ICLR 引用量最高的10篇论文!Adam霸榜!引用量破5万

2020 年 8 月 5 日 CVer

点击上方“CVer”,选择加"星标"置顶

重磅干货,第一时间送达

前言


三大CV顶会引用量最高的10篇论文均已整理完毕,详见:



接下来,Amusi 将继续整理其他顶会,像NeurIPS、ICLR、ICML上也有很多优质的CV论文,而且有更多深度学习、机器学习基础性研究工作。


ICLR,全称为「International Conference on Learning Representations」,2013 年才刚刚成立了第一届。相当"年轻"的会议,但已经被学术研究者们广泛认可,被认为「深度学习的顶级会议」在谷歌发布的2020年的学术指标(Scholar Metrics)榜单,ICLR 位列总榜第17位!这个排名是依据过去五年发表研究的数据(覆盖2015-2019年发表的文章),并包括截止2020年6月在谷歌学术中被索引的所有文章的引用量。


本文就来盘点ICLR 2015-2019年引用量最高的10篇论文。根据此数据,一方面能看出这段深度学习黄金时期的研究热点,另一方面查漏补缺,看看这些必看的Top级论文是不是都掌握了。


注1:2015年之前的论文不在统计范围内

注2:引用量是根据谷歌给出的数据,会有波动,但影响不大


第一名:Adam


Adam: A Method for Stochastic Optimization

作者单位:阿姆斯特丹大学, OpenAI, 多伦多大学

作者团队:Diederik P. KingmaJimmy Ba


引用量:47774(截止目前是50344

论文链接(收录于ICLR 2015):

https://arxiv.org/abs/1412.6980


Adam是近年来,最广泛被使用的优化器之一。其结合了AdaGrad和RMSProp两种优化算法的优点,利用梯度的一阶矩估计和二阶矩估计动态调整每个参数的学习率




第二名:Neural Machine Translation by Jointly Learning to Align and Translate


Neural Machine Translation by Jointly Learning to Align and Translate

作者单:不来梅雅各布大学, 蒙特利尔大学

作者团队:Dzmitry BahdanauKyunghyun ChoYoshua Bengio


引用量:13000

论文链接(收录于ICLR 2015):

https://arxiv.org/abs/1409.0473


据了解,这篇论文是第一次将注意力机制应用到NLP领域,其使用类似attention的机制在机器翻译任务上将翻译和对齐同时进行




第三名:DCGAN


Unsupervised Representation Learning with Deep Convolutional Generative Adversarial Networks

作者单:indico Research, Facebook AI Research

作者团队:Alec RadfordLuke MetzSoumith Chintala


引用量:6544

论文链接(收录于ICLR 2016):

https://arxiv.org/abs/1511.06434


本文提出一些技巧,来提升GAN的稳定性。DCGAN 就是GAN的变体,其将卷积引入到网络中。




第四名:Explaining and Harnessing Adversarial Examples


Explaining and Harnessing Adversarial Examples

作者单:谷歌

作者团队:Ian J. GoodfellowJonathon ShlensChristian Szegedy


引用量:4827

论文链接(收录于ICLR 2015):

https://arxiv.org/abs/1412.6572


本文定量分析来解释Adversarial Example(对抗样本)在不同网络,不同数据集能够work的原因,并提出一种快速生成AdversarialExample的方法。




第五名:Semi-Supervised Classification with Graph Convolutional Networks


Semi-Supervised Classification with Graph Convolutional Networks

作者单阿姆斯特丹大学, CIFAR

作者团队:Thomas N. KipfMax Welling


引用量:4036

论文链接(收录于ICLR 2017):

https://arxiv.org/abs/1609.02907


本篇文章的主要工作是将卷积扩展到图结构的数据中,能够得到比较好的数据表示,并且在半监督任务中也取得了不错的效果。


注:图卷积网络,半监督都是目前大热的方向,或者说应用结合




第六名:DDPG


Continuous control with deep reinforcement learning

作者单:Deepmind(谷歌)

作者团队:Timothy P. LillicrapJonathan J. HuntAlexander Pritzel等


引用量:3683

论文链接(收录于ICLR 2016):

https://arxiv.org/abs/1509.02971


将Deep Q-Learning应用到连续动作领域continuous control(比如机器人控制)




第七名:Deep Compression


Deep Compression: Compressing Deep Neural Networks with Pruning, Trained Quantization and Huffman Coding

作者单:斯坦福大学, 清华大学, NVIDIA

作者团队:Song Han(韩松)Huizi MaoWilliam J. Dally


引用量:3559

论文链接(收录于ICLR 2016):

https://arxiv.org/abs/1510.00149


Deep Compression 获得ICLR 2016 最佳论文(Best Paper),实现了剪枝、量化和霍夫曼编码三大模型压缩任务。




第八名:Multi-Scale Context Aggregation by Dilated Convolutions


Multi-Scale Context Aggregation by Dilated Convolutions

作者单:普林斯顿大学, Intel Labs

作者团队:Fisher YuVladlen Koltun


引用量:3314

论文链接(收录于ICLR 2016):

https://arxiv.org/abs/1511.07122


本文提出使用 dilated convolutions(空洞卷积或者扩张卷积 得到multi-scale context 信息来提升语义分割性能。


如今在语义分割领域,dilated convolutions已经成为必备的涨点神器!




