三角学回顾02 - 普林斯顿微积分读本

2018 年 9 月 16 日 遇见数学


微积分是一门研究变化的学问

本书不仅让学生们能有效地学习微积分,更重要的是提供了战胜微积分的可靠工具。 

下文节选自《普林斯顿微积分读本》, 已获出版社授权许可, [遇见数学] 特此表示感谢! 


2.3 三角函数的图像

记住正弦、余弦和正切函数的图像会非常有用. 这些函数都是周期的, 这意味着, 它们从左到右反复地重复自己. 例如, 我们考虑 y = sin (x). 从 0 到 2π 的图像看上去如图 2-14 所示.

图 2-14

你应该做到能够不假思索就画出这个图像, 包括 0, π/2, π, 3π/2 和 2π 的位置. 由于 sin (x) 以 2π 为单位重复 (我们说 sin (x) 是 x的周期函数, 其周期为 2π), 通过重复该模式, 我们可以对图像进行扩展, 得到图 2-15.

图 2-15

 从图像中读值, 可以看到 sin (3π/2) = -1, sin (-π) = 0. 正如之前注意到的, 你应该这样去处理 π/2 的倍数的问题, 而不用再找参考角那么麻烦了. 另一个值得注意的是, 该图像关于原点有 180° 点对称性, 这意味着, sin (x) 是 x 的奇函数. (我们在 1.4 节中分析过奇偶函数.)

y = cos (x) 的图像和 y = sin (x) 的图像类似. 当 x 在从 0 到 2π 上变化时, 它看起来就像图 2-16.

图 2-16

现在, 利用 cos (x) 是周期函数及其周期为 2π 这一事实, 可对该图像进行扩展, 得到图 2-17.

图 2-17

例如, 如果你想要求 cos (π), 只需从图像上读取, 你会看到结果是 -1. 此外, 注意到该图像关于 y 轴有镜面对称性. 这说明, cos (x) 是 x 的偶函数.

现在, y = tan (x) 略有不同. 最好是先画出 x 介于 -π/2 到 π/2 的图像, 如图 2-18 所示.

图 2-18

与正弦函数和余弦函数不同的是, 正切函数有垂直渐近线. 此外, 它的周期是 π, 而不是 2π. 因此, 上述图样可以被重复以便得到 y = tan (x) 的全部图像, 如图 2-19 所示.

图 2-19

很明显, 当 x 是 π/2 的奇数倍数时, y = tan (x) 有垂直渐近线 (因而此处是无定义的). 此外, 图像的对称性表明, tan (x) 是 x 的奇函数.

y = sec (x)、y = csc (x) 及 y = cot (x) 的函数图像也值得我们去学习, 它们如下图 所示.

从它们的图像中, 可以得到所有六个基本三角函数的对称性的性质, 这些也都值得学习.

因此, 对于所有的实数 x, 我们有 sin (-x) = -sin (x), tan (-x) = -tan (x), cos (-x) = cos (x).

向上滑动阅览简介及目录 

者:阿德里安·班纳
者:杨爽 , 赵晓婷 , 高璞
出版社:人邮出版社图灵数学

二维码或点击【阅读原文】
跳转遇见微店购买, 然后可领取50-15非图书类优惠券

本书阐述了求解微积分的技巧,详细讲解了微积分基础、极限、连续、微分、导数的应用、积分、无穷级数、泰勒级数与幂级数等内容,旨在教会读者如何思考问题从而找到解题所需的知识点,着重训练大家自己解答问题的能力。

