ECCV 2020 Spotlight | 多标签长尾识别前沿进展

2020 年 8 月 30 日 PaperWeekly


©PaperWeekly · 作者|吴桐

学校|香港中文大学博士生


我们的 Distribution-Balanced Loss for Multi-Label Classification in Long-Tailed Datasets 很荣幸被接收为 ECCV 2020 的 Spotlight Presentation。

本文关注的是长尾分布下的多标签分类问题,并提出了一种分布平衡损失函数(Distribution-Balanced Loss),在 COCO-MLT 和 VOC-MLT 这两个人工构造的多标签长尾数据集上进行实验验证,取得了很好的效果。文章和代码均已公开。



论文链接: https://arxiv.org/abs/2007.09654
代码链接: https://github.com/wutong16/DistributionBalancedLoss
视频链接: youtu.be/AoEJF-osMgM



背景


真实世界中的数据分布往往是不平衡的,少数几个头部类别(比如人、车等)拥有大量可训练样本,而大多数类别的样本数量十分有限,在统计直方图上形成长长的“尾巴”。

长尾分布问题近年来广泛受到大家的关注,常用以验证的有 ImageNet-LT, Place-LT, MS1M-LT [1] ,iNaturalist, long-tailed CIFAR10/100 [2] 等单标签数据集。 MMLab 也是最早关注并正式定义长尾识别的实验室之一 [1] 

然而,采集自真实场景的图片常常具有丰富的语义信息,多个物体共存是一种普遍情形。因此长尾分布下的多标签分类任务是这篇文章主要关注的问题。


动机


从单标签向多标签的转换,有几个自然的思路:对前者有效的方法对后者来说是否仍适用?两种设定在训练时的主要区别有哪些,又有怎样的影响呢?

采样难解耦

对于第一个问题,我们注意到重采样(re-sampling)是一个常见而有效的策略,在几个最新工作 [1,2,3,4] 中都作为关键组件出现,其中 [3,4] 提出重采样法对分类器学习有显著促进作用。但这种方法并不能顺滑地迁移到多标签情景中,因为标签的共存性(co-occurrence)将导致不同类别在采样时无法解耦。

举个栗子,如果数据集中有限的几张牙刷图片样本都同时包含刷牙的人在其中,那么在对“牙刷”这一尾部类别进行重采样时,对“人”这一头部类别的采样也会只多不少。同时,注意到“刷牙的人”此时就会比“单独出现的人”具有显著更高的采样频率,为头部类别额外引入类内不均衡的问题。 


▲ 图1 重采样过程以及采样前后分布直方图对比

分类器出走

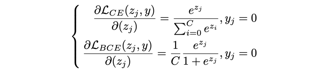
对于第二个问题,我们知道 Cross-Entropy Loss(CE Loss)是单标签分类中常见的损失函数,其中 softmax 的计算强调分类器需要输出唯一最大预测值,同时正负类别的预测值在损失函数中存在相互影响;而多标签分类则多使用 Binary Cross-Entropy Loss(BCE Loss),将任务拆解为一系列相互独立的二分类问题,并以 sigmoid 计算每一类别的输出预测值。



现在我们来考虑分类器对一个负类输出值的求导,两种损失函数对应梯度的差别如上式所示。对于 CE Loss,当同一样本中的正类输出足够高时,对负类输出求导的梯度值也会随之减小,而对 BCE Loss 来说,构造上的独立性导致只有不断降低负类输出值本身才能够降低自身梯度值,从而在训练后期该输出将稳定在一个相对更低的位置上。

这个过程的二者的可视化对比如下图所示。(注意这里是损失函数的梯度函数,梯度值的大小影响优化速度)


▲ 图2 CE 和 BCE 对负类输出的梯度函数可视化


然而,对于一个特定类别(尤其是尾部),数据集中绝大多数都是它的负样本,当分类器被海量负样本包围,且被要求对每一个负样本都输出一个足够低的预测值时,分类器向量在训练过程中将被迫远远偏离大量自然样本的分布,而仅仅过拟合在它的个别正样本上。

可以想像分类器预测值在特征向量(feature vector)空间中的分布具有一个尖锐的波峰,泛化性能很差。



方法


针对上述问题,我们分别提出了 Re-balanced weightingNegative-tolerant regularization 两个策略,并最终整合为一个损失函数的形式。

