傅立叶变换的直观解释 01

2018 年 10 月 23 日 遇见数学

英文: betterexplained.com/articles/an-interactive-guide-to-the-fourier-transform/
翻译: Sky.F    
校对: 
璐(物理专业户,一个脑洞清奇的逗比,热爱编程,喜欢琢磨细节)


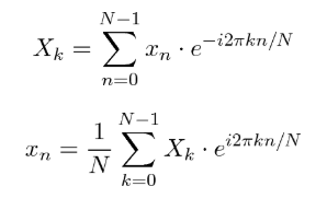
傅立叶变换是有史以来最深刻的洞见之一, 但不幸的是其含义被深埋于复杂的公式当中:

哇!与其直接去研究里面的符号,我们不如先去体验下傅立叶变换的核心思想!以下是一个白话比喻:

  • 傅立叶变换是干什么用的呢?我们拿到一个冰沙,它就可以告诉你其中的配方。

  • 如何办到呢?将冰沙送入美食分析仪,萃取出其中的每一种成分。

  • 为什么要这么做呢?因为配方相较于冰沙本身更容易进行分析、比较和改进。

以下是上述内容的“数学话”版本:

傅立叶变换会基于时间模式分析每个可能的周期,并得出一个全部的“周期配方”(振幅、偏移量及每个波形的转速)。

该是时候啃公式了?No!让我们先动动手,通过真实模拟来体会一下:任何的周期信号皆可由正弦曲线(波)构成。

如果一切顺利,我们将会顿悟领悟中的奥妙,并直观的体验到为什么说傅立叶变换是正确的。我们将细节上的数学分析留到后续部分。

这并不是强行略过相关公式,而是一段关于傅立叶变换轻松漫步之旅,也是我最初求之不得的体验。让我们开始吧!



从冰沙到它的配方

From Smoothie To Recipe

数学中的变换思想通常是改变看待某个概念的视角。我们对数量的概念可以从“数量1”(计数用一个个小棍)转换到“10的累加”(十进制的应用),具体要看计算的是什么。给一个比赛计分?那数数就够了。要是计算乘法?在十进制下就行。

傅立叶变换在这里则是将我们的角度从消费者转换到造物主,将“我拿的是什么?”变成“我拿的东西到底怎么做出来的?”

换言之:美味的冰沙已经在手,让我们来研究出它的配方究竟是什么吧。

为什么这么做呢?嗯,因为配方是对饮料的绝佳诠释。你不会一滴一滴的分析,总会说“我有一杯桔子/草莓/香蕉冰沙”。配方相较于冰沙本身更容易分类、比较和改良。

所以说…当我们已经有了某种冰沙,我们如何才能得出其配方呢?

首先,想象你手边有一些过滤器:

  • 当流过“香蕉”过滤器时, 滤出了1盎司香蕉。

  • 当流过“桔子”过滤器时, 滤出了2盎司桔子。

  • 当流过“牛奶”过滤器时, 滤出了3盎司牛奶。

  • 当流过“水”过滤器时, 滤出了3盎司水。

通过使用不同过滤器分离出每一种成分实现对冰沙配方的反向工程。那么重点在于哪里呢?

各个过滤器必须是独立的。香蕉过滤器必须只滤香蕉不滤其它的。冰沙中即便加入了更多桔子也不能影响到其对香蕉的过滤结果。

所有过滤器缺一不可。如果缺失一种过滤器。我们将无法得出真正的配方(“嘿!余下剩余里面还有芒果成分呢。”)。我们的过滤器组必须能够捕捉到每一种成分。

目标的成分必须可自由组合。冰沙可以被分离和重组,没有任何问题。目标的各种成分在被分离和以任意顺序重组之后必须能得出相同的结果。



以波形看世界

See The World As Cycles

傅立叶变换有一个特别的观点:如果所有的信号都可以被过滤成一些圆周路径呢?

哇哦!这个想法简直不可思议,可怜的乔瑟夫·傅立叶的想法最初就被否决了。(这是真的吗乔?甚至一个阶梯图形都能由波形构成吗?)

除却数学界数十年来对其的讨论,我们还是期望学生们能够正常的接受这一概念。呃,现在让我们跟着直觉走吧。

通过傅立叶变换能够找到了信号的"配方",就像我们刚做的过滤操作一样:

  • 由输入一个时域信号开始

  • 应用过滤器来测出每个可能存在的“波形成分”

  • 收集起完整的配方,列出每一种“波形成分”的数量

在此暂停一下。此处将傅立叶变换的各种工程设计上的运用简单介绍下。别有压力,我们只当把这些应用例子当作是“哇哦!我们终于看到这些应用背后的本质了”的情况来看待就好。

