x³+y³+z³=3第三组整数解是多少,这个58年难题被40万台电脑算出来了

2021 年 3 月 14 日 量子位
晓查 发自 凹非寺 
量子位 报道 | 公众号 QbitAI

你在看到标题的时候,一定会想:

这个问题我知道答案:x、y、z都等于1

如果再多算几步,你还能发现4、4、-5也是一组整数解。

注意审题,以上只是方程x³+y³+z³=3的前两组整数解,第3组整数解是多少,你知道吗?

1953年,数学家Louis Mordell提出一个疑问:这个第3组整数解,它存在吗?

最近,这组解终于被找到了。

警告一下,千万别尝试用穷举法编程!

因为这3个数远远超出了长整型的范围,但数学家还是动用了40万台电脑把答案找出来了。

另外,这两位数学家还把程序代码开源了。

当然,他们并非暴力搜索。这时候数学的作用就来了:它能为你提供算法,告诉你搜索范围,大大缩小搜索空间。

一个正整数能否表示成三个整数的立方之和(x³+y³+z³=k),关于它的每次发现都能引起不小的轰动。

这个看似没技术含量的问题,其实困扰了数学界很久。

三个立方数之和

1992年,数学家Roger Heath-Brown提出了一个猜想:对于一个正整数k,如果它除以9的余数不是4或5(k不等于9n±4),那么k就可以表示成三个整数的立方之和。

而且每个k都有无穷多组整数解。

对于k小于100的情况,2019年之前只有k=33、42没有找到整数解。

2019年3月,33告破:

33 = 8866128975287528³ + (-8778405442862239)³ + (-2736111468807040)³

2019年9月,麻省理工的Andrew Sutherland和布里斯托大学Andrew Booker的两位安德鲁找到了42的答案:

42 = (-80538738812075974)³ + 80435758145817515³ + 12602123297335631³

当时,菲尔兹奖得主、剑桥大学教授Timothy Gowers还转推“祝贺”。

虽然100以内的数皆告破,但几十年间却没有关于k=3的新解,许多人开始相信这个所谓的新解根本不存在,Heath-Brown猜想也是错的。

但是,在找到42的答案之后,这两位安德鲁很快就出乎意料找到了k=3的第三组整数解:

3 = 569936821221962380720³ + (-569936821113563493509)³ + (-472715493453327032)³ 

数学化简

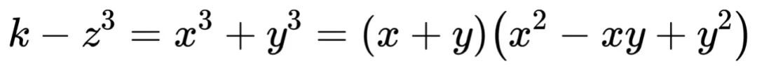
为了找到42和3的解决方案,两位数学家从现有算法开始,将立方和公式转化为他们认为更容易求解的形式:

他们将x+y看做一个参数d,进一步修改了算法,然后将两边都除以d求余数(数学中记作mod d)

这样问题就变成k除以d的余数是z³。

这样,只需寻找d和z的值,即可保证找到对应于k=3的x、y、z。

即便如此,搜索的数字空间也是无限大的。因此,他们通过使用数论中的“筛法”,极大地减少了d范围,将xyz的搜索范围降到10的15次方以内。

拆解任务

两位安德鲁还开发了将搜索算法拆分成几十万个并行处理流的方法。

如果仅在一台计算机上运行该算法,则要花几百年的时间才能找到答案。而通过将工作分为几十万个较小的任务,就可以在个人电脑上运行,进一步加快搜索速度。

在2019年9月,研究人员通过Charity Engine实施了这项计划,借用普通用户的家用电脑资源,共同解决难题。

当时,全球加入Charity Engine分布式计算项目的计算机超过40万台。两位安德鲁将他们的算法部署在平台上。

(注:Charity Engine项目还帮助科学家解决了一个蛋白质折叠问题,发了一篇Science。)

最终,这项工作被分为大约40万个任务,每个任务需要一台计算机花费大约3个小时才能完成。

很快,全球各地的电脑返回的k=42的第一个整数解。

而仅仅两周后,他们已经发现,k=3的第3个整数解就找到了,他们还把这组解印在了T恤上

至此,Mordell在68年前的问题终于得到解答。

那么问题又来了x³+y³+z³=3的第4组解是多少?

