如何在类别不均衡的数据集上提高精度?

2019 年 11 月 11 日 计算机视觉life

点击上方“计算机视觉life”,选择“星标”

快速获得最新干货

作者:Vandit Jain

编译:ronghuaiyang(AI公园)


导读

本文是谷歌对CVPR ' 19上发表的一篇文章的综述,文章的标题是Class-Balanced Loss Based on Effective Number of Samples。它为最常用的损耗(softmax-cross-entropy、focal loss等)提出了一个针对每个类别的重新加权方案,能够快速提高精度,特别是在处理高度类不平衡的数据时


本文是谷歌对CVPR ' 19上发表的一篇文章的综述,文章的标题是Class-Balanced Loss Based on Effective Number of Samples

它为最常用的损耗(softmax-cross-entropy、focal loss等)提出了一个针对每个类别的重新加权方案,能够快速提高精度,特别是在处理高度类不平衡的数据时

论文的PyTorch实现源码:https://github.com/vandit15/Class-balanced-loss-pytorch

样本的有效数量

在处理长尾数据集(其中大部分样本属于很少的类,而许多其他类的样本非常少)的时候,如何对不同类的损失进行加权可能比较棘手。通常,权重设置为类样本的倒数或类样本的平方根的倒数。


传统的权重调整与这里提出的权重调整


然而,正如上面的图所示,这一过度是因为随着样本数量的增加,新数据点的带来的好处会减少。新添加的样本极有可能是现有样本的近似副本,特别是在训练神经网络时使用大量数据增强(如重新缩放、随机裁剪、翻转等)的时候,很多都是这样的样本。用有效样本数重新加权可以得到较好的结果。

有效样本数可以想象为n个样本所覆盖的实际体积,其中总体积N由总样本表示。

有效样本数量


我们写成:

有效样本数量


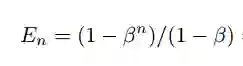
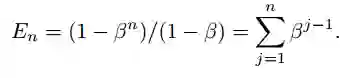
我们还可以写成下面这样:

每个样本的贡献


这意味着第j个样本对有效样本数的贡献为βj-1

上式的另一个含义是,如果β=0,则En=1。同样,当β→1的时候En→n。后者可以很容易地用洛必达法则证明。这意味着当N很大时,有效样本数与样本数N相同。在这种情况下,唯一原型数N很大,每个样本都是唯一的。然而,如果N=1,这意味着所有数据都可以用一个原型表示。

类别均衡损失

如果没有额外的信息,我们不能为每个类设置单独的Beta值,因此,使用整个数据的时候,我们将把它设置为一个特定的值(通常设置为0.9、0.99、0.999、0.9999中的一个)。

因此,类别均衡损失可表示为:

这里, L(p,y) 可以是任意的损失。

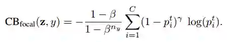
类别均衡Focal Loss


原始版本的focal loss有一个α平衡变量。这里,我们将使用每个类的有效样本数对其重新加权。

类似地,这样一个重新加权的项也可以应用于其他著名的损失(sigmod -cross-entropy, softmax-cross-entropy等)。

实现

在开始实现之前,需要注意的一点是,在使用基于sigmoid的损失进行训练时,使用b=-log(C-1)初始化最后一层的偏差,其中C是类的数量,而不是0。这是因为设置b=0会在训练开始时造成巨大的损失,因为每个类的输出概率接近0.5。因此,我们可以假设先验类是1/C,并相应地设置b的值。

每个类的权值的计算

计算归一化的权值


上面的代码行是获取权重并将其标准化的简单实现。

得到标签的onehot张量


在这里,我们得到权重的独热值,这样它们就可以分别与每个类的损失值相乘。

实验



类平衡提供了显著的收益,特别是当数据集高度不平衡时(不平衡= 200,100)。

结论

利用有效样本数的概念,可以解决数据重叠问题。由于我们没有对数据集本身做任何假设,因此重新加权通常适用于多个数据集和多个损失函数。因此,可以使用更合适的结构来处理类不平衡问题,这一点很重要,因为大多数实际数据集都存在大量的数据不平衡。


END


英文原文:https://towardsdatascience.com/handling-class-imbalanced-data-using-a-loss-specifically-made-for-it-6e58fd65ffab


高效对接AI领域项目合作、咨询服务、实习、求职、招聘等需求,背靠25W公众号粉丝,期待和你建立连接,找人找技术不再难!


交流群

欢迎加入公众号读者群一起和同行交流,目前有SLAM、检测分割识别、三维视觉、医学影像、GAN、自动驾驶、计算摄影、算法竞赛等微信群(以后会逐渐细分),请扫描下面微信号加群,备注:”昵称+学校/公司+研究方向“,例如:”张三 + 上海交大 + 视觉SLAM“。请按照格式备注,否则不予通过。添加成功后会根据研究方向邀请进入相关微信群。请勿在群内发送广告,否则会请出群,谢谢理解~

推荐阅读

最全综述 | 医学图像处理

最全综述 | 图像分割算法

最全综述 | 图像目标检测

目标检测技术二十年综述

综述 | CVPR2019目标检测方法进展
参加 CVPR 2019 技术见闻总结

现在投身于计算机视觉是否明智?