  • 如果地震的振动可以被分解成具体“成分配方”(不同速度和振幅的振动),那么从建筑设计的角度来看就能够避免与其中的强波形产生共振。

  • 如果声波可以被分解为具体成分(低音和高音频率),我们可以增幅想要的部分,降低我们不想要的部分。随机噪音的爆裂声亦可以被消除。也许类似的“声音配方”可以实现音频的比较(识别出某段音频这样的方法会比较声音的"配方",而不是播放音碟来比较)。

  • 如果电脑数据能用震荡模型来表现,那么最不重要的部分即可被忽略。“有损压缩”可以惊人地将文件压缩到一个很小的大小(这也是为什么JPEG格式和MP3格式文件比未处理的bmp格式和wav格式文件要小的多)。

  • 如果无线电波是我们的目标信号,我们可以用过滤器听到某个特定的频道。在上述我们冰沙的世界,想象每种过滤器负责不同成分地处理,例如:亚当负责苹果,鲍勃负责香蕉,查理负责花椰菜。

傅立叶转换在工程设计中的实用性确实很强,但它其实更是一种隐喻,其意义在于透过现象抵达事物的根源。



考虑到波形并不仅仅是指正弦波(曲线)

Think With Circles, Not Just Sinusoids

困扰我的大谜题之一就是如何区分“波”和“正弦波”的概念。

  • “正弦波”是一种反复震荡的模型(一条正弦或余弦波),并且它描述的是波形在一个维度里的运动(推荐阅读《正弦曲线的直观解释》)。

  • “波”就是一个圆周,其2D模型你大概清楚。如果你喜欢用复杂的语言来描述简单的想法,你可以称一个圆周轨迹为“复正弦曲线”。

但把圆周轨迹标成是“复正弦曲线”,就像将一个普通词汇复杂化。那么你们就将视野聚焦到了一个错误层面的细节上。语言的关键在于概念的阐述,而不在于套用什么文字。

傅立叶转换的结果是圆周轨迹(而不是单象限正弦波),而欧拉公式就是一个非常聪明的方式来产出这一结果:

难道我们必须要用复指数函数来介绍?不是,但这样会更方便、更紧凑直观。当然,我们可以将路径描述为二维(实数和虚数)坐标系下地运动,但别忘了总的来说我们只是在描述一个圆周运动的轨迹而已。(未完待续)

登录查看更多
3

相关内容

【ICML2020】持续图神经网络,Continuous Graph Neural Networks
专知会员服务
151+阅读 · 2020年6月28日
【MIT-ICML2020】图神经网络的泛化与表示的局限
专知会员服务
43+阅读 · 2020年6月23日
《代码整洁之道》:5大基本要点
专知会员服务
50+阅读 · 2020年3月3日
【NeurIPS2019】图变换网络:Graph Transformer Network
专知会员服务
112+阅读 · 2019年11月25日
手把手解释实现频谱图卷积
AI科技评论
9+阅读 · 2019年9月9日
干货 | 可解释的机器学习
AI科技评论
20+阅读 · 2019年7月3日
特征方程的物理意义
算法与数学之美
6+阅读 · 2019年5月13日
可视化理解四元数,愿你不再掉头发
计算机视觉life
31+阅读 · 2019年1月2日
【机器学习数学基础】动图解释泰勒级数(一)
机器学习研究会
6+阅读 · 2018年2月25日
傅里叶变换和拉普拉斯变换的物理解释及区别
算法与数学之美
11+阅读 · 2018年2月5日
干货|通俗易懂地解释EM算法并举例说明?
机器学习研究会
12+阅读 · 2017年11月17日
【直观详解】什么是PCA、SVD
机器学习研究会
5+阅读 · 2017年11月10日
PCA的基本数学原理
算法与数学之美
11+阅读 · 2017年8月8日
A Survey on Edge Intelligence
Arxiv
52+阅读 · 2020年3月26日
Arxiv
19+阅读 · 2018年10月25日
Arxiv
5+阅读 · 2018年6月12日
Arxiv
8+阅读 · 2018年5月21日
Arxiv
11+阅读 · 2018年3月23日
VIP会员
相关资讯
手把手解释实现频谱图卷积
AI科技评论
9+阅读 · 2019年9月9日
干货 | 可解释的机器学习
AI科技评论
20+阅读 · 2019年7月3日
特征方程的物理意义
算法与数学之美
6+阅读 · 2019年5月13日
可视化理解四元数,愿你不再掉头发
计算机视觉life
31+阅读 · 2019年1月2日
【机器学习数学基础】动图解释泰勒级数(一)
机器学习研究会
6+阅读 · 2018年2月25日
傅里叶变换和拉普拉斯变换的物理解释及区别
算法与数学之美
11+阅读 · 2018年2月5日
干货|通俗易懂地解释EM算法并举例说明?
机器学习研究会
12+阅读 · 2017年11月17日
【直观详解】什么是PCA、SVD
机器学习研究会
5+阅读 · 2017年11月10日
PCA的基本数学原理
算法与数学之美
11+阅读 · 2017年8月8日
Top
微信扫码咨询专知VIP会员