本书适用于大学低年级学生、高中高年级学生、想学习微积分的数学爱好者以及广大数 学教师。本书既可作为教材、习题集,也可作为学习指南,同时还有利于教师备课。

目录

第1章函数、图像和直线 
1.1 函数 
1.1.1 区间表示法 
1.1.2 求定义域 
1.1.3 利用图像求值域 
1.1.4 垂线检验 
1.2 反函数 
1.2.1 水平线检验 
1.2.2 求反函数 
1.2.3 限制定义域 
1.2.4 反函数的反函数 
1.3 函数的复合 
1.4 奇函数和偶函数 
1.5 线性函数的图像 
1.6 常见函数及其图像 
第2 章三角学回顾 
2.1 基本知识 
2.2 扩展三角函数定义域 
2.2.1 ASTC方法 
2.2.2 (0,2π)以外的三角函数 
2.3 三角函数的图像 
2.4 三角恒等式 
第3 章极限导论 
3.1 极限:基本思想 
3.2 左极限与右极限 
3.3 何时不存在极限 
3.4 在∞和—∞处的极限 
3.5 关于渐近线的两个常见误解 
3.6 三明治定理 
3.7 极限的基本类型小结 
第4 章求解多项式的极限问题 
4.1 x→a时的有理函数的极限 
4.2 x→a时的平方根的极限 
4.3 x→∞时的有理函数的极限 
4.4 x→∞时的多项式型函数的极限 
4.5 x→—∞时的有理函数的极限 
4.6 包含绝对值的函数的极限 
第5 章连续性和可导性 
5.1 连续性 
5.1.1 在一点处连续 
5.1.2 在一个区间上连续 
5.1.3 连续函数的一些例子 
5.1.4 介值定理 
5.1.5 一个更难的介值定理 
例子 
5.1.6 连续函数的最大值和 
最小值 
5.2 可导性 
5.2.1 平均速率 
5.2.2 位移和速度 
5.2.3 瞬时速度 
5.2.4 速度的图像阐释 
5.2.5 切线 
5.2.6 导函数 
5.2.7 作为极限比的导数 
5.2.8 线性函数的导数 
5.2.9 二阶导数和更高阶导数 
5.2.10 何时导数不存在 
5.2.11 可导性和连续性 
第6 章求解微分问题 
6.1 使用定义求导 
6.2 用更好的办法求导 
6.2.1 函数的常数倍 
6.2.2 函数和与函数差 
6.2.3 通过乘积法则求积函数的导数 
6.2.4 通过商法则求商函数的导数 
6.2.5 通过链式求导法则求复合函数的导数 
6.2.6 那个难以处理的例子 
6.2.7 乘积法则和链式求导法则的理由 
6.3 求切线方程 
6.4 速度和加速度 
6.5 导数伪装的极限 
6.6 分段函数的导数 
6.7 直接画出导函数的图像 
第7 章三角函数的极限和导数 
7.1 三角函数的极限 
7.1.1 小数的情况 
7.1.2 问题的求解——小数的情况 
7.1.3 大数的情况 
7.1.4 其他的"情况 
7.1.5 一个重要极限的证明 
7.2 三角函数的导数 
7.2.1 求三角函数导数的例子 
7.2.2 简谐运动 
7.2.3 一个有趣的函数 
第8 章隐函数求导和相关变化率 
8.1 隐函数求导 
8.1.1 技巧和例子 
8.1.2 隐函数求二阶导 
8.2 相关变化率 
8.2.1 一个简单的例子 
8.2.2 一个稍难的例子 
8.2.3 一个更难的例子 
8.2.4 一个非常难的例子 
第9 章指数函数和对数函数 
9.1 基础知识 
9.1.1 指数函数的回顾 
9.1.2 对数函数的回顾 
9.1.3 对数函数、指数函数及反函数 
9.1.4 对数法则 
9.2 e的定义 
9.2.1 一个有关复利的问题 
9.2.2 问题的答案 
9.2.3 更多关于e和对数函数的内容 
9.3 对数函数和指数函数求导 
9.4 求解指数函数或对数函数的极限 
9.4.1 涉及e的定义的极限 
9.4.2 指数函数在0附近的行为 
9.4.3 对数函数在1附近的行为 
9.4.4 指数函数在∞或—∞附近的行为 
9.4.5 对数函数在∞附近的行为 
9.4.6 对数函数在0附近的行为 
9.5 取对数求导法 
9.6 指数增长和指数衰变 
9.6.1 指数增长 
9.6.2 指数衰变 
9.7 双曲函数 
第10 章反函数和反三角函数 
10.1 导数和反函数 
10.1.1 使用导数证明反函数存在 
10.1.2 导数和反函数:可能出现的问题 
10.1.3 求反函数的导数 
10.1.4 一个综合性例子 
10.2 反三角函数 
10.2.1 反正弦函数 
10.2.2 反余弦函数 
10.2.3 反正切函数 
10.2.4 反正割函数 
10.2.5 反余割函数和反余切函数 
10.2.6 计算反三角函数 
