机器学习应该准备哪些数学预备知识?

2017 年 11 月 26 日 AI100 Jacky Yang

作者 | Jacky Yang

本文授权转自Jacky Yang的知乎专栏



最近在给几位程序员朋友培训机器(深度)学习,而且10月份刚把数学基础部分培训完,看到这个问题,结合培训的感受,趁热写一点小小的心得体会。


看了一下题主的问题,的确,现在很多想从事于机器学习的朋友都存在类似的困惑,主要是很多相关的书看不懂,尤其是数学部分,包括题主提到的PRML,还有最近的深度学习圣经。不得不说,这些书籍其实都很经典,但经典的书未必都适合每个人,毕竟这些著作其实是有一些门槛的,所以如何把这个门槛降低,或者换一个说法,如何把其中的数学基础用通俗易懂的语言解读出来,也是很有意义的一件事。我在培训当中也是深有体会。


以下我假定读者跟题主情况类似:希望从事于机器学习,但数学多年不用,在阅读算法书籍的过程中,数学部分理解起来有难度。


同时也欢迎业内朋友提供宝贵建议和意见。


对于绝大多数从事于机器学习的人来说,学数学的目的,主要是便于(深入)理解算法的思路。那么问题来了,我们到底要把数学学到什么程度?


我这里举几个例子:



1. 线性最小二乘法


大家可以随意搜索一下,相关的文章很多。长篇大论的不少,刚入门的朋友一看到那些公式可能就看不下去了。比如下面的解释:



毫无疑问,这样的解释是专业的,严谨的。事实上,这是深度学习圣经里的解释。我并没有诋毁大师的意思,只是觉得用一个具体的例子来说明,可能会让读者更加容易理解:


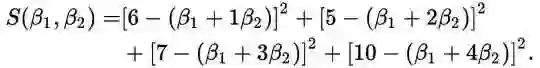
小明是跑运输的,跑1公里需要6块,跑2公里需要5块(那段时间刚好油价跌了),跑3公里需要7块,跑4公里需要10块,请问跑5公里需要多少块?

如果我们有初中数学基础,应该会自然而然地想到用线性方程组来做,对吧。



这里假定x是公里数,y是运输成本(β1和β2是要求的系数)。我们把上面的一组数据代入得到这么几个方程:



如果存在这样的β1和β2,让所有的数据(x,y)=(1,6),(2,5),(3,7),(4,10)都能满足的话,那么解答就很简单了,β1+5β2就是5公里的成本,对吧。


但遗憾的是,这样的β1和β2是不存在的,上面的方程组很容易,你可以把前面两个解出来得到一组β1和β2,后面两个也解出来同样得到一组β1和β2。这两组β1和β2是不一样的。


形象地说,就是你找不到一条直线,穿过所有的点,因为他们不在一条直线上。如下图:



可是现实生活中,我们就希望能找到一条直线,虽然不能满足所有条件,但能近似地表示这个趋势,或者说,能近似地知道5公里的运输成本,这也是有意义的。


现实生活当中,有很多这样的例子,想起以前在某公司上班的时候,CEO说我们研发部做事有个问题:一个研发任务,要求三个月做完,因为周期太短,完成不了,就干脆不做,这显然是不对的,要尽全力,哪怕三个月完成了80%,或者最终4个月完成,总比不作为的好。


其实最小二乘法也是这样,要尽全力让这条直线最接近这些点,那么问题来了,怎么才叫做最接近呢?直觉告诉我们,这条直线在所有数据点中间穿过,让这些点到这条直线的误差之和越小越好。这里我们用方差来算更客观。也就是说,把每个点到直线的误差平方加起来:



(如果上面的四个方程都能满足,那么S的值显然为0,这是最完美的,但如果做不到完美,我们就让这个S越小越好)


接下来的问题就是,如何让这个S变得最小。这里有一个概念,就是求偏导数。这里我想提一下,在培训的过程中,我发现机器学习的数学基础课程当中,微积分是大家印象最深刻的,而且也最容易理解:比如导数就是求变化率,而偏导数则是当变量超过一个的时候,对其中一个变量求变化率。如果这个概念也忘了,可以参考我在深度学习回答里那个王小二卖猪的例子。这里就不细讲了,可参考:


Jacky Yang:深度学习如何入门?

https://www.zhihu.com/question/26006703/answer/129209540


要让S取得最小值(或最大值,但显然这个函数没有最大值,自己琢磨一下),那么S对于β1和β2分别求偏导结果为0,用一个直观的图来表示:



我们看到这条曲线,前半部分是呈下降的趋势,也就是变化率(导数)为负的,后半部分呈上升的趋势,也就是变化率(导数)为正,那么分界点的导数为0,也就是取得最小值的地方。这是一个变量的情况,对于多个变量的情况,要让S取得最小值,那最好是对β1和β2分别求导(对β1求导的时候,把β2当常量所以叫求偏导),值为0:



