认真的聊一聊决策树和随机森林

2021 年 2 月 5 日 AINLP


随机森林是一种简单又实用的机器学习集成算法。

“随机“表示2种随机性,即每棵树的训练样本、训练特征随机选取。

多棵决策树组成了一片“森林”,计算时由每棵树投票或取均值的方式来决定最终结果,体现了三个臭皮匠顶个诸葛亮的中国传统民间智慧。

那我们该如何理解决策树和这种集成思想呢?

01 决策树

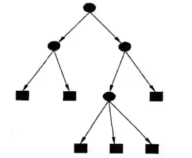
以分类任务为代表的决策树模型,是一种对样本特征构建不同分支的树形结构。

决策树由节点和有向边组成,其中节点包括内部节点(圆)和叶节点(方框)。内部节点表示一个特征或属性,叶节点表示一个具体类别。

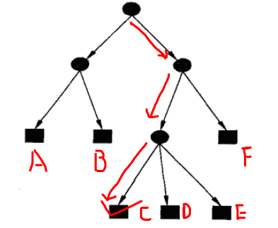
预测时,从最顶端的根节点开始向下搜索,直到某一个叶子节点结束。下图的红线代表了一条搜索路线,决策树最终输出类别C。

决策树的特征选择

假如有为青年张三想创业,但是摸摸口袋空空如也,只好去银行贷款。

银行会综合考量多个因素来决定张三是不是一个骗子,是否给他放贷。例如,可以考虑的因素有性别、年龄、工作、是否有房、信用情况、婚姻状况等等。

这么多因素,哪些是重要的呢?

这就是特征选择的工作。特征选择可以判别出哪些特征最具有区分力度(例如“信用情况”),哪些特征可以忽略(例如“性别”)。特征选择是构造决策树的理论依据

不同的特征选择,生成了不同的决策树。

决策树的特征选择一般有3种量化方法:信息增益、信息增益率、基尼指数

信息增益

在信息论中,熵表示随机变量不确定性的度量。假设随机变量X有有限个取值,取值   对应的概率为   ,则X的熵定义为:

    

如果某件事一定发生(太阳东升西落)或一定不发生(钓鱼岛是日本的),则概率为1或0,对应的熵均为0

如果某件事可能发生可能不发生(天要下雨,娘要嫁人),概率介于0到1之间,熵大于0。

由此可见,熵越大,随机性越大,结果越不确定

我们再来看一看条件熵   ,表示引入随机变量Y对于消除X不确定性的程度假如X、Y相互独立,则X的条件熵和熵有相同的值;否则条件熵一定小于熵。

明确了这两个概念,理解信息增益就比较方便了。现在我们有一份数据集D(例如贷款信息登记表)和特征A(例如年龄),则A的信息增益就是D本身的熵与特征A给定条件下D的条件熵之差,即:

   

数据集D的熵是一个常量。信息增益越大,表示条件熵   越小,A消除D的不确定性的功劳越大。

所以要优先选择信息增益大的特征,它们具有更强的分类能力。由此生成决策树,称为ID3算法

信息增益率

当某个特征具有多种候选值时,信息增益容易偏大,造成误差。引入信息增益率可以校正这一问题。

信息增益率   信息增益与D的熵之比:

   

同样,我们优先选择信息增益率最大的特征,由此生成决策树,称为C4.5算法

基尼指数

基尼指数是另一种衡量不确定性的指标。

假设数据集D有K个类,样本属于第K类的概率为   ,则D的基尼指数定义为:

   

其中   ,   是D中属于第k类的样本子集。

如果数据集D根据特征A是否取某一可能值a被分割成   和   两部分,则在给定特征A的条件下,D的基尼指数为:

   

容易证明基尼指数越大,样本的不确定性也越大,特征A的区分度越差。

我们优先选择基尼指数最小的特征,由此生成决策树,称为CART算法

决策树剪枝

决策树生成算法递归产生一棵决策树,直到结束划分。什么时候结束呢?

