15年磨一剑:张益唐证明黎曼猜想相关问题?11月论文见

2022 年 10 月 17 日 新智元



  新智元报道  

编辑:Aeneas 好困
【新智元导读】近日,网传消息称张益唐似乎已攻克数学界一大难题,此消息一出,震惊整个数学圈。

这两天,张益唐「攻克」朗道-西格尔零点猜想(Landau-Siegel Zeros Conjecture)的传闻铺天盖地。

据称,张益唐在参加10月15日北京大学校友Zoom线上会议时,在口头上承认了这一点。

曾经解决了「孪生质数猜想」从0到1的一步时,张益唐就已经轰动全世界数学圈。而如果他真的解决了朗道-西格尔零点猜想,无疑会引发一场大地震。

不过,相关论文似乎得等到下个月才能看到。

让我们搓手以待。

这篇论文,张益唐修改了9年


上一次张益唐在互联网上引起这么大的关注,还是在2013年。

当时,他完成了论文《素数间的有界距离》,证明了「弱化版本的孪生素数猜想」。

论文于2013年发表在《数学年刊》上。

《素数间的有界距离》手稿

作为数学界耳熟能详的华人「大牛」,一般人可能会以为张益唐成果颇丰。

但实际上,他在40多年的学术生涯里,只发表过屈指可数的几篇论文。

其中比较出名的几篇,除了2013年发表的「弱化版孪生素数猜想」之外,另外两篇分别发表在2001年的《杜克数学期刊》和1985年的《数学学报》上,都是关于朗道-西格尔零点猜想的。

在接受《人物》周刊采访时,张益唐曾解释道:长久不发论文的原因,是因为自己很难接受「Partial result」——他手上已经攒了一些随时可以出成果的研究,但他不甘心拿出来,因为「完全做完之后拿出来的东西就是大东西了。」

这与如今主流数学家的做法都不同。

在成名前,张益唐就已经研究了朗道-西格尔零点猜想很多年。

2007年5月,他还在University of New Hampshire时,就曾为此写过一篇论文草稿。

论文地址:https://arxiv.org/abs/0705.4306

当时,这篇论文还不完整,只是关于朗道-西格尔猜想的一个大概的证明纲要,张益唐把它在预印本服务器上保存了下来,然后就把它「撂下」,跑去做快要成了的「孪生素数」问题了。

天才的预判果然很有道理,接下来发生的事,你们已经知道了。

关于「孪生素数猜想」的论文让他大爆,一跃成为学界「顶流」。

Nature在「突破性新闻」栏目里对此成果做了专题报道。同时,罗夫·肖克奖 、柯尔数论奖、麦克阿瑟天才奖等重量级奖项,张益唐都拿到手软。

关于他的神奇事迹也被各媒体争相报道。

现在,时隔9年,因为他的一句话,数学圈忽然又沸腾了。

推测一下,应该是被他「撂下」多年的那篇朗道-西格尔零点猜想论文大纲已经补充完毕,完整论文出炉了。

这次,张益唐是准备二「爆」了?

朗道-西格尔零点猜想

所以,朗道-西格尔零点猜想是什么呢?

在数论中,朗道-西格尔零点问题可以看作广义黎曼猜想的一种特殊并且可能弱得多的形式。

2019年,香港中文大学举办的「大师讲堂」上,张益唐介绍了朗道-西格尔零点问题的历史和应用,并解释为何这个问题这么重要,并且难以解决。

根据香港中文大学(深圳)整理的资料,张益唐本人是这样介绍的——

张益唐研究的意义有多重大?

为何关于张益唐的爆料一出,就惊动了整个数学圈?