看到这个我们就熟悉了,两个变量,刚好有两个方程式,初中学过,那么很容易得出:



其实也就意味着



这个函数也就是我们要的直线,这条直线虽然不能把那些点串起来,但它能最大程度上接近这些点。也就是说5公里的时候,成本为3.5+1.4x5=10.5块,虽然不完美,但是很接近实际情况。


在培训的过程中,一直在思考一个问题,也就是上面提到的那个,机器学习到底要把数学掌握到什么程度?首先我们得搞清楚我们到底要拿机器学习干什么,机器学习本来就是要通过分析现实生活中的数据得出其中的规律,以便为将来各方面提供指导意义。既然是这样,为何不直接从现实中来到现实中去,直接用数据和案例来讲解数学呢。我们显然不是为了学数学才学的机器学习,那就没必要堆砌哪些晦涩的公式了。除非我们要做纯理论研究。


当然,数学的一些理念,思想或者精髓是需要掌握的,其实很多时候,我们都是在做不到完美的情况下,求那个最接近完美的解,别忘了机器学习很多情况下其实是在做拟合,所以说最小二乘法对于机器学习非常重要,这也是我把它当做第一个例子的原因。其实深度学习里的反向传播不也是一样么?刚开始不完美,但我要想办法让它越来越接近完美,预测值与实际值差距越来越小。所谓训练,其实也就是不断追求完美的一个过程。



2. 拉格朗日乘子法


听到拉格朗日乘子法这个名字的时候,很多人的第一反应是:这玩意儿是不是很高深啊,先入为主地有了畏难的情绪。但我把它讲完以后,大部分人表示并不难,而且现实生活中,我们经常潜移默化会用到拉格朗日乘子法。甚至可以说,不用拉格朗日乘子法的人生都是不完整的人生。


我们来看一下定义:



虽然这个定义应该说是很简洁明了的,但对于大部分人来说,依然还是有点懵。不太清楚为什么要这么做。拉格朗日到底要搞什么飞机?


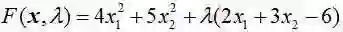
我们还是举个例子:某工厂在生产过程中用到两类原材料,其中一种单价为2万/公斤,另一种为3万/公斤,而工厂每个月预算刚好是6万。就像下面的公式:



经过分析,工厂的产量f跟两种原材料(x1,x2)具有如下关系(我们暂且不管它是如何来的,而且假定产品可以按任意比例生产):



请问该工厂每个月最少能生产多少?


其实现实生活中我们会经常遇到类似的问题:在某个或某几个限制条件存在的情况下,求另一个函数的极值(极大或极小值)。就好比你要在北京买房,肯定不是想买什么房子就买什么房子,想买多大就买多大,而是跟你手头的金额,是否有北京户口,纳税有没有满五年,家庭开支/负担重不重,工作单位稳不稳定都有关系。


回到工厂的例子,其实就是求函数f的极值。上面我们提到,极值点可以通过求偏导(变化率为0的地方为极值点)来实现,函数f(x1,x2)对x1,x2分别求偏导,那么得出的结论是:x1,x2都为0的时候最小,单独看这个函数,这个结论对的,很显然这个函数的最小值是0(任何数的平方都是大于或等于0),而且只有x1和x2同时为0的时候,取得最小值。但问题是它不满足上面的限制条件。


怎么办呢?拉格朗日想到了一个很妙的办法,既然h(x1,x2)为0,那函数f(x1,x2)是否可以加上这个h(x1,x2)再乘以一个系数呢?任何数乘以0当然是0,f(x1,x2)加上0当然保持不变。所以其实就可以等同于求下面这个函数的极值:



我们对x1,x2以及λ分别求偏导(极值点就是偏导数均为0的点):



解上面的方程组得到x1=1.071,x2=1.286 然后代入f(x1,x2)即可。


这里为什么要多加一个乘子λ呢,试想一下,如果λ是个固定的数(比如-1),我们也能通过上面的方程式1,2求解得到x1,x2,但是我们就得不到方程式3,其实也就是没有约束条件了。所以看到没有,拉格朗日很聪明,他希望我们在求偏导(极值点)以后,还能保留原有的约束条件。我们上面提到,单独对函数求极值不能保证满足约束条件,拉格朗日这么一搞,就能把约束条件带进来,跟求其他变量的偏导结果放在一起,既能满足约束条件,又能保证是约束条件下的极值。借用金星的一句话:完美!