理想现实有差距,加权弥补


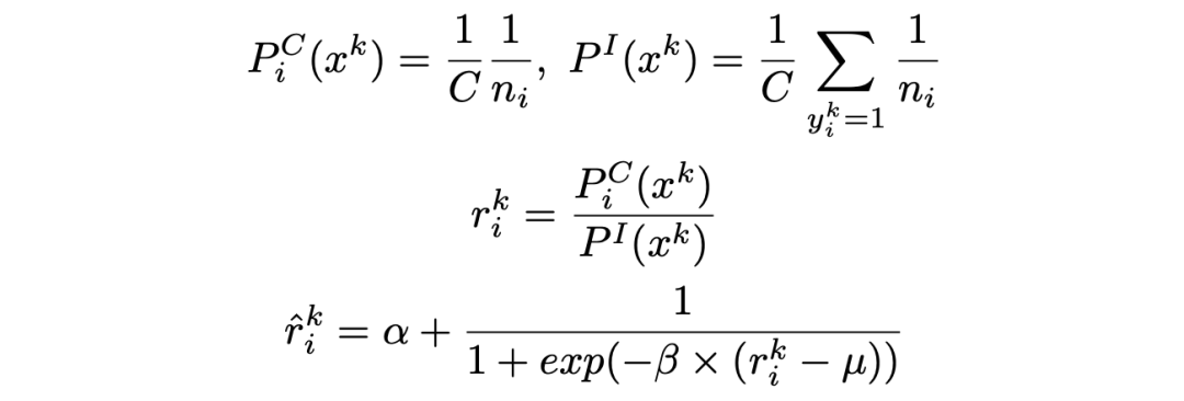
现在来对采样过程做一个简单的定量分析:假设我们希望所有类别都以相同的概率被采样到,那么在不考虑标签共存时,包含类别   的样本   被采样到的概率可记作   ;但该样本还可能含有其它正标签,每一个正标签都对它实际的采样概率有所贡献,后者可以计算出并记为   。

我们通过计算上述二者的比值   并以其作为加权系数加入训练,来弥补期待与实际采样概率之间的差距。特别的,我们还设计了一个平滑函数,将权重系数映射到一个合理范围内。权重系数的计算过程如下所示。



过度惩罚不可取,点到为止

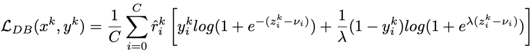
第二个问题我们在文中称为负样本的过度抑制(over-suppression of negative labels),一个简单粗暴的解决思路便是,不要对负样本持续施加过重的惩罚,而是点到为止。

我们只需要对分类器的负类输出进行一个简单的线性变换就能够实现上述功能,不要忘记加上正则化系数约束梯度值的范围。变换后函数请见后文的整体公式,它对负类输出的梯度与 CE 和 BCE 一同对比如下图所示。


▲ 图3 三种损失函数对负类输出的梯度函数对比


权值正则两相宜,统一框架

最后,上面两个方法可以自然地融合为一个损失函数,并进行端到端的训练,下图可视化了它的构造过程。


▲ 图 4 分布平衡损失函数构造过程


我们来回顾一下整体计算框架:(1) 首先应用重采样法促进尾部类别分类器的学习,同时也对头部类别引入了一定的类内采样不均衡性;(2) 接着,利用重加权的方法对无法解耦的采样在权重上予以平衡;(3)最后,正则化方法缓解了对负类别输出的过度抑制。

如下图所示,特征向量(feature vector)空间各类别预测值的分布得到了递进式的平衡,这也是分布平衡损失函数(Distribution-Balanced Loss)命名时的想法。


▲ 图5 整体流程示意图



实验结果


我们基于 Pascal VOC 和 MS COCO 以抽取的方式人工构造了两个长尾分布的多标签数据集用以训练,称为 VOC-MLT 和 COCO-MLT,并以 mAP 为主要评价指标在原始测试集上进行验证。

我们根据每个类别含有的训练样 本数量 将其划分为 头部(head,  ),中部(medium,   )和尾部(tail,   )三个子集,并在整体和各子集上都进行了结果对比,结果如下表所示。



特别的,我们还测试了递进实施每一步骤后,每一类别的指标增量(mAP increment),来分析每个技术对长尾分布的不同位置处类别的影响,具体结果以及更多的 Ablation study 可以参考原文。


展望


这篇文章关注的是长尾分布下的多标签分类问题,并从已经较为成熟的单标签不平衡分类方法中得到启发,从二者的差别入手,提出了一个简单而有效的方法。深度学习发展到今天,学术界默认采用的单一域平衡数据集已无法反映 AI 算法的真正泛化能力。

我们邀请大家一起来攻关这个新兴且更符合现实数据的领域,开放世界学习(Open World Learning),既包含类别分布上的复杂性 [1] ,也包含数据域分布上的复杂性 [5]

最后,欢迎大家关注我们的工作,提出宝贵的建议!



