TensorFlow推荐:神经算术逻辑单元的直观理解

2018 年 9 月 21 日 论智
来源:Medium
编译:Bot

编者按:2个月前,DeepMind发表了一篇名为“ 神经算术逻辑单元(NALU)”的新论文,提出了一个能帮助神经网络更好地模拟数值信息的新框架。这是一篇有趣的论文,解决的问题也很实际,所以今天论智想推荐一篇有关这个框架的文章,它也是被TensorFlow官博力荐的佳作。比起复杂的论文解读,它更简洁直观,也易于理解。

现如今,尽管深度学习已经在许多任务中取得了令人惊艳的成果,诸多AI产品也逐渐在医疗等领域发挥越来越重要的作用,但如何教导神经网络还是它的一个重要问题,说出来可能有人不信,神经网络在简单算术任务上还会出现问题。

在一个实验中,DeepMind的研究人员曾训练了一个精度接近完美的模型,它能从数据中找出范围在-5到5之间的数字,但当输入从未见过的新数据后,模型就无法概括了。

论文针对上述问题提出了两种方法,但这里我们不会搬运原文的详细内容,相反地,下文将简要介绍NAC的工作原理,以及它如何处理加减乘除等操作,相应代码也会在文章中列出,读者可以从中获得更直观的了解。

第一个神经网络(NAC)

论文介绍的第一个神经网络是神经累积器(简称NAC),它能对输入执行线性变换,而用于变换的矩阵是tanh(What)和sigmoid(Mhat)的元素乘积。简而言之,input(x)后,模型输入会乘以变换矩阵W,并产生输出a。

NAC的Python实现:

  
  
    
  1. import tensorflow as tf

  2. # NAC

  3. W_hat = tf.Variable(tf.truncated_normal(shape, stddev=0.02))

  4. M_hat = tf.Variable(tf.truncated_normal(shape, stddev=0.02))

  5. W = tf.tanh(W_hat) * tf.sigmoid(M_hat)

  6. # 前向传播

  7. a = tf.matmul(in_dim, W)

第二个神经网络(NALU)

神经算术逻辑单元(NALU)由两个NAC构成,其中,第一个NAC g是sigmoid(Gx),第二个NAC在一个等于exp(W(log(|x| + epsilon)))的对数空间m中运行。

NALU的Python实现:

  
  
    
  1. import tensorflow as tf

  2. # NALU

  3. G = tf.Variable(tf.truncated_normal(shape, stddev=0.02))

  4. m = tf.exp(tf.matmul(tf.log(tf.abs(in_dim) + epsilon), W))

  5. g = tf.sigmoid(tf.matmul(in_dim, G))

  6. y = g * a + (1 - g) * m

通过加法理解NAC

现在我们来进行测试。首先,把NAC转成函数:

  
  
    
  1. # NAC

  2. def NAC(in_dim, out_dim):

  3.    in_features = in_dim.shape[1]

  4.    # 定义W_hat和M_hat

  5.    W_hat = tf.get_variable(name = 'W_hat', initializer=tf.initializers.random_uniform(minval=-2, maxval=2),shape=[in_features, out_dim],  trainable=True)

  6.    M_hat = tf.get_variable(name = 'M_hat', initializer=tf.initializers.random_uniform(minval=-2, maxval=2), shape=[in_features, out_dim], trainable=True)

  7.    W = tf.nn.tanh(W_hat) * tf.nn.sigmoid(M_hat)

  8.    a = tf.matmul(in_dim, W)

  9.    return a, W

其次,创建一些数据,把它们分成训练集和测试集。NumPy有一个较numpy.arrange的API,很适合用来创建数据集:

  
  
    
  1. # 生成一系列输入数字X1和X2用于训练

  2. x1 = np.arange(0,10000,5, dtype=np.float32)

  3. x2 = np.arange(5,10005,5, dtype=np.float32)

  4. y_train = x1 + x2

  5. x_train = np.column_stack((x1,x2))

  6. print(x_train.shape)

  7. print(y_train.shape)