如何激怒一个自动驾驶(无人驾驶、智能汽车)爱好者?

原来CNN是这样提取图像特征的。。。

AI资源对接需求汇总:第1期
AI资源对接需求汇总:第2期
AI资源对接需求汇总:第3期
AI资源对接需求汇总:第4期
AI资源对接需求汇总: 第5期

计算机视觉方向简介 | 人体骨骼关键点检测综述

计算机视觉方向简介 | 人脸识别中的活体检测算法综述

计算机视觉方向简介 | 目标检测最新进展总结与展望

计算机视觉方向简介 | 人脸表情识别

计算机视觉方向简介 | 人脸颜值打分

计算机视觉方向简介 | 深度学习自动构图

计算机视觉方向简介 | 基于RGB-D的3D目标检测

计算机视觉方向简介 | 人体姿态估计


最新AI干货,我在看  

登录查看更多
2

相关内容

最新《多任务学习》综述,39页pdf
专知会员服务
266+阅读 · 2020年7月10日
专知会员服务
112+阅读 · 2020年6月26日
【普林斯顿大学-微软】加权元学习,Weighted Meta-Learning
专知会员服务
40+阅读 · 2020年3月25日
专知会员服务
55+阅读 · 2020年3月16日
零样本图像分类综述 : 十年进展
专知会员服务
128+阅读 · 2019年11月16日
生成式对抗网络GAN异常检测
专知会员服务
118+阅读 · 2019年10月13日
推荐 :如何改善你的训练数据集?(附案例)
数据分析
3+阅读 · 2019年6月19日
非平衡数据集 focal loss 多类分类
AI研习社
33+阅读 · 2019年4月23日
被忽略的Focal Loss变种
极市平台
29+阅读 · 2019年4月19日
目标检测小tricks之样本不均衡处理
PaperWeekly
49+阅读 · 2019年4月5日
【干货】GAN最新进展:8大技巧提高稳定性
GAN生成式对抗网络
31+阅读 · 2019年2月12日
GAN最新进展:8大技巧提高稳定性
新智元
7+阅读 · 2019年2月12日
在深度学习中处理不均衡数据集
极市平台
19+阅读 · 2018年11月27日
【干货】机器学习中样本比例不平衡的处理方法
机器学习研究会
8+阅读 · 2018年1月14日
Arxiv
4+阅读 · 2020年3月27日
Anomalous Instance Detection in Deep Learning: A Survey
Arxiv
7+阅读 · 2020年3月1日
Object Detection in 20 Years: A Survey
Arxiv
48+阅读 · 2019年5月13日
A Survey on Deep Learning for Named Entity Recognition
Arxiv
73+阅读 · 2018年12月22日
Arxiv
7+阅读 · 2018年3月19日
VIP会员
相关VIP内容
最新《多任务学习》综述,39页pdf
专知会员服务
266+阅读 · 2020年7月10日
专知会员服务
112+阅读 · 2020年6月26日
【普林斯顿大学-微软】加权元学习,Weighted Meta-Learning
专知会员服务
40+阅读 · 2020年3月25日
专知会员服务
55+阅读 · 2020年3月16日
零样本图像分类综述 : 十年进展
专知会员服务
128+阅读 · 2019年11月16日
生成式对抗网络GAN异常检测
专知会员服务
118+阅读 · 2019年10月13日
相关资讯
推荐 :如何改善你的训练数据集?(附案例)
数据分析
3+阅读 · 2019年6月19日
非平衡数据集 focal loss 多类分类
AI研习社
33+阅读 · 2019年4月23日
被忽略的Focal Loss变种
极市平台
29+阅读 · 2019年4月19日
目标检测小tricks之样本不均衡处理
PaperWeekly
49+阅读 · 2019年4月5日
【干货】GAN最新进展:8大技巧提高稳定性
GAN生成式对抗网络
31+阅读 · 2019年2月12日
GAN最新进展:8大技巧提高稳定性
新智元
7+阅读 · 2019年2月12日
在深度学习中处理不均衡数据集
极市平台
19+阅读 · 2018年11月27日
【干货】机器学习中样本比例不平衡的处理方法
机器学习研究会
8+阅读 · 2018年1月14日
相关论文
Arxiv
4+阅读 · 2020年3月27日
Anomalous Instance Detection in Deep Learning: A Survey
Arxiv
7+阅读 · 2020年3月1日
Object Detection in 20 Years: A Survey
Arxiv
48+阅读 · 2019年5月13日
A Survey on Deep Learning for Named Entity Recognition
Arxiv
73+阅读 · 2018年12月22日
Arxiv
7+阅读 · 2018年3月19日
Top
微信扫码咨询专知VIP会员