10.3 反双曲函数 
第11 章导数和图像 
11.1 函数的极值 
11.1.1 全局极值和局部极值 
11.1.2 极值定理 
11.1.3 求全局最大值和最小值 
11.2 罗尔定理 
11.3 中值定理 
11.4 二阶导数和图像 
11.5 对导数为零点的分类 
11.5.1 使用一次导数 
11.5.2 使用二阶导数 
第12 章绘制函数图像 
12.1 建立符号表格 
12.1.1 建立一阶导数的符号表格 
12.1.2 建立二阶导数的符号表格 
12.2 绘制函数图像的全面方法 
12.3 例题 
12.3.1 一个不使用导数的例子 
12.3.2 完整的方法:例一 
12.3.3 完整的方法:例二 
12.3.4 完整的方法:例三 
12.3.5 完整的方法:例四 
第13 章最优化和线性化 
13.1 最优化 
13.1.1 一个简单的最优化例子 
13.1.2 最优化问题:一般方法 
13.1.3 一个最优化的例子 
13.1.4 另一个最优化的例子 
13.1.5 在最优化问题中使用隐函数求导 
13.1.6 一个较难的最优化例子 
13.2 线性化 
13.2.1 线性化问题:一般方法 
13.2.2 微分 
13.2.3 线性化的总结和例子 
13.2.4 近似中的误差 
13.3 牛顿法 
第14 章洛必达法则及极限问题总结 
14.1 洛必达法则 
14.1.1 类型A:0/0 
14.1.2 类型A:±∞/±∞ 
14.1.3 类型B1:(∞—∞) 
14.1.4 类型B2:(0x±∞) 
14.1.5 类型C:1±∞,00或∞0 
14.1.6 洛必达法则类型的总结 
14.2 关于极限的总结 
第15 章积分 
15.1 求和符号 
15.1.1 一个有用的求和 
15.1.2 伸缩求和法 
15.2 位移和面积 
15.2.1 三个简单的例子 
15.2.2 一段更常规的旅行 
15.2.3 有向面积 
15.2.4 连续的速度 
15.2.5 两个特别的估算 
第16 章定积分 
16.1 基本思想 
16.2 定积分的定义 
16.3 定积分的性质 
16.4 求面积 
16.4.1 求通常的面积 
16.4.2 求解两条曲线之间的面积 
16.4.3 求曲线与y轴所围成的面积 
16.5 估算积分 
16.6 积分的平均值和中值定理 
16.7 不可积的函数 
第17 章微积分基本定理 
17.1 用其他函数的积分来表示的函数 
17.2 微积分的第一基本定理 
17.3 微积分的第二基本定理 
17.4 不定积分 
17.5 怎样解决问题:微积分的第一基本定理 
17.5.1 变形1:变量是积分下限 
17.5.2 变形2:积分上限是一个函数 
17.5.3 变形3:积分上下限都为函数 
17.5.4 变形4:极限伪装成导数 
17.6 怎样解决问题:微积分的第二基本定理 
17.6.1 计算不定积分 
17.6.2 计算定积分 
17.6.3 面积和绝对值 
17.7 技术要点 
17.8 微积分第一基本定理的证明 
第18 章积分的方法I 
18.1 换元法 
18.1.1 换元法和定积分 
18.1.2 如何换元 
18.1.3 换元法的理论解释 
18.2 分部积分法 
18.3 部分分式 
18.3.1 部分分式的代数运算 
18.3.2 对每一部分积分 
18.3.3 方法和一个完整的例子 
第19 章积分的方法II 
19.1 应用三角恒等式的积分 
19.2 关于三角函数的幂的积分 
19.2.1 sin或cos的幂 
19.2.2 tan的幂 
19.2.3 sec的幂 
19.2.4 cot的幂 
19.2.5 csc的幂 
19.2.6 约化公式 
19.3 关于三角换元法的积分 
19.3.1 类型1:pa2?x2 
19.3.2 类型2:px2+a2 
19.3.3 类型3:px2?a2 
19.3.4 配方和三角换元法 
19.3.5 关于三角换元法的总结 
19.3.6 平方根的方法和三角换元法 
19.4 积分技巧总结 
第20 章反常积分:基本概念 
20.1 收敛和发散 
20.1.1 反常积分的一些例子 
20.1.2 其他破裂点 
20.2 关于无穷区间上的积分 
20.3 比较判别法(理论) 
20.4 极限比较判别法(理论) 
20.4.1 函数互为渐近线 
20.4.2 关于判别法的陈述 
20.5 p判别法(理论) 
20.6 绝对收敛判别法 
第21 章反常积分:如何解题 
21.1 如何开始 
21.1.1 拆分积分 
21.1.2 如何处理负函数值 
21.2 积分判别法总结 