可能有生之年很难见到了,因为求下一组解需要的计算量是现在的1000万倍,需要4万亿台电脑才能算出,而且可能还不够。

 论文作者之一Andrew Sutherland

Sutherland说:“我不知道我们是否会知道第四个解,但是我确信它存在。”

参考链接:
[1] 
https://phys.org/news/2021-03-sum-cubes-puzzle-solution.html
[2] https://www.pnas.org/content/118/11/e2022377118
[3] https://github.com/AndrewVSutherland/SumsOfThreeCubes

—  —

福利来了|AI算力免费领

500元 卡时GPU资源「限时」免费领!并行®AI云面向AI深度学习和高性能计算,提供A100、V100、T4等丰富的云算力资源;预置 TensorFlow、PyTorch等环境,开箱即用;三线专家团队7*24小时在线提供多元化服务,助开发者提升科研效率,降低科研成本。欢迎扫码免费体验~:

一键三连「分享」、「点赞」和「在看」

科技前沿进展日日相见~



登录查看更多
0

相关内容

数学家是以研究或应用数学为职业的人。著名数学家有阿基米德、欧拉、高斯、伽罗华、黎曼、格罗腾迪克等。
【干货书】从初等问题看数学的本质,400页pdf
专知会员服务
65+阅读 · 2021年5月28日
专知会员服务
48+阅读 · 2021年5月21日
2020-2021中国人工智能计算力发展评估报告, 36页pdf
专知会员服务
46+阅读 · 2021年3月20日
【经典书】线性代数,352页pdf教你应该这样学
专知会员服务
107+阅读 · 2020年12月20日
专知会员服务
25+阅读 · 2020年9月14日
机器学习速查手册,135页pdf
专知会员服务
345+阅读 · 2020年3月15日
为什么说中国科研很悲哀?
全球创新论坛
3+阅读 · 2019年5月6日
这个问题真不会,求大神帮忙解答
Python程序员
7+阅读 · 2019年4月12日
自然语言处理太难?按这个方式走,就是砍瓜切菜!
机器学习算法与Python学习
5+阅读 · 2018年8月10日
量子计算
人工智能学家
7+阅读 · 2018年4月6日
漫画: 什么是人工智能?
大数据技术
4+阅读 · 2018年1月19日
机器学习应该准备哪些数学预备知识?
AI100
4+阅读 · 2017年11月26日
机器学习(18)之支持向量机原理(三)线性不可分支持向量机与核函数
机器学习算法与Python学习
3+阅读 · 2017年9月23日
Arxiv
0+阅读 · 2021年10月5日
Arxiv
9+阅读 · 2016年10月27日
Arxiv
3+阅读 · 2012年11月20日
VIP会员
相关VIP内容
【干货书】从初等问题看数学的本质,400页pdf
专知会员服务
65+阅读 · 2021年5月28日
专知会员服务
48+阅读 · 2021年5月21日
2020-2021中国人工智能计算力发展评估报告, 36页pdf
专知会员服务
46+阅读 · 2021年3月20日
【经典书】线性代数,352页pdf教你应该这样学
专知会员服务
107+阅读 · 2020年12月20日
专知会员服务
25+阅读 · 2020年9月14日
机器学习速查手册,135页pdf
专知会员服务
345+阅读 · 2020年3月15日
相关资讯
为什么说中国科研很悲哀?
全球创新论坛
3+阅读 · 2019年5月6日
这个问题真不会,求大神帮忙解答
Python程序员
7+阅读 · 2019年4月12日
自然语言处理太难?按这个方式走,就是砍瓜切菜!
机器学习算法与Python学习
5+阅读 · 2018年8月10日
量子计算
人工智能学家
7+阅读 · 2018年4月6日
漫画: 什么是人工智能?
大数据技术
4+阅读 · 2018年1月19日
机器学习应该准备哪些数学预备知识?
AI100
4+阅读 · 2017年11月26日
机器学习(18)之支持向量机原理(三)线性不可分支持向量机与核函数
机器学习算法与Python学习
3+阅读 · 2017年9月23日
Top
微信扫码咨询专知VIP会员