  8. # 生成一系列输入数字X1和X2进行测试

  9. x1 = np.arange(1000,2000,8, dtype=np.float32)

  10. x2 = np.arange(1000,1500,4, dtype= np.float32)

  11. x_test = np.column_stack((x1,x2))

  12. y_test = x1 + x2

  13. print()

  14. print(x_test.shape)

  15. print(y_test.shape)

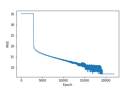
接着,用这些准备好的东西训练模型。我们先定义占位符X和Y以在运行时提供数据,用tf.reduce_sum()计算损失,模型包含两个超参数:学习率alpha和训练几个epochs。在训练开始前,我们还要定义一个优化器,方便用tf.train.AdamOptimizer()降低损失。

  
  
    
  1. # 定义占位符以在运行时提供输入

  2. X = tf.placeholder(dtype=tf.float32, shape =[None , 2])    # Number of samples x Number of features (number of inputs to be added)

  3. Y = tf.placeholder(dtype=tf.float32, shape=[None,])

  4. #定义网络

  5. #这里网络只包含一个NAC(用于测试)

  6. y_pred, W = NAC(in_dim=X, out_dim=1)

  7. y_pred = tf.squeeze(y_pred)             # Remove extra dimensions if any

  8. # 均方误差 (MSE)

  9. loss = tf.reduce_mean( (y_pred - Y) **2)

  10. # 训练参数

  11. alpha = 0.05    # learning rate

  12. epochs = 22000

  13. optimize = tf.train.AdamOptimizer(learning_rate=alpha).minimize(loss)

  14. with tf.Session() as sess:

  15.    #init = tf.global_variables_initializer()

  16.    cost_history = []

  17.    sess.run(tf.global_variables_initializer())

  18.    # 训练前损失

  19.    print("Pre training MSE: ", sess.run (loss, feed_dict={X: x_test, Y:y_test}))

  20.    print()

  21.    for i in range(epochs):

  22.        _, cost = sess.run([optimize, loss ], feed_dict={X:x_train, Y: y_train})

  23.        print("epoch: {}, MSE: {}".format( i,cost) )

  24.        cost_history.append(cost)

  25.    # 列出每次迭代的均方误差

  26.    plt.plot(np.arange(epochs),np.log(cost_history))  # Plot MSE on log scale

  27.    plt.xlabel("Epoch")

  28.    plt.ylabel("MSE")

  29.    plt.show()

  30.    print()

  31.    print(W.eval())

  32.    print()

  33.    # 训练后损失

  34.    print("Post training MSE: ", sess.run(loss, feed_dict={X: x_test, Y: y_test}))

  35.    print("Actual sum: ", y_test[0:10])

  36.    print()

  37.    print("Predicted sum: ", sess.run(y_pred[0:10], feed_dict={X: x_test, Y: y_test}))

训练完成后,我们可以得到这样一幅图损失曲线图:

  
  
    
  1. Actual sum:  [2000. 2012. 2024. 2036. 2048. 2060. 2072. 2084. 2096. 2108.]

  2. Predicted sum:  [1999.9021 2011.9015 2023.9009 2035.9004 2047.8997 2059.8992 2071.8984

  3. 2083.898  2095.8975 2107.8967]

如输出所示,NAC可以处理诸如加减法的操作,但它还做不到处理乘法和除法。为了解决这个问题,我们就要用到NALU。

通过乘法理解NALU

在上文基础上,首先我们再添加一个NAC,组成NALU:

如果说NAC只是对输入做线性变化,那么NALU就是把两个具有权重的NAC组合在一起,用来执行加减(较小的紫色单元)和乘除(较大的紫色单元),计算由门(橙色单元)控制。

  
  
    
  1. # NALU

  2. def NALU(in_dim, out_dim):

  3.    shape = (int(in_dim.shape[-1]), out_dim)