当然这是一个约束条件的情况,如果有多个约束条件呢?那就要用多个不同的λ(想想为什么),正如最上面的那个定义那样,把这些加起来(这些0加起来也是0)。


机器学习里的数学,我感觉只需要掌握里面这个核心思想即可,就像拉格朗日乘子法,求条件极值---》转化为求(函数+条件)的极值,每一步都很妙。其实我想说的是,体会这种妙处以后,再看SVM的算法,会感觉舒服很多,数学主要是为了让人更好地理解算法,并不是为了数学而学数学。人生苦短,还成天被晦涩的书籍所困扰,“感觉身体好像被掏空”,这样真的好么?

 


3.朴素贝叶斯


之所以把这个拎出来,是因为我一直想吐槽一下那个公式:



我想吐槽,是因为几乎没有一篇文章解释这个公式是怎么来的。很多文章一上来就是这个公式。对于已经对条件概率没多少概念的朋友来说,脑子里其实一直有疑问。其实要解释并不难,把P(B)放到左边,除法改成乘法就容易理解多了。


P(A|B) x P(B) = P(B|A) x P(A)


也就是:B发生的概率 x B已经发生的情况下A发生的概率 = A发生的概率 x A已经发生的情况下B发生的概率。


如果这个不好理解,我们还是举个例子:



如上图所示,口袋里有5个球(2个蓝色,3个红色),每次取一个,可能的结果如下图所示:



第一次取出来是蓝色球的概率是2/5,我们把这个概率叫P(A),然后在A发生的情况下,再取出一个红球的概率是多少?显然是3/4,因为只剩下3个红球一个蓝球,这个3/4就是P(B|A),也就是在A发生的情况下,B发生的概率,这叫条件概率。我们把他们相乘得到:


(2/5) x (3/4)=3/10


接着我们换另一个方式算:如果第一次取到红球,第二次取到蓝球。同理,P(B)为3/5,P(A|B)为2/4,两个相乘:(3/5) x (2/4)=3/10

他们是相等的。也就是说:P(A|B) x P(B) = P(B|A) x P(A)


这个并不是特例,看下面的公式:



事实上,P(A and B) 和P(B and A)是一样的,只是一前一后发生的顺序不同。


我们把这个公式P(A|B) x P(B) = P(B|A) x P(A)的P(B)拿到另一边,这就是朴素贝叶斯的公式。


除了上面几个例子,其实还有很多方面,都可以用不那么晦涩的方式去解读。比如高斯分布,很多文章,包括一些经典书籍,一上来就是那个公式:



然而很多人并不太明白,为何要用这样的分布,为什么叫正态分布,而不叫变态分布。其实它是大自然的一种普遍规律。


其实可以用这个图:



这是统计学生两门学习成绩总和(总分200分),横轴是分数,纵轴是所占的比例。我们发现,学霸和学渣都比较少,大部分人都集中在150分左右(很显然,大部分人都是你我这种普通人嘛),如果统计样本足够大,以至于达到无穷,那就变成了钟形曲线。普通人的平均分数,就是高斯分布里的那个μ,也就是均值,而那个σ怎么解释呢?就是你这个曲线越陡,σ越小,这个叫方差。试想一下,如果大家都挤成一坨,成绩都差不多,差别小,也就是方差小,中间的方块占的比例就越高,当然就越陡了。如下图:



另外,还有一些概念,比如正交,很多朋友问起过这个问题:Jacky,向量正交的概念我在大学里学过,但就是不知道为啥要正交?


其实我们要理解正交,可以先理解什么是相交,两条直线相交表明存在一定的夹角,但这个夹角可大可小,如果是0的情况下,他们是在一条线上的(向量都是过原点的,这里我们不考虑不过原点的情况),180度的时候也是在一条直线上,这个两种情况我们都可以认为他们是线性相关的,那么什么时候,最不相关呢,很显然是90度的时候,也就是垂直的时候。除了垂直和平行的情况,夹角在0-90度或者90度到180度之间的情况,相关性介于垂直和平行之间。


我们试想一下,如果我们要把一组数据分解成不同的特征,我们希望每个分量各自具有独立的特点呢?还是希望每个分量,你中有我,我中有你好呢?显然是越无关越好,如果他们之间太“暧昧”,就没有特点了。最好是各个分量,两两互相垂直。当然,垂直是几何上的解释,对于向量来说,更严谨的说法(多维)就是正交。


关于机器学习中数学的通俗化表达,限于篇幅(太长看了也累),先聊到这里,目前还在继续整理当中,想到哪说到哪,思路还不够清晰,希望在本次培训结束以后,能整理出一个完整的版本。同时也请业内朋友多提宝贵意见和建议。


如果在阅读PRML和deep learning的过程中,对有些数学部分不太清楚,也请在评论区留言或者私信给我也可以。请列出具体的内容或对应的书的页数。最近在写一本小册子,也很希望收到朋友们的需求,痛点及反馈。谢谢。