  • 本属于同一种类型
  • 没有特征可以分割

这样得到的决策树往往对训练数据分类非常精准,但是对于未知数据表现比较差。

原因在于基于训练集构造的决策树过于复杂,产生过拟合。所以需要对决策树简化,砍掉多余的分支,提高泛化能力。

决策树剪枝一般有两种方法:

  • 预剪枝:在树的生成过程中剪枝。基于贪心策略,可能造成局部最优
  • 后剪枝等树全部生成后剪枝。运算量较大,但是比较精

决策树剪枝往往通过极小化决策树整体的损失函数实现

假设树T有|T|个叶子节点,某一个叶子节点t上有   个样本,其中k类的样本有   个,

   为叶子节点t的熵,   是参数,则决策树的损失函数定义为:

   

其中熵为:

   

损失函数第一项为训练误差,第二项为模型复杂度,用参数   来衡量二者的比重。

CART算法

CART表示分类回归决策树,同样由特征选择、树的生成及剪枝组成,可以处理分类和回归任务。

相比之下,ID3和C4.5算法只能处理分类任务

CART假设决策树是二叉树,内部结点特征的取值为“是”和“否”,依次递归地二分每个特征。

CART 对回归树采用平方误差最小化准则,对分类树用基尼指数最小化准则

02 bagging集成

机器学习算法中有两类典型的集成思想:bagging和bossting。

bagging是一种在原始数据集上,通过有放回抽样分别选出k个新数据集,来训练分类器的集成算法。分类器之间没有依赖关系。

随机森林属于bagging算法。通过组合多个弱分类器,集思广益,使得整体模型具有较高的精确度和泛化性能

03 随机森林

我们将使用CART决策树作为弱学习器的bagging方法称为随机森林

由于随机性,随机森林对于降低模型方差效果显著。故随机森林一般不需要额外剪枝,就能取得较好的泛化性能。

相对而言,模型对于训练集的拟合程度就会差一些,相比于基于boosting的GBDT模型,偏差会大一些。

另外,随机森林中的树一般会比较深,以尽可能地降低偏差;而GBDT树的深度会比较浅,通过减少模型复杂度来降低方差(面试考点)

最后,我们总结一下随机森林都有哪些优点:

  • 采用了集成算法,精度优于大多数单模型算法
  • 在测试集上表现良好,两个随机性的引入降低了过拟合风险
  • 树的组合可以让随机森林处理非线性数据
  • 训练过程中能检测特征重要性,是常见的特征筛选方法
  • 每棵树可以同时生成,并行效率高,训练速度快
  • 可以自动处理缺省值



由于微信平台算法改版,公号内容将不再以时间排序展示,如果大家想第一时间看到我们的推送,强烈建议星标我们和给我们多点点【在看】。星标具体步骤为:

(1)点击页面最上方"AINLP",进入公众号主页。

(2)点击右上角的小点点,在弹出页面点击“设为星标”,就可以啦。

感谢支持,比心

欢迎加入AINLP技术交流群
进群请添加AINLP小助手微信 AINLPer(id: ainlper),备注NLP技术交流

推荐阅读

这个NLP工具,玩得根本停不下来

征稿启示| 200元稿费+5000DBC(价值20个小时GPU算力)

完结撒花!李宏毅老师深度学习与人类语言处理课程视频及课件(附下载)

从数据到模型,你可能需要1篇详实的pytorch踩坑指南

如何让Bert在finetune小数据集时更“稳”一点

模型压缩实践系列之——bert-of-theseus,一个非常亲民的bert压缩方法

文本自动摘要任务的“不完全”心得总结番外篇——submodular函数优化

Node2Vec 论文+代码笔记

模型压缩实践收尾篇——模型蒸馏以及其他一些技巧实践小结

中文命名实体识别工具(NER)哪家强?