  4.    epsilon = 1e-7

  5.    # NAC

  6.    W_hat = tf.Variable(tf.truncated_normal(shape, stddev=0.02))

  7.    M_hat = tf.Variable(tf.truncated_normal(shape, stddev=0.02))

  8.    G = tf.Variable(tf.truncated_normal(shape, stddev=0.02))

  9.    W = tf.tanh(W_hat) * tf.sigmoid(M_hat)

  10.    # 前向传播

  11.    a = tf.matmul(in_dim, W)

  12.    # NALU  

  13.    m = tf.exp(tf.matmul(tf.log(tf.abs(in_dim) + epsilon), W))

  14.    g = tf.sigmoid(tf.matmul(in_dim, G))

  15.    y = g * a + (1 - g) * m

  16.    return y

这里我们再创建一些数据,但和上次相比,这次要做一些改动:在第8行和第20行,我们把运算符从加改成了乘。

  
  
    
  1. # 通过学习乘法来测试网络

  2. # 生成一系列输入数字X1和X2用于训练

  3. x1 = np.arange(0,10000,5, dtype=np.float32)

  4. x2 = np.arange(5,10005,5, dtype=np.float32)

  5. y_train = x1 * x2

  6. x_train = np.column_stack((x1,x2))

  7. print(x_train.shape)

  8. print(y_train.shape)

  9. # 生成一系列输入数字X1和X2进行测试

  10. x1 = np.arange(1000,2000,8, dtype=np.float32)

  11. x2 = np.arange(1000,1500,4, dtype= np.float32)

  12. x_test = np.column_stack((x1,x2))

  13. y_test = x1 * x2

  14. print()

  15. print(x_test.shape)

  16. print(y_test.shape)

之后是训练模型,需要注意的是,这里我们定义的还是NAC,而不是NALU:

  
  
    
  1. # 定义占位符以在运行时提供值

  2. X = tf.placeholder(dtype=tf.float32, shape =[None , 2])    # Number of samples x Number of features (number of inputs to be added)

  3. Y = tf.placeholder(dtype=tf.float32, shape=[None,])

  4. # 定义网络

  5. # 这里网络只包含一个NAC(用于测试)

  6. y_pred = NALU(in_dim=X, out_dim=1)

  7. y_pred = tf.squeeze(y_pred)      # Remove extra dimensions if any

  8. # 均方误差 (MSE)

  9. loss = tf.reduce_mean( (y_pred - Y) **2)

  10. # 训练参数

  11. alpha = 0.05    # 学习率

  12. epochs = 22000

  13. optimize = tf.train.AdamOptimizer(learning_rate=alpha).minimize(loss)

  14. with tf.Session() as sess:

  15.    #init = tf.global_variables_initializer()

  16.    cost_history = []

  17.    sess.run(tf.global_variables_initializer())

  18.    # 训练前损失

  19.    print("Pre training MSE: ", sess.run (loss, feed_dict={X: x_test, Y: y_test}))

  20.    print()

  21.    for i in range(epochs):

  22.        _, cost = sess.run([optimize, loss ], feed_dict={X: x_train, Y: y_train})

  23.        print("epoch: {}, MSE: {}".format( i,cost) )

  24.        cost_history.append(cost)

  25.    # 列出每次迭代的损失

  26.    plt.plot(np.arange(epochs),np.log(cost_history))  # Plot MSE on log scale

  27.    plt.xlabel("Epoch")

  28.    plt.ylabel("MSE")

  29.    plt.show()

  30.    # 训练后损失

  31.    print("Post training MSE: ", sess.run(loss, feed_dict={X: x_test, Y: y_test}))

  32.    print("Actual product: ", y_test[0:10])

  33.    print()

  34.    print("Predicted product: ", sess.run(y_pred[0:10], feed_dict={X: x_test, Y: y_test}))

  
  
    
  1. Actual product:  [1000000. 1012032. 1024128. 1036288. 1048512. 1060800. 1073152. 1085568.

  2. 1098048. 1110592.]