因为黎曼猜想是当今数学界最重要的数学难题之一,意义重大。

要想理解它的意义,我们不妨先了解一下数论的大背景。

数论是纯粹数学的分支,研究的是数的性质,可以说是最纯粹的数学。毕达哥拉斯、欧几里得、斐波那契、笛卡尔、费尔马、莱布尼兹、拉格朗日、欧拉、高斯、希尔伯特等著名的数学家都曾在数论的研究史上留下浓墨重彩的一笔。

高斯:数学是科学的皇后,数论是数学的皇后

数论的研究产生了很多的猜想,这些猜想将极大地推动数学的研究进展。

1900年,德国数学家戴维·希尔伯特曾在第二届数学家大会上提出了「20世纪数学家应当努力解决的23个数学问题」。

而2000年克雷数学研究所「千禧年大奖难题」提出了7个重要的猜想,这项猜想如果能被解决,密码学、航天和通讯等领域都会发生惊人的突破。

在众多的猜想中,黎曼猜想是唯一同时出现在希尔伯特23个问题和千禧年大奖难题中的猜想。

虽然在知名度上,黎曼猜想不及费尔马猜想和哥德巴赫猜想,但它在数学上的重要性,要远远超过后两者。黎曼猜想与费马大定理已经成为广义相对论和量子力学融合的m理论的几何拓扑载体。

目前,很多数论的猜想都已经被证实。1995年,费尔马大定理被证明;2002年,卡塔兰猜想被证明;2013年,孪生数猜想被证明;2013年,奇数哥德巴赫问题被证明。

但黎曼猜想一直都悬而未决。可以想象,如果有人证明了黎曼猜想,将是一个多么轰动的事件。

同理,如果黎曼猜想被证伪,也是数学界惊天动地的大事。

而张益唐如果真的证伪了黎曼猜想,或者证明了朗道-西格尔零点的存在,都无疑是核爆级的消息。

黎曼猜想


让我们看一下黎曼猜想的起源。

1859年,德国数学家黎曼在论文「论小于给定数值的素数个数」中,首次提及这个猜想。

对此,「科學大抖宅」正巧在一篇文章中对此做了非常白话的解释。

我们都知道,2、3、5、7、11这些数,除了1跟自己本身以外,不能被其他正整数整除,因此它们被称作质数。而所有大于1的正整数,都能够以质数的乘积来表示。 

但如果要问:「比某个特定数值要小的质数有多少个呢?质数在整个数列中的分布情况又是如何?」

这个问题就复杂了。

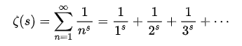
而黎曼发现,质数的分布跟某个函数有着密切关系:

这个公式中,s是复数,可以写成s=a+bi这样的形式(a是s的实部、b是s的虚部、i则是根号负一)。

数学家们可以轻易证明,只要s的实部大于1,那么整个无穷级数里,把每一项的绝对值相加后,会得到收敛并趋近于某个定值的结果。

不过,对于s的实部小于1的状况,事情就没那么简单了:整个级数和可能会发散。

但我们又想要扩充函数的定义,让它适用更广泛的范围,那该怎么办呢?

只需运用一些「简单的」数学技巧,就可以把上面的黎曼ζ函数改写为:

其中的 Г ,称为伽玛函数(gamma function)。

由此可以发现,当s为负偶数(s= -2, -4, -6…)时,黎曼ζ函数为零。这些s的值,就称为平凡零点。

但是,除了平凡零点之外,还有其他一些s的值,能够让黎曼ζ函数为零──称为非平凡零点;它们不但对质数的分布有着决定性影响,实数部分还全都位于零和一之间。

到了这一步,已经到达了黎曼本人也无法证明的难度了。

不过他做了一个猜测,这些非平凡零点有着共同的特性:黎曼ζ函数所有非平凡零点的实部都是二分之一。

这就是赫赫有名的黎曼猜想。

孪生素数猜想

最后,让我们看看曾让张益唐名声大震的「孪生质数猜想」相关论文。

1992年博士毕业于普渡大学,张益唐度过一段坎坷的时光,终于在2013年,他对于「存在无穷多个差值小于7000万的质数对」的证明在五周内被《数学年刊》接收。

论文地址:https://annals.math.princeton.edu/2014/179-3/p07

在这篇论文中,他找到了孪生素数对差值的上界——7000万,这是「孪生质数猜想」的重大进展,实现了从0到1的跨越。

后来,陶哲轩等数学家迅速将这个差距缩小到了246,但这相当于从1到2的跨越。相较而言,张益唐从0到1的这一步,意义更加重大。

关于两位数学家的研究成果,已经被拍成纪录片。

根据《光明日报》记者王庆环的整理,在2016年度的「求是奖颁奖典礼」上,著名科学家杨振宁曾用小学生听得懂的语言讲解了张益唐所做的研究——

对于以上解释,张益唐本人表示:「杨振宁教授的介绍既通俗又清楚,如果让我自己讲的话,我肯定讲不了那么好。」

目前,坊间已经在热议,如果传说为真,张益唐的成就是否能超越丘成桐、陈景润。

让我们静等11月,看看张益唐是否会交出令自己满意的「大东西」。

参考资料:
https://www.zhihu.com/question/559674941
https://pansci.asia/archives/147956
https://mp.weixin.qq.com/s/69ZmQugpehoJ5fv--HQXHA
https://mp.weixin.qq.com/s/rXj4-4zBq-B5VZPiz75JyQ
https://mp.weixin.qq.com/s/7cCpCAwqjIYUsARWSQZrlw
http://t3.m.sohu.com/a/256750714_534881




登录查看更多
0

相关内容

数学是关于数量、结构、变化等主题的探索。
Nature论文: DeepMind用AI引导直觉解决数学猜想难题
专知会员服务
31+阅读 · 2021年12月2日
清华大学黄民烈:本科生如何做出好的科研
专知会员服务
51+阅读 · 2021年11月26日
专知会员服务
38+阅读 · 2021年4月27日
专知会员服务
48+阅读 · 2021年4月18日
IJCAI2020接受论文列表,592篇论文pdf都在这了!
专知会员服务
64+阅读 · 2020年7月16日
【快讯】CVPR2020结果出炉,1470篇上榜, 你的paper中了吗?
AAAI2020接受论文列表,1591篇论文目录全集
专知会员服务
100+阅读 · 2020年1月12日
最新BERT相关论文清单,BERT-related Papers
专知会员服务
53+阅读 · 2019年9月29日
震动学界!张益唐被曝已证明黎曼猜想相关问题
THU数据派
0+阅读 · 2022年10月17日
国家自然科学基金
3+阅读 · 2015年12月31日
国家自然科学基金
0+阅读 · 2015年12月31日
国家自然科学基金
0+阅读 · 2014年12月31日
国家自然科学基金
0+阅读 · 2013年12月31日
国家自然科学基金
0+阅读 · 2012年12月31日
国家自然科学基金
0+阅读 · 2011年12月31日
国家自然科学基金
0+阅读 · 2011年12月31日
国家自然科学基金
0+阅读 · 2011年12月31日
国家自然科学基金
0+阅读 · 2011年12月31日
国家自然科学基金
1+阅读 · 2009年12月31日
Arxiv
0+阅读 · 2022年11月24日
Arxiv
17+阅读 · 2022年1月11日
已删除
Arxiv
33+阅读 · 2020年3月23日
VIP会员
相关VIP内容
Nature论文: DeepMind用AI引导直觉解决数学猜想难题
专知会员服务
31+阅读 · 2021年12月2日
清华大学黄民烈:本科生如何做出好的科研
专知会员服务
51+阅读 · 2021年11月26日
专知会员服务
38+阅读 · 2021年4月27日
专知会员服务
48+阅读 · 2021年4月18日
IJCAI2020接受论文列表,592篇论文pdf都在这了!
专知会员服务
64+阅读 · 2020年7月16日
【快讯】CVPR2020结果出炉,1470篇上榜, 你的paper中了吗?
AAAI2020接受论文列表,1591篇论文目录全集
专知会员服务
100+阅读 · 2020年1月12日
最新BERT相关论文清单,BERT-related Papers
专知会员服务
53+阅读 · 2019年9月29日
相关基金
国家自然科学基金
3+阅读 · 2015年12月31日
国家自然科学基金
0+阅读 · 2015年12月31日
国家自然科学基金
0+阅读 · 2014年12月31日
国家自然科学基金
0+阅读 · 2013年12月31日
国家自然科学基金
0+阅读 · 2012年12月31日
国家自然科学基金
0+阅读 · 2011年12月31日
国家自然科学基金
0+阅读 · 2011年12月31日
国家自然科学基金
0+阅读 · 2011年12月31日
国家自然科学基金
0+阅读 · 2011年12月31日
国家自然科学基金
1+阅读 · 2009年12月31日
Top
微信扫码咨询专知VIP会员