参考文献


[1] Liu et al., Large-Scale Long-Tailed Recognition in an Open World, in CVPR 2019 (Oral), liuziwei7.github.io/pro 
[2] Cui et al., Class-Balanced Loss Based on Effective Number of Samples, in CVPR 2019 
[3] Kang et al., Decoupling Representation and Classifier for Long-Tailed Recognition, in ICLR 2020 
[4] Zhou et al., BBN: Bilateral-Branch Network with Cumulative Learning for Long-Tailed Visual Recognition, in CVPR 2020 (Oral)
[5] Liu et al., Open Compound Domain Adaptation, in CVPR 2020 (Oral), liuziwei7.github.io/pro




更多阅读






#投 稿 通 道#

 让你的论文被更多人看到 



如何才能让更多的优质内容以更短路径到达读者群体,缩短读者寻找优质内容的成本呢?答案就是:你不认识的人。


总有一些你不认识的人,知道你想知道的东西。PaperWeekly 或许可以成为一座桥梁,促使不同背景、不同方向的学者和学术灵感相互碰撞,迸发出更多的可能性。 


PaperWeekly 鼓励高校实验室或个人,在我们的平台上分享各类优质内容,可以是最新论文解读,也可以是学习心得技术干货。我们的目的只有一个,让知识真正流动起来。


📝 来稿标准:

• 稿件确系个人原创作品,来稿需注明作者个人信息(姓名+学校/工作单位+学历/职位+研究方向) 

• 如果文章并非首发,请在投稿时提醒并附上所有已发布链接 

• PaperWeekly 默认每篇文章都是首发,均会添加“原创”标志


📬 投稿邮箱:

• 投稿邮箱:hr@paperweekly.site 

• 所有文章配图,请单独在附件中发送 

• 请留下即时联系方式(微信或手机),以便我们在编辑发布时和作者沟通



🔍


现在,在「知乎」也能找到我们了

进入知乎首页搜索「PaperWeekly」

点击「关注」订阅我们的专栏吧



关于PaperWeekly


PaperWeekly 是一个推荐、解读、讨论、报道人工智能前沿论文成果的学术平台。如果你研究或从事 AI 领域,欢迎在公众号后台点击「交流群」,小助手将把你带入 PaperWeekly 的交流群里。



登录查看更多
5

相关内容

近期必读的七篇 ECCV 2020【少样本学习(FSL)】相关论文
【ACMMM2020】零样本语义分割的上下文感知特征生成
专知会员服务
16+阅读 · 2020年8月21日
【ACMMM2020-北航】协作双路径度量的小样本学习
专知会员服务
29+阅读 · 2020年8月11日
鲁棒模式识别研究进展
专知会员服务
41+阅读 · 2020年8月9日
【ICML 2020 】小样本学习即领域迁移
专知会员服务
78+阅读 · 2020年6月26日
【CVPR2020-北京大学】自适应间隔损失的提升小样本学习
专知会员服务
85+阅读 · 2020年6月9日
基于深度学习的多标签生成研究进展
专知会员服务
147+阅读 · 2020年4月25日
零样本图像分类综述 : 十年进展
专知会员服务
128+阅读 · 2019年11月16日
CVPR 2019 Oral 论文解读 | 无监督域适应语义分割
AI科技评论
49+阅读 · 2019年5月29日
商汤及联合实验室入选论文重点解读 | ECCV 2018
CVPR 2018 | 无监督语义分割之全卷积域适应网络
极市平台
8+阅读 · 2018年6月28日
【领域报告】小样本学习年度进展|VALSE2018
深度学习大讲堂
26+阅读 · 2018年6月14日
让机器“一叶知秋”:弱监督视觉语义分割
深度学习大讲堂
6+阅读 · 2018年5月24日
Arxiv
0+阅读 · 2020年10月14日
Arxiv
0+阅读 · 2020年10月12日
Few-shot Adaptive Faster R-CNN
Arxiv
3+阅读 · 2019年3月22日
Arxiv
7+阅读 · 2018年4月24日
VIP会员
相关VIP内容
近期必读的七篇 ECCV 2020【少样本学习(FSL)】相关论文
【ACMMM2020】零样本语义分割的上下文感知特征生成
专知会员服务
16+阅读 · 2020年8月21日
【ACMMM2020-北航】协作双路径度量的小样本学习
专知会员服务
29+阅读 · 2020年8月11日
鲁棒模式识别研究进展
专知会员服务
41+阅读 · 2020年8月9日
【ICML 2020 】小样本学习即领域迁移
专知会员服务
78+阅读 · 2020年6月26日
【CVPR2020-北京大学】自适应间隔损失的提升小样本学习
专知会员服务
85+阅读 · 2020年6月9日
基于深度学习的多标签生成研究进展
专知会员服务
147+阅读 · 2020年4月25日
零样本图像分类综述 : 十年进展
专知会员服务
128+阅读 · 2019年11月16日
相关资讯
CVPR 2019 Oral 论文解读 | 无监督域适应语义分割
AI科技评论
49+阅读 · 2019年5月29日
商汤及联合实验室入选论文重点解读 | ECCV 2018
CVPR 2018 | 无监督语义分割之全卷积域适应网络
极市平台
8+阅读 · 2018年6月28日
【领域报告】小样本学习年度进展|VALSE2018
深度学习大讲堂
26+阅读 · 2018年6月14日
让机器“一叶知秋”:弱监督视觉语义分割
深度学习大讲堂
6+阅读 · 2018年5月24日
Top
微信扫码咨询专知VIP会员