] [code]

  • TASCNet: Jie Li, Allan Raventos, Arjun Bhargava, Takaaki Tagawa, Adrien Gaidon.
    "Learning to Fuse Things and Stuff." CVPR (2019). [
    paper]

  • OANet: Huanyu Liu, Chao Peng, Changqian Yu, Jingbo Wang, Xu Liu, Gang Yu, Wei Jiang.
    "An End-to-End Network for Panoptic Segmentation." CVPR (2019). [
    paper]

  • Eirikur Agustsson, Jasper R. R. Uijlings, Vittorio Ferrari .
    "Interactive Full Image Segmentation by Considering All Regions Jointly." CVPR (2019). [
    paper]

ECCV2018

  • Qizhu Li, Anurag Arnab, Philip H.S. Torr.
    "Weakly- and Semi-Supervised Panoptic Segmentation." ECCV (2018). [
    paper] [code]

ArXiv

  • Seamless: Lorenzo Porzi, Samuel Rota Bulo, Aleksander Colovic, Peter Kontschieder.
    "Seamless Scene Segmentation." arXiv (2019). [
    paper]

  • Daan de Geus, Panagiotis Meletis, Gijs Dubbelman.
    "Panoptic Segmentation with a Joint Semantic and Instance Segmentation Network." arXiv (2018). [
    paper]

  • Daan de Geus, Panagiotis Meletis, Gijs Dubbelman.
    "Single Network Panoptic Segmentation for Street Scene Understanding." arXiv (2019). [
    paper]

  • David Owen, Ping-Lin Chang.
    "Detecting Reflections by Combining Semantic and Instance Segmentation." arXiv (2019). [
    paper]

  • Gaku Narita, Takashi Seno, Tomoya Ishikawa, Yohsuke Kaji.
    "PanopticFusion: Online Volumetric Semantic Mapping at the Level of Stuff and Things." arXiv (2019). [
    paper]

博客

  • Face++ Detection Team: https://zhuanlan.zhihu.com/p/59141570

扫码参与话题 #晒晒我的IJCAI# 

有机会获得AI研习社独家专属礼物

  

扫码查看话题

【一个可以自己进行训练的中文聊天机器人】

  

扫码参加【深度理解强化学习】课程

新学员扫码更可获得解锁卡!

左右滑动,查看更多今日话题讨论

点击 阅读原文,查看更多内容
登录查看更多
9

相关内容

专知会员服务
61+阅读 · 2020年3月19日
专知会员服务
110+阅读 · 2020年3月12日
抢鲜看!13篇CVPR2020论文链接/开源代码/解读
专知会员服务
50+阅读 · 2020年2月26日
近期必读的7篇 CVPR 2019【视觉问答】相关论文和代码
专知会员服务
37+阅读 · 2020年1月10日
【强化学习资源集合】Awesome Reinforcement Learning
专知会员服务
98+阅读 · 2019年12月23日
【深度学习视频分析/多模态学习资源大列表】
专知会员服务
92+阅读 · 2019年10月16日
机器学习相关资源(框架、库、软件)大列表
专知会员服务
40+阅读 · 2019年10月9日
Github项目推荐 | 知识图谱文献集合
AI研习社
26+阅读 · 2019年4月12日
Github项目推荐 | 图神经网络(GNN)相关资源大列表
全景分割这一年,端到端之路
机器之心
14+阅读 · 2018年12月24日
Revisiting CycleGAN for semi-supervised segmentation
Arxiv
3+阅读 · 2019年8月30日
UPSNet: A Unified Panoptic Segmentation Network
Arxiv
4+阅读 · 2019年1月12日
Panoptic Feature Pyramid Networks
Arxiv
3+阅读 · 2019年1月8日
Arxiv
19+阅读 · 2018年3月28日
VIP会员
相关VIP内容
专知会员服务
61+阅读 · 2020年3月19日
专知会员服务
110+阅读 · 2020年3月12日
抢鲜看!13篇CVPR2020论文链接/开源代码/解读
专知会员服务
50+阅读 · 2020年2月26日
近期必读的7篇 CVPR 2019【视觉问答】相关论文和代码
专知会员服务
37+阅读 · 2020年1月10日
【强化学习资源集合】Awesome Reinforcement Learning
专知会员服务
98+阅读 · 2019年12月23日
【深度学习视频分析/多模态学习资源大列表】
专知会员服务
92+阅读 · 2019年10月16日
机器学习相关资源(框架、库、软件)大列表
专知会员服务
40+阅读 · 2019年10月9日
Top
微信扫码咨询专知VIP会员