  3. Predicted product:  [1000000.2  1012032.   1024127.56 1036288.6  1048512.06 1060800.8

  4. 1073151.6  1085567.6  1098047.6  1110592.8 ]

如果想获取在TensorFlow中实现NALU的完整代码,可以去这个github:github.com/ahylton19/simpleNALU-tf

小结

以上只是NALU在加减乘除任务上具体表现,在论文中,研究人员还测试了平方运算和开根,NALU的表现都优于传统框架。简而言之,DeepMind的这个简单而实用的技术让神经网络掌握了数值推算,它类似传统处理器中的算术逻辑单元,能让网络真正“学会”加减乘除和基于加减乘除的近似估计,更好地把经验外推到其他数值任务上,而不再受训练数据限制。

通过这篇文章,我们希望现在你已经了解了这篇轰动学界的论文到底说了什么,以及它对深度学习的贡献和影响。

原文地址:medium.com/tensorflow/understanding-neural-arithmetic-logic-units-11b0f85c1d1d?linkId=57139321

登录查看更多
0

相关内容

一份循环神经网络RNNs简明教程,37页ppt
专知会员服务
173+阅读 · 2020年5月6日
【IJCAI2020-CMU】结构注意力的神经抽象摘要
专知会员服务
22+阅读 · 2020年4月23日
神经网络的拓扑结构,TOPOLOGY OF DEEP NEURAL NETWORKS
专知会员服务
35+阅读 · 2020年4月15日
Sklearn 与 TensorFlow 机器学习实用指南,385页pdf
专知会员服务
131+阅读 · 2020年3月15日
【书籍】深度学习框架:PyTorch入门与实践(附代码)
专知会员服务
167+阅读 · 2019年10月28日
三次简化一张图:一招理解LSTM/GRU门控机制
机器之心
16+阅读 · 2018年12月18日
TensorFlow seq2seq中的Attention机制(续)
深度学习每日摘要
15+阅读 · 2017年11月16日
手把手教TensorFlow(附代码)
深度学习世界
15+阅读 · 2017年10月17日
【推荐】用Tensorflow理解LSTM
机器学习研究会
36+阅读 · 2017年9月11日
时延神经网络(TDNN)原理及其TensorFlow实现
深度学习每日摘要
56+阅读 · 2017年5月19日
Bivariate Beta LSTM
Arxiv
6+阅读 · 2019年10月7日
Arxiv
19+阅读 · 2019年4月5日
Arxiv
8+阅读 · 2018年11月21日
Arxiv
7+阅读 · 2018年11月1日
Arxiv
5+阅读 · 2018年2月26日
VIP会员
相关VIP内容
一份循环神经网络RNNs简明教程,37页ppt
专知会员服务
173+阅读 · 2020年5月6日
【IJCAI2020-CMU】结构注意力的神经抽象摘要
专知会员服务
22+阅读 · 2020年4月23日
神经网络的拓扑结构,TOPOLOGY OF DEEP NEURAL NETWORKS
专知会员服务
35+阅读 · 2020年4月15日
Sklearn 与 TensorFlow 机器学习实用指南,385页pdf
专知会员服务
131+阅读 · 2020年3月15日
【书籍】深度学习框架:PyTorch入门与实践(附代码)
专知会员服务
167+阅读 · 2019年10月28日
相关资讯
三次简化一张图:一招理解LSTM/GRU门控机制
机器之心
16+阅读 · 2018年12月18日
TensorFlow seq2seq中的Attention机制(续)
深度学习每日摘要
15+阅读 · 2017年11月16日
手把手教TensorFlow(附代码)
深度学习世界
15+阅读 · 2017年10月17日
【推荐】用Tensorflow理解LSTM
机器学习研究会
36+阅读 · 2017年9月11日
时延神经网络(TDNN)原理及其TensorFlow实现
深度学习每日摘要
56+阅读 · 2017年5月19日
相关论文
Bivariate Beta LSTM
Arxiv
6+阅读 · 2019年10月7日
Arxiv
19+阅读 · 2019年4月5日
Arxiv
8+阅读 · 2018年11月21日
Arxiv
7+阅读 · 2018年11月1日
Arxiv
5+阅读 · 2018年2月26日
Top
微信扫码咨询专知VIP会员