论文浅尝 - ICLR2020 | 通过神经逻辑归纳学习有效地解释

2020 年 6 月 17 日 开放知识图谱

论文笔记整理:朱渝珊,浙江大学直博生。研究方向:知识图谱,快速表示学习等。




论文链接:https://arxiv.org/pdf/1910.02481.pdf



本文是ICLR 2020的一篇关于知识图谱中关于复杂(树状、组合)规则可微学习的文章。提出了神经逻辑归纳学习(NLIL),一种可微分的ILP方法,扩展了针对一般ILP问题的多跳推理框架。NLIL将搜索空间分解为一个层次结构中的3个子空间,每个子空间都可以通过注意力高效地进行搜索。作者证明通过种方式模型可搜索规则比使用NeuralLP等方式搜索的规则长10倍,且拥有更快的速度


1. 相关背景

1.1 Inductive Logic Programming (ILP)

一阶逻辑系统3个组件:实体,谓词和公式。以下图为例:

实体是对象x∈X。图像某区域是实体x,所有可能区域集合是X。

谓词是将实体映射到0或1的函数,Person:x →{0,1},x∈X。谓词可有多个输入Inside接受2输入的谓词参数的数量称为Arity。原子是应用于逻辑变量的谓词符号,如person(X)和Inside(X,X')。

一阶逻辑(FOL)公式是使用逻辑运算{∧,∨,¬}的原子的组合。给定一组谓词P ={P1...PK},谓词Pk的解释定义为一阶逻辑蕴涵

   Pk(X,X')是蕴涵的头,如它是一元谓词,则为Pk(X)。A为规则主体

代表着这样的知识:“如果物体在车内,身上有衣服,那就是人”。


1.2 多跳推理:

ILP问题与KG多跳推理任务相关。此处,事实存储在谓词Pk的二进制矩阵Mk中,Mk(i,j)=1表明三元组 在KG中。

给定查询q=

M(t)是在第 t 跳中用的谓词的邻接矩阵。v(t)是路径特征向量,v(t)中第j个元素计算从x到xj的唯一路径的数量。经过T步推理后,查询的分数计算为

对于每个q,目标是(i)找到一个合适的T,(ii)为每个t∈[1,2,...,T],找到一个合适的M(t),使得score最大。这两个离散的选择可以放宽,即

此为软路径选择函数,参数为

(i)路径注意向量,选择长度在1到T之间回答查询的最佳路径。

(ii)谓词注意向量,在第t步选择M(t)。

这两个注意向量是通过下述模型生成的

参数w可学习。以前的一些方法,T(x; w)是一个随机游动采样器,它会生成one-hot向量来模拟从x开始的图形上的随机游动。在NeuralLP中,T(x; w)是一个RNN控制器,目标定义为

在多跳推理中学习关系路径可以解释为使用链状FOL(一阶逻辑)规则解决ILP问题

与基于模板的ILP方法(如∂ILP)比,此类方法在规则探索和评估中非常有效。但是,存在两个问题

(P1)规则的表达性不足,仅能表达链状规则,例如等式(2)不是链状的就不能表示。

(P2)注意生成器T(x; w)取决于特定查询q的实体x,这意味着针对目标P*生成的解释可能因查询而异,很难学习KG中全局一致的FOL规则。


2. 算法模型

推理过程中所有中间实体都用首尾实体表示

如上将公式(1)转换为(7)所示,实现方法就是通过转换的函数(操作符):将每个谓词k都视为一个操作符ϕk,如下所示,U是一元谓词,B是二元谓词

则规则(2)可以表述成规则(8),这样首尾实体在具体实现时用随机初始化的向量表示,摆脱了数据依赖


扩展到树状规则

提出Primitive Statements(基本语句)的概念,公式(8)可视为两个基本语句组成,

每个基本语句都是从输入空间映射到一个置信度得分标量

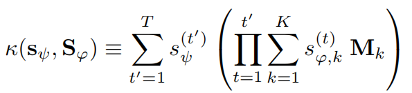
公式(3)可表示为

如下图所示,树状规则可表示为


规则之间的组合

把基本语句用{∧,∨,¬}进行逻辑组合,如公式(8)就是两个基本语句的逻辑“and”操作。逻辑 “not” 及逻辑 “and” 运算如下表示

第l级的公式集以及最后的得分就可如下方式推得

整个流程可以如下图所示

其中都是注意力,W/sum 是加权和,Matmul 指矩阵乘积,Neg 是逻辑“not”,XEnt 是交叉熵。

具体实现上:Hierarchical Transformer Networks for Rule Generation,引入“虚拟”自变量X和X’,学习的参数有逻辑谓词向量 和相应的注意力参数,公式为

其中h*是P*的嵌入,因此注意力仅相对于P*有所不同。


3. 实验

Baseline

•NeuralLP  (Yang , 2017)

•∂ILP  (Evans , 2018)

•TransE  (Bordes , 2013)

•RotatE  (Sun , 2019)

Dataset

•ES(Even-and-Successor)  (Evans , 2018) :两个一元谓词Even,Zero和一个二元谓词Successor。目标是学习一组整数上的FOL规则。本文对从0开始的10、50和1K个连续整数评估。