关于数学基础课程列表,几个高票答案总结的很全了,这里我就不重复贴了。不过有人总结了一份文档,里面列出了机器学习中用到的数学基础,虽然没有详细描述,但思路清晰,简洁明了,可以参考:

http://www.cogsci.ucsd.edu/~ajyu/Teaching/Cogs118A_wi10/Refs/basic_math.pdf


本文作者Jacky Yang

原文地址:https://www.zhihu.com/question/36324957/answer/255970074




精选推荐


AI 技术讲座精选:数学不好,也可以学习人工智能(一)——学习路径篇

AI 技术讲座精选:数学不好,也可以学习人工智能(二)——从实战项目开始

AI 技术讲座精选:数学不好,也可以学习人工智能(三)——硬件篇

AI 技术讲座精选:数学不好,也可以学习人工智能(四)——图解张量

AI 技术讲座精选:数学不好,也可以学好人工智能(五)——深度学习和卷积神经网络

AI 技术讲座精选:数学不好,也可以学习人工智能(七)——自然语言处理的奇妙之处



点击阅读原文,查看作者更多精彩文章

登录查看更多
4

相关内容

【实用书】Python机器学习Scikit-Learn应用指南,247页pdf
专知会员服务
270+阅读 · 2020年6月10日
打怪升级!2020机器学习工程师技术路线图
专知会员服务
99+阅读 · 2020年6月3日
机器学习速查手册,135页pdf
专知会员服务
345+阅读 · 2020年3月15日
【机器学习课程】Google机器学习速成课程
专知会员服务
170+阅读 · 2019年12月2日
机器学习入门的经验与建议
专知会员服务
94+阅读 · 2019年10月10日
学习自然语言处理路线图
专知会员服务
140+阅读 · 2019年9月24日
机器学习必备的数学基础有哪些?
人工智能头条
12+阅读 · 2019年10月18日
已删除
将门创投
6+阅读 · 2019年1月2日
机器学习者都应该知道的五种损失函数!
数盟
5+阅读 · 2018年6月21日
干货 | 机器学习怎么从入门到不放弃!
THU数据派
6+阅读 · 2018年6月8日
机器学习各种熵:从入门到全面掌握
AI研习社
10+阅读 · 2018年3月22日
深度学习入门:投身深度学习你需要哪些准备?
机器学习研究会
13+阅读 · 2017年11月25日
如何入门Python与机器学习 | 赠书
AI100
8+阅读 · 2017年11月14日
如何用 3 个月零基础入门机器学习?
AI研习社
6+阅读 · 2017年9月27日
入坑机器学习,这10个知识点你要了解!
THU数据派
5+阅读 · 2017年9月15日
TResNet: High Performance GPU-Dedicated Architecture
Arxiv
8+阅读 · 2020年3月30日
Arxiv
23+阅读 · 2018年10月1日
Arxiv
26+阅读 · 2018年2月27日
Arxiv
5+阅读 · 2016年12月29日
VIP会员
相关VIP内容
【实用书】Python机器学习Scikit-Learn应用指南,247页pdf
专知会员服务
270+阅读 · 2020年6月10日
打怪升级!2020机器学习工程师技术路线图
专知会员服务
99+阅读 · 2020年6月3日
机器学习速查手册,135页pdf
专知会员服务
345+阅读 · 2020年3月15日
【机器学习课程】Google机器学习速成课程
专知会员服务
170+阅读 · 2019年12月2日
机器学习入门的经验与建议
专知会员服务
94+阅读 · 2019年10月10日
学习自然语言处理路线图
专知会员服务
140+阅读 · 2019年9月24日
相关资讯
机器学习必备的数学基础有哪些?
人工智能头条
12+阅读 · 2019年10月18日
已删除
将门创投
6+阅读 · 2019年1月2日
机器学习者都应该知道的五种损失函数!
数盟
5+阅读 · 2018年6月21日
干货 | 机器学习怎么从入门到不放弃!
THU数据派
6+阅读 · 2018年6月8日
机器学习各种熵:从入门到全面掌握
AI研习社
10+阅读 · 2018年3月22日
深度学习入门:投身深度学习你需要哪些准备?
机器学习研究会
13+阅读 · 2017年11月25日
如何入门Python与机器学习 | 赠书
AI100
8+阅读 · 2017年11月14日
如何用 3 个月零基础入门机器学习?
AI研习社
6+阅读 · 2017年9月27日
入坑机器学习,这10个知识点你要了解!
THU数据派
5+阅读 · 2017年9月15日
相关论文
TResNet: High Performance GPU-Dedicated Architecture
Arxiv
8+阅读 · 2020年3月30日
Arxiv
23+阅读 · 2018年10月1日
Arxiv
26+阅读 · 2018年2月27日
Arxiv
5+阅读 · 2016年12月29日
Top
微信扫码咨询专知VIP会员