学自然语言处理,其实更应该学好英语

斯坦福大学NLP组Python深度学习自然语言处理工具Stanza试用

关于AINLP

AINLP 是一个有趣有AI的自然语言处理社区,专注于 AI、NLP、机器学习、深度学习、推荐算法等相关技术的分享,主题包括文本摘要、智能问答、聊天机器人、机器翻译、自动生成、知识图谱、预训练模型、推荐系统、计算广告、招聘信息、求职经验分享等,欢迎关注!加技术交流群请添加AINLPer(id:ainlper),备注工作/研究方向+加群目的。


阅读至此了,分享、点赞、在看三选一吧🙏

登录查看更多
1

相关内容

决策树(Decision Tree)是在已知各种情况发生概率的基础上,通过构成决策树来求取净现值的期望值大于等于零的概率,评价项目风险,判断其可行性的决策分析方法,是直观运用概率分析的一种图解法。由于这种决策分支画成图形很像一棵树的枝干,故称决策树。在机器学习中,决策树是一个预测模型,他代表的是对象属性与对象值之间的一种映射关系。Entropy = 系统的凌乱程度,使用算法ID3, C4.5和C5.0生成树算法使用熵。这一度量是基于信息学理论中熵的概念。 决策树是一种树形结构,其中每个内部节点表示一个属性上的测试,每个分支代表一个测试输出,每个叶节点代表一种类别。 分类树(决策树)是一种十分常用的分类方法。他是一种监管学习,所谓监管学习就是给定一堆样本,每个样本都有一组属性和一个类别,这些类别是事先确定的,那么通过学习得到一个分类器,这个分类器能够对新出现的对象给出正确的分类。这样的机器学习就被称之为监督学习。

知识荟萃

精品入门和进阶教程、论文和代码整理等

更多

查看相关VIP内容、论文、资讯等
机器学习的可解释性
专知会员服务
178+阅读 · 2020年8月27日
基于改进卷积神经网络的短文本分类模型
专知会员服务
26+阅读 · 2020年7月22日
AI从业者必须了解的决策树指南
AI前线
7+阅读 · 2019年1月14日
决策树
Datartisan数据工匠
4+阅读 · 2018年4月19日
通俗的将Xgboost的原理讲明白
数据挖掘入门与实战
3+阅读 · 2018年3月23日
机器学习面试题精讲(一)
七月在线实验室
4+阅读 · 2018年1月11日
算法|随机森林(Random Forest)
全球人工智能
3+阅读 · 2018年1月8日
从决策树到随机森林:树型算法的原理与实现
机器之心
8+阅读 · 2017年7月31日
机器学习算法实践:朴素贝叶斯 (Naive Bayes)
Python开发者
3+阅读 · 2017年7月22日
机器学习算法实践:决策树 (Decision Tree)
Python开发者
9+阅读 · 2017年7月17日
Arxiv
0+阅读 · 2021年4月22日
Meta-Learning to Cluster
Arxiv
18+阅读 · 2019年10月30日
Arxiv
4+阅读 · 2018年10月31日
Neural Arithmetic Logic Units
Arxiv
5+阅读 · 2018年8月1日
VIP会员
相关资讯
AI从业者必须了解的决策树指南
AI前线
7+阅读 · 2019年1月14日
决策树
Datartisan数据工匠
4+阅读 · 2018年4月19日
通俗的将Xgboost的原理讲明白
数据挖掘入门与实战
3+阅读 · 2018年3月23日
机器学习面试题精讲(一)
七月在线实验室
4+阅读 · 2018年1月11日
算法|随机森林(Random Forest)
全球人工智能
3+阅读 · 2018年1月8日
从决策树到随机森林:树型算法的原理与实现
机器之心
8+阅读 · 2017年7月31日
机器学习算法实践:朴素贝叶斯 (Naive Bayes)
Python开发者
3+阅读 · 2017年7月22日
机器学习算法实践:决策树 (Decision Tree)
Python开发者
9+阅读 · 2017年7月17日
相关论文
Arxiv
0+阅读 · 2021年4月22日
Meta-Learning to Cluster
Arxiv
18+阅读 · 2019年10月30日
Arxiv
4+阅读 · 2018年10月31日
Neural Arithmetic Logic Units
Arxiv
5+阅读 · 2018年8月1日
Top
微信扫码咨询专知VIP会员