张益唐新成果首次公开直播,开场写下ac-bd=(a+b)c-(c+d)b,这回好像能看懂?

2022 年 11 月 8 日 量子位
鱼羊 梦晨 发自 凹非寺
量子位 | 公众号 QbitAI

张益唐在北大学术报告,各平台超10万人在线观看,一起见证历史!

张益唐攻克朗道-西格尔零点猜想的消息,不断牵动人心。

此事也因为论文在arXiv上公布,以及他本人首次公开直播介绍成果,而再次被推向高潮。

一位学数学的朋友表示,“今天睁眼第一件事,就是看张益唐的直播”。

在这次报告中,张益唐再次提到了“大海捞针”。

有人说他证明孪生素数猜想就像大海捞针,他自己则觉得朗道-西格尔零点猜想的证明更像大海捞针。

这次的学术报告,让张益唐有机会深入介绍了他这个“被闪电击中两次的人”究竟是怎么“大海捞针”的。

据浙大数学教授蔡天新透露,张益唐的研究生导师、中科院院士潘承彪听了报告后评论到:

听了益唐讲的想法很清楚,这是一个重要的筛法新思想,有很大发展潜力,可实现起来很难。

从大海捞针到另辟蹊径

朗道-西格尔零点猜想,是广义黎曼猜想的一个特殊形式。

简单来说这个问题可以这样理解:数学家们想要证明,狄利克雷的L函数并不存在一个非常接近1的零点(即朗道-西格尔零点)。

在朗道-西格尔零点猜想中,L函数的实零点与1的距离应为:

面对这个问题,一开始,张益唐的想法是这样的。

首先,构造一个实数序列 {xn},如果存在朗道-西格尔零点,就推出xn≥0。

那么只要证明有xn<0,朗道-西格尔零点就是不存在的。

而根据塞尔伯格筛法,这个问题就变成了,要找到一组实数序列 {ξn},使得:

张益唐形容,找这个ξn,就是一个大海捞针的过程。但直到他把海底的情况都摸清楚了,也没找出这根针来。

不过到这时候张益唐发现,即使没有这根“针”,他也能解决这个问题。

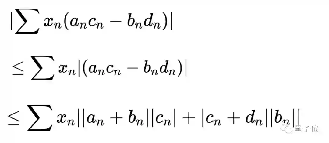
这个新想法,被他归结为一个非常基础的式子:ac-bd=(a+b)c-(c+d)b

展开来说,就是张益唐引入了两组序列 {an+bn} 和 {cn+dn}。

他证明,xn与 (an+bn)^2的乘积之和非常接近0。第二组序列同理。

这时候,假定xn≥0,基于 ac-bd=(a+b)c-(c+d)b,就可以推出以下结果:

接着根据柯西不等式,估计左右两边式子的上界,就会发现,这个不等式的左边比右边大,是不成立的

这样,张益唐就得到了3个命题,最后通过证明3个命题,得到实零点与1之间的距离应小于:

这部分更具体的细节,在论文的第二节。

改进沿用70年的数论方法

省去很多繁琐细节,张益唐只用了40分钟左右就尽量以易懂的语言介绍了自己艰深的研究。

接下来的观众提问环节,很多人关心这个成果究竟能用在什么地方?