•FB15K-237

•WN18

•VG(Visual Genome),视觉领域数据,以物体检测任务为基础,将图片上的物体之间的关系抽象成小的知识图谱


FB15k-237和WN18数据上链接预测


ES数据上与不同算法对比,(a)时间 (mins)(b)规则长度


VG数据集,不同training-set大小

虽然基于丰富标签数据的监督学习方法达到了比较好的效果,但是NLIL仅仅利用稀疏的(0/1)标签就能达到匹敌的效果,甚至显著优于一种监督模型baseline的效果,进一步体现出了模型的有效性。在少样本学习(训练样本仅0.01%)也体现出更好性能


4.总结

本文提出了神经逻辑归纳学习,这是一个可区分的ILP框架,可以从数据中学习解释性规则。

证明了NLIL可以扩展到非常大的数据集,同时能够搜索复杂的表达规则。更重要的是,本文还证明了可扩展的ILP方法在解释监督模型的决策方面是有效的,这为检查机器学习系统的决策过程提供了另一种视角。



 


 

OpenKG


开放知识图谱(简称 OpenKG)旨在促进中文知识图谱数据的开放与互联,促进知识图谱和语义技术的普及和广泛应用。

点击阅读原文,进入 OpenKG 博客。


登录查看更多
6

相关内容

归纳逻辑程序设计(ILP)是机器学习的一个分支,它依赖于逻辑程序作为一种统一的表示语言来表达例子、背景知识和假设。基于一阶逻辑的ILP具有很强的表示形式,为多关系学习和数据挖掘提供了一种很好的方法。International Conference on Inductive Logic Programming系列始于1991年,是学习结构化或半结构化关系数据的首要国际论坛。最初专注于逻辑程序的归纳,多年来,它大大扩展了研究范围,并欢迎在逻辑学习、多关系数据挖掘、统计关系学习、图形和树挖掘等各个方面作出贡献,学习其他(非命题)基于逻辑的知识表示框架,探索统计学习和其他概率方法的交叉点。官网链接:https://ilp2019.org/
专知会员服务
51+阅读 · 2020年7月16日
【ICML2020】持续图神经网络,Continuous Graph Neural Networks
专知会员服务
151+阅读 · 2020年6月28日
【斯坦福CS520】向量空间中嵌入的知识图谱推理,48页ppt
专知会员服务
104+阅读 · 2020年6月11日
麻省理工学院MIT-ICLR2020《神经网络能推断出什么?》
专知会员服务
51+阅读 · 2020年2月19日
八篇NeurIPS 2019【图神经网络(GNN)】相关论文
专知会员服务
44+阅读 · 2020年1月10日
论文浅尝 | ICLR2020 - 基于组合的多关系图卷积网络
开放知识图谱
21+阅读 · 2020年4月24日
论文浅尝 | 基于复杂查询图编码的知识库问答
开放知识图谱
17+阅读 · 2019年7月22日
论文浅尝 | 一种可解释的语义匹配复值网络
开放知识图谱
6+阅读 · 2019年6月25日
论文浅尝 | 时序与因果关系联合推理
开放知识图谱
36+阅读 · 2019年6月23日
论文浅尝 | 一种用于多关系问答的可解释推理网络
开放知识图谱
18+阅读 · 2019年5月21日
论文浅尝 | 用于知识图中链接预测的嵌入方法 SimplE
开放知识图谱
23+阅读 · 2019年4月3日
论文浅尝 | 用可微的逻辑规则学习完成知识库推理
开放知识图谱
14+阅读 · 2018年7月5日
Arxiv
17+阅读 · 2019年3月28日
Arxiv
23+阅读 · 2018年8月3日
Neural Arithmetic Logic Units
Arxiv
5+阅读 · 2018年8月1日
Relational recurrent neural networks
Arxiv
8+阅读 · 2018年6月28日
Arxiv
4+阅读 · 2018年1月29日
Arxiv
6+阅读 · 2018年1月11日
VIP会员
相关VIP内容
专知会员服务
51+阅读 · 2020年7月16日
【ICML2020】持续图神经网络,Continuous Graph Neural Networks
专知会员服务
151+阅读 · 2020年6月28日
【斯坦福CS520】向量空间中嵌入的知识图谱推理,48页ppt
专知会员服务
104+阅读 · 2020年6月11日
麻省理工学院MIT-ICLR2020《神经网络能推断出什么?》
专知会员服务
51+阅读 · 2020年2月19日
八篇NeurIPS 2019【图神经网络(GNN)】相关论文
专知会员服务
44+阅读 · 2020年1月10日
相关资讯
论文浅尝 | ICLR2020 - 基于组合的多关系图卷积网络
开放知识图谱
21+阅读 · 2020年4月24日
论文浅尝 | 基于复杂查询图编码的知识库问答
开放知识图谱
17+阅读 · 2019年7月22日
论文浅尝 | 一种可解释的语义匹配复值网络
开放知识图谱
6+阅读 · 2019年6月25日
论文浅尝 | 时序与因果关系联合推理
开放知识图谱
36+阅读 · 2019年6月23日
论文浅尝 | 一种用于多关系问答的可解释推理网络
开放知识图谱
18+阅读 · 2019年5月21日
论文浅尝 | 用于知识图中链接预测的嵌入方法 SimplE
开放知识图谱
23+阅读 · 2019年4月3日
论文浅尝 | 用可微的逻辑规则学习完成知识库推理
开放知识图谱
14+阅读 · 2018年7月5日
相关论文
Top
微信扫码咨询专知VIP会员