21.3 常见函数在∞和—∞附近的表现 
21.3.1 多项式和多项式型函数在∞和—∞附近的表现 
21.3.2 三角函数在∞和—∞附近的表现 
21.3.3 指数在∞和—∞附近的表现 
21.3.4 对数在∞附近的表现 
21.4 常见函数在0附近的表现 
21.4.1 多项式和多项式型函数在0附近的表现 
21.4.2 三角函数在0附近的表现 
21.4.3 指数函数在0附近的表现 
21.4.4 对数函数在0附近的表现 
21.4.5 更一般的函数在0附近的表现 
21.5 如何应对不在0或1处的瑕点 
第22 章数列和级数:基本概念 
22.1 数列的收敛和发散 
22.1.1 数列和函数的联系 
22.1.2 两个重要数列 
22.2 级数的收敛与发散 
22.3 第n项判别法(理论) 
22.4 无穷级数和反常积分的性质 
22.4.1 比较判别法(理论) 
22.4.2 极限比较判别法(理论) 
22.4.3 p判别法(理论) 
22.4.4 绝对收敛判别法 
22.5 级数的新判别法 
22.5.1 比式判别法(理论) 
22.5.2 根式判别法(理论) 
22.5.3 积分判别法(理论) 
22.5.4 交错级数判别法(理论) 
第23 章求解级数问题 
23.1 求几何级数的值 
23.2 应用第n项判别法 
23.3 应用比式判别法 
23.4 应用根式判别法 
23.5 应用积分判别法 
23.6 应用比较判别法、极限比较判别法和p判别法 
23.7 应对含负项的级数 
第24 章泰勒多项式、泰勒级数和幂级数导论 
24.1 近似值和泰勒多项式 
24.1.1 重访线性化 
24.1.2 二次近似 
24.1.3 高阶近似 
24.1.4 泰勒定理 
24.2 幂级数和泰勒级数 
24.2.1 一般幂级数 
24.2.2 泰勒级数和麦克劳林级数 
24.2.3 泰勒级数的收敛性 
24.3 一个有用的极限 
第25 章求解估算问题 
25.1 泰勒多项式与泰勒级数总结 
25.2 求泰勒多项式与泰勒级数 
25.3 用误差项估算问题 
25.3.1 第一个例子 
25.3.2 第二个例子 
25.3.3 第三个例子 
25.3.4 第四个例子 
25.3.5 第五个例子 
25.3.6 误差项估算的一般方法 
25.4 误差估算的另一种方法 
第26 章泰勒级数和幂级数:如何解题 
26.1 幂级数的收敛性 
26.1.1 收敛半径 
26.1.2 求收敛半径和收敛区域 
26.2 合成新的泰勒级数 
26.2.1 代换和泰勒级数 
26.2.2 泰勒级数求导 
26.2.3 泰勒级数求积分 
26.2.4 泰勒级数相加和相减 
26.2.5 泰勒级数相乘 
26.2.6 泰勒级数相除 
26.3 利用幂级数和泰勒级数求导 
26.4 利用麦克劳林级数求极限 
第27 章参数方程和极坐标 
27.1 参数方程 
27.2 极坐标 
27.2.1 极坐标与笛卡儿坐标互换 
27.2.2 极坐标系中画曲线 
27.2.3 求极坐标曲线的切线 
27.2.4 求极坐标曲线围成的面积 
第28 章复数 
28.1 基础 
28.2 复平面 
28.3 复数的高次幂 
28.4 解zn=w 
28.5 解ez=w 
28.6 一些三角级数 
28.7 欧拉恒等式和幂级数 
第29 章体积、弧长和表面积 
29.1 旋转体的体积 
29.1.1 圆盘法 
29.1.2 壳法 
29.1.3 总结和变式 
29.1.4 变式1:区域在曲线和y轴之间 
29.1.5 变式2:两曲线间的区域 
29.1.6 变式3:绕平行于坐标轴的轴旋转 
29.2 一般立体体积 
29.3 弧长 
29.4 旋转体的表面积 
第30 章微分方程 
30.1 微分方程导论 
30.2 可分离变量的一阶微分方程 
30.3 一阶线性方程 
30.4 常系数微分方程 
30.4.1 解一阶齐次方程 
30.4.2 解二阶齐次方程 
30.4.3 为什么特征二次方程适用 
30.4.4 非齐次方程和特解 
30.4.5 求特解 
30.4.6 求特解的例子 
30.4.7 解决yP和yH间的冲突 
30.4.8 IVP 
30.5 微分方程建模 
附录A 极限及其证明 
A.1 极限的正式定义 
A.2 由原极限产生新极限 
A.3 极限的其他情形 
A.4 连续与极限 
A.5 再谈指数函数和对数函数 
A.6 微分与极限 
A.7 泰勒近似定理的证明 
附录B 估算积分 
B.1 使用条纹估算积分 
B.2 梯形法则 
B.3 辛普森法则 
B.4 近似的误差 
符号列表 
索引