第九名:DeepLabv1


Semantic Image Segmentation with Deep Convolutional Nets and Fully Connected CRFs

作者单:UCLA, 谷歌等

作者团队Liang-Chieh ChenGeorge PapandreouIasonas Kokkinos


引用量:2496

论文链接(收录于ICLR 2015):

https://arxiv.org/abs/1412.7062


DeepLab 系列开山之作!DeepLabv1-v3+ 成为语义分割最知名也是最具影响力的论文系列工作。




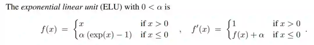
第十名:ELUs


Fast and Accurate Deep Network Learning by Exponential Linear Units (ELUs)

作者单位:约翰尼斯·开普勒林茨大学

作者团队Djork-Arné ClevertThomas UnterthinerSepp Hochreiter


引用量:2436

论文链接(收录于ICLR 2016):

https://arxiv.org/abs/1511.07289

ELUs(exponential linear unit,指数线性单元),它试图将激活函数的平均值接近零,从而加快学习的速度。同时,它还能通过正值的标识来避免梯度消失的问题




侃侃


1. Adam 引用量超过其他9篇引用量之和

2. 谷歌有三篇论文入围;

3. 姆斯特丹大学有两篇论文以第一作者单位入围;


下载1

上述10篇论文已打包好,在CVer公众号后回复:ICLR引用量,即可下载全部论文


下载2


在CVer公众号后台回复OpenCV书籍,即可下载《Learning OpenCV 3》书籍和源代码。注:这本书是由OpenCV发起者所写,是官方认可的书籍。其中涵盖大量图像处理的基础知识介绍,虽然API还是基于OpenCV 3.x,但结合此书和最新API,可以很好的学习OpenCV。



下载3


在CVer公众号后台回复:CVPR2020,即可下载CVPR2020 2020代码开源的论文合集

在CVer公众号后台回复:ECCV2020,即可下载ECCV 2020代码开源的论文合集


重磅!CVer-论文写作与投稿交流群成立


扫码添加CVer助手,可申请加入CVer-论文写作与投稿 微信交流群,目前已满2000+人,旨在交流顶会(CVPR/ICCV/ECCV/ICML/ICLR/AAAI等)、顶刊(IJCV/TPAMI等)、SCI、EI等写作与投稿事宜。


同时也可申请加入CVer大群和细分方向技术群,细分方向已涵盖:目标检测、图像分割、目标跟踪、人脸检测&识别、OCR、姿态估计、超分辨率、SLAM、医疗影像、Re-ID、GAN、NAS、深度估计、自动驾驶、强化学习、车道线检测、模型剪枝&压缩、去噪、去雾、去雨、风格迁移、遥感图像、行为识别、视频理解、图像融合、图像检索、论文投稿&交流、PyTorch和TensorFlow等群。


一定要备注:研究方向+地点+学校/公司+昵称(如论文写作+上海+上交+卡卡),根据格式备注,可更快被通过且邀请进群


▲长按加微信群


▲长按关注CVer公众号

整理不易,请给CVer点赞和在看

登录查看更多
11

相关内容

ICLR,全称为「International Conference on Learning Representations」(国际学习表征会议),2013 年才刚刚成立了第一届。这个一年一度的会议虽然今年才办到第五届,但已经被学术研究者们广泛认可,被认为「深度学习的顶级会议」。 ICLR由位列深度学习三大巨头之二的 Yoshua Bengio 和 Yann LeCun 牵头创办。 ICLR 希望能为深度学习提供一个专业化的交流平台。但实际上 ICLR 不同于其它国际会议,得到好评的真正原因,并不只是他们二位所自带的名人光环,而在于它推行的 Open Review 评审制度。
专知会员服务
114+阅读 · 2020年10月8日
近期必读的七篇 ICLR 2021【因果推理】相关投稿论文
专知会员服务
69+阅读 · 2020年10月6日
2700篇+机器学习推理文献大全(1996-2019),附下载
专知会员服务
30+阅读 · 2020年9月6日
IJCAI2020接受论文列表,592篇论文pdf都在这了!
专知会员服务
64+阅读 · 2020年7月16日
【斯坦福】凸优化圣经- Convex Optimization (附730pdf下载)
专知会员服务
231+阅读 · 2020年6月5日
ICLR 2020会议的16篇最佳深度学习论文
AINLP
5+阅读 · 2020年5月12日
ICLR 2019论文接收结果揭晓:24篇oral论文有没有你?
当前训练神经网络最快的方式:AdamW优化算法+超级收敛
中国人工智能学会
6+阅读 · 2018年7月4日
深度学习领域引用量前10篇论文(附下载地址)
七月在线实验室
5+阅读 · 2018年4月20日
ICLR 2018 有什么值得关注的亮点?
计算机视觉战队
3+阅读 · 2017年12月5日
ICLR 2018十佳论文
论智
5+阅读 · 2017年12月4日
从2017年顶会论文看Attention Model
极市平台
5+阅读 · 2017年10月16日
Arxiv
4+阅读 · 2018年10月31日
Arxiv
4+阅读 · 2018年9月25日
Arxiv
6+阅读 · 2018年1月29日
Arxiv
5+阅读 · 2017年12月14日
VIP会员
相关资讯
ICLR 2020会议的16篇最佳深度学习论文
AINLP
5+阅读 · 2020年5月12日
ICLR 2019论文接收结果揭晓:24篇oral论文有没有你?
当前训练神经网络最快的方式:AdamW优化算法+超级收敛
中国人工智能学会
6+阅读 · 2018年7月4日
深度学习领域引用量前10篇论文(附下载地址)
七月在线实验室
5+阅读 · 2018年4月20日
ICLR 2018 有什么值得关注的亮点?
计算机视觉战队
3+阅读 · 2017年12月5日
ICLR 2018十佳论文
论智
5+阅读 · 2017年12月4日
从2017年顶会论文看Attention Model
极市平台
5+阅读 · 2017年10月16日
Top
微信扫码咨询专知VIP会员