在此前活动中张益唐曾表示,它比孪生素数猜想的意义更大。

朗道-西格尔零点猜想有点像黎曼猜想那样,它一解决,一百个猜想都变成定理了。

这次的学术报告让他可以把话题更深入到对数论的影响。

张益唐认为对于很多数论问题而言,朗道-西格尔零点是一个瓶颈。跨越过这个瓶颈,就会有很多应用出来。

比如“素数在等差级数中的分布”是一个长期悬而未决的问题。

如果朗道西格尔零点存在,就代表某些等差级数里素数会特多,某些里会很少。

但是我这个结果出来以后,至少把这个解决了。

张益唐还具体讲了数论的两个分支,解析数论与代数数论。

牵扯到解析数论,那什么地方都得用到这个。

代数数论中二次域的类数问题,会给出一个非常强的结果。

除了研究结论之外,张益唐这次用到的方法同样意义重大。

1950年前后,阿特勒·塞尔伯格(Atle Selberg)提出塞尔伯格筛法,成为数论研究中的重要工具并沿用至今。

在很长一段时间里,该方法都是“初步估计在一个小区间里素数分布之上界”的唯一方法,曾使哥德巴赫猜想前进一大步,张益唐解决孪生素数猜想的思路也受其启发。

这一次张益唐通过不断地“大海捞针”,虽然没有捞到塞尔伯格筛法中的那根“针”,但终于是设计出了新的方法。

新方法不依赖于“求二次型极值”,除了用于朗道-西格尔零点猜想外,还有望用于其他数论问题。

张益唐本人表示,他正在思考能不能用新方法改进之前的孪生素数猜想结果。

这是可以考虑的,我也会往这方面去想。

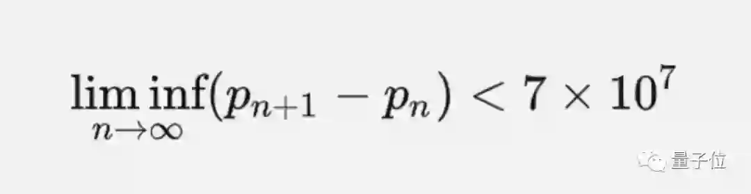
张益唐在他的孪生素数猜想论文中证明了“存在无穷多间距小于七千万的相邻素数对”。

七千万这个数字,后来在全世界数学家合作的Polymath Project 8项目努力下已经缩小到了246。

使用新方法,这个间距有望继续朝着最终目标2前进。

同时,这也意味着朗道-西格尔零点猜想的结果是可以改进的。

张益唐为致敬他做出成果的这一年,把相应的数字选为2022,这一次的最终目标则是1。

还有人开玩笑说,如果他能在2021年完成证明,那结果就能比现在更精确一点。

在这次报告上,张益唐表示靠现在这个方法应该是能做到几百

……只是我还没有去做。但是要到1目前这个方法还是不够的。

目前这篇新论文还未经过同行评议,有待学术界验证其结论。

而一旦论文被承认是正确的,可以预见的是接下来数学界也会在他的工作基础上不断向1进发。

最后,在热议中还有一些人关注到了张益唐的年龄。

一旦论文被验证,67岁的张益唐就打破了著名数学家哈代“数学是年轻人的游戏”这个论断。

在之前接受采访时,张益唐就多次表示自己不赞同这个说法”。

我对他那个东西不是很注意,我觉得好像跟我没直接关系似的,我没有受那些东西的影响。

如今他证明了新的猜想,也用实际行动证明了自己的话。

张益唐零点猜想论文:
https://arxiv.org/abs/2211.02515

参考链接:
[1]https://news.ycombinator.com/item?id=33512338
[2]https://weibo.com/1277439255/Me402b5zI
[3]
https://mp.weixin.qq.com/s/MIztT_oTB8taIHRoobAoDA

MEET 2023 大会启动

邀你共论智能产业穿越周期之道

今年12月,MEET2023智能未来大会将再度邀请智能科技产业、科研、投资领域大咖嘉宾,共同探讨人工智能行业破局之道。

欢迎智能科技企业参会,分享突破性成果,交流时代级变革,共襄盛会!点击链接或下方图片查看大会详情:

量子位「MEET 2023智能未来大会」启动,邀你共论智能产业穿越周期之道


点这里关注我 👇 记得标星噢 ~


一键三连「分享」、「点赞」和「在看」

科技前沿进展日日相见 ~ 

登录查看更多
0

相关内容

Nature论文: DeepMind用AI引导直觉解决数学猜想难题
专知会员服务
31+阅读 · 2021年12月2日
震动学界!张益唐被曝已证明黎曼猜想相关问题
THU数据派
0+阅读 · 2022年10月17日
国家自然科学基金
0+阅读 · 2015年12月31日
国家自然科学基金
0+阅读 · 2015年12月31日
国家自然科学基金
0+阅读 · 2015年12月31日
国家自然科学基金
0+阅读 · 2014年12月31日
国家自然科学基金
0+阅读 · 2014年12月31日
国家自然科学基金
0+阅读 · 2013年12月31日
国家自然科学基金
0+阅读 · 2013年12月31日
国家自然科学基金
0+阅读 · 2012年12月31日
国家自然科学基金
0+阅读 · 2011年12月31日
国家自然科学基金
0+阅读 · 2011年12月31日
Arxiv
14+阅读 · 2020年9月1日
Arxiv
21+阅读 · 2019年8月21日
Arxiv
21+阅读 · 2019年3月25日
VIP会员
相关VIP内容
Nature论文: DeepMind用AI引导直觉解决数学猜想难题
专知会员服务
31+阅读 · 2021年12月2日
相关基金
国家自然科学基金
0+阅读 · 2015年12月31日
国家自然科学基金
0+阅读 · 2015年12月31日
国家自然科学基金
0+阅读 · 2015年12月31日
国家自然科学基金
0+阅读 · 2014年12月31日
国家自然科学基金
0+阅读 · 2014年12月31日
国家自然科学基金
0+阅读 · 2013年12月31日
国家自然科学基金
0+阅读 · 2013年12月31日
国家自然科学基金
0+阅读 · 2012年12月31日
国家自然科学基金
0+阅读 · 2011年12月31日
国家自然科学基金
0+阅读 · 2011年12月31日
Top
微信扫码咨询专知VIP会员