2.4 三角恒等式

三角函数间的关系用来十分方便. 首先, 注意到正切和余切可以由正弦和余弦来表示:

(有时, 根据这些恒等式, 用正弦和余弦来代替每一个正切和余切会有帮助, 但这只是你被卡住时不得已而为之的下下策.)

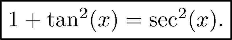
所有三角恒等式中最重要的就是毕达哥拉斯定理了 (用三角函数表示),

这对于任意的 x 都成立. (为什么这是毕达哥拉斯定理呢?如果直角三角形的斜边是 1, 其中一个角为 x, 自己验证三角形的其他两条边长就是 cos (x) 和 sin (x).)

 现在, 让这个等式两边同除以 cos2 (x). 你应该能够得到以下结果:

该公式在微积分里也会经常出现. 另外, 你也可以将毕达哥拉斯定理等式两边同除以 sin2 (x), 得到以下等式:

这个公式好像没有其他公式出现得那么频繁.

三角函数之间还有其他一些关系. 你注意到了吗?一些函数的名字是以音节 “co” 开头的. 这是 “互余” (complementary) 的简称. 说两个角互余, 意味着它们的和是 π/2 (或 90°). 可不是说它们相互恭维. 好吧, 不玩双关了, 事实是有以下一般关系:

三角函数 (x) = co-三角函数 .

特别地, 有:

甚至当三角函数名中已经带有一个 “co” 时, 以上公式仍然适用; 你只需要认识到, 余角的余角就是原始的角! 例如, co-co-sin 事实上就是 sin, co-co-tan 事实上就是 tan. 基本上, 这意味着我们还可以说:

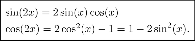
最后, 还有一组恒等式值得我们学习. 这些恒等式涉及角的和与倍角公式. 特别地, 我们应该记住下列公式:

还应该记住, 你可以切换所有的正号和负号, 得到一些相关的公式:

对于上述方框公式中的 sin (A + B) 和 cos (A + B), 令 A = B = x, 我们就会得到另一个有用的结果. 很明显, 正弦公式是 sin (2x) = 2 sin (x) cos (x). 但让我们更仔细看一下余弦公式. 它会变成 cos (2x) = cos2 (x) - sin2 (x); 这本身没错, 但更有用的是使用毕达哥拉斯定理 sin2 (x) + cos2 (x) = 1 将 cos (2x) 表示成为 2 cos2 (x) - 1 或 1 - 2 sin2 (x) (自已验证一下它们是成立的!). 综上, 倍角公式为:

 那么如何用 sin (x) 和 cos (x) 来表示 sin (4x) 呢?我们可以将 4x 看作两倍的 2x, 并使用正弦恒等式, 写作 sin (4x) = 2 sin (2x) cos (2x). 然后应用两个恒等式, 得到

类似地,

你不用记这后两个公式; 相反, 你要确保理解了如何使用倍角公式来推导它们. 如果你能够掌握本章涉及的所有三角学内容, 就能够很好地学习本书的剩余部分了. 因此, 抓紧时间消化这些知识吧. 做一些例题, 并确保你记住了那张很重要的表格和所有方框公式.(完)

登录查看更多
0

相关内容

泰勒级数的定义 若函数f(x)在点的某一邻域内具有直到(n+1)阶导数,则在该邻域内f(x)的n阶泰勒公式为: f(x)=f(x0)+f`( x0)(x- x0)+f``( x0)(x-x0)²/2!+f```( x0)(x- x0)³/3!+...fn(x0)(x- x0)n/n!+.... 其中:fn(x0)(x- x0)n/n!,称为拉格朗日余项。 以上函数展开式称为泰勒级数。
【2020新书】监督机器学习,156页pdf,剑桥大学出版社
专知会员服务
154+阅读 · 2020年6月27日
【干货书】R语言书: 编程和统计的第一课程,
专知会员服务
118+阅读 · 2020年5月9日
《深度学习》圣经花书的数学推导、原理与Python代码实现
博客 | MIT—线性代数(下)
AI研习社
6+阅读 · 2018年12月20日
博客 | MIT—线性代数(上)
AI研习社
9+阅读 · 2018年12月18日
合集 | 更好的解释(数学篇) 1~12
遇见数学
31+阅读 · 2018年10月11日
机器之心最干的文章:机器学习中的矩阵、向量求导
深度学习世界
12+阅读 · 2018年2月7日
图解高等数学|线性代数
遇见数学
39+阅读 · 2017年10月18日
如何用 3 个月零基础入门机器学习?
AI研习社
6+阅读 · 2017年9月27日
大学数学不好,或许是数学教材的锅?
算法与数学之美
15+阅读 · 2017年8月1日
【基础数学】- 01
遇见数学
20+阅读 · 2017年7月25日
Arxiv
4+阅读 · 2019年12月2日
The Evolved Transformer
Arxiv
5+阅读 · 2019年1月30日
Arxiv
8+阅读 · 2018年11月21日
Efficient and Effective $L_0$ Feature Selection
Arxiv
5+阅读 · 2018年8月7日
Doubly Attentive Transformer Machine Translation
Arxiv
4+阅读 · 2018年7月30日
VIP会员
相关资讯
博客 | MIT—线性代数(下)
AI研习社
6+阅读 · 2018年12月20日
博客 | MIT—线性代数(上)
AI研习社
9+阅读 · 2018年12月18日
合集 | 更好的解释(数学篇) 1~12
遇见数学
31+阅读 · 2018年10月11日
机器之心最干的文章:机器学习中的矩阵、向量求导
深度学习世界
12+阅读 · 2018年2月7日
图解高等数学|线性代数
遇见数学
39+阅读 · 2017年10月18日
如何用 3 个月零基础入门机器学习?
AI研习社
6+阅读 · 2017年9月27日
大学数学不好,或许是数学教材的锅?
算法与数学之美
15+阅读 · 2017年8月1日
【基础数学】- 01
遇见数学
20+阅读 · 2017年7月25日
Top
微信扫码咨询专知VIP会员