机器学习算法实践:Platt SMO 和遗传算法优化 SVM

2017 年 10 月 21 日 Python开发者

(点击上方蓝字,快速关注我们)


来源:伯乐在线 - iPytLab

如有好文章投稿,请点击 → 这里了解详情


前言


之前实现了简单的SMO算法来优化SVM的对偶问题,其中在选取α的时候使用的是两重循环通过完全随机的方式选取,具体的实现参考《机器学习算法实践-SVM中的SMO算法》。(http://pytlab.github.io/2017/09/01/机器学习算法实践-SVM中的SMO算法/)


本文在之前简化版SMO算法的基础上实现了使用启发式选取α对的方式的Platt SMO算法来优化SVM。另外由于最近自己也实现了一个遗传算法框架GAFT,便也尝试使用遗传算法对于SVM的原始形式进行了优化。


  • 对于本文算法的相应实现,参考:https://github.com/PytLab/MLBox/tree/master/svm

  • 遗传算法框架GAFT项目地址: https://github.com/PytLab/gaft


正文


SMO中启发式选择变量


在SMO算法中,我们每次需要选取一对α来进行优化,通过启发式的选取我们可以更高效的选取待优化的变量使得目标函数下降的最快。


针对第一个α1和第二个α2 Platt SMO采取不同的启发式手段。


第一个变量的选择


第一个变量的选择为外循环,与之前便利整个αα列表不同,在这里我们在整个样本集非边界样本集间进行交替:


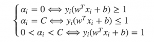
1)首先我们对整个训练集进行遍历, 检查是否违反KKT条件,如果改点的αi和xi,yi违反了KKT条件则说明改点需要进行优化。


Karush-Kuhn-Tucker(KKT)条件是正定二次规划问题最优点的充分必要条件。针对SVM对偶问题,KKT条件非常简单:



2)在遍历了整个训练集并优化了相应的α后第二轮迭代我们仅仅需要遍历其中的非边界α. 所谓的非边界α就是指那些不等于边界0或者C的α值。 同样这些点仍然需要检查是否违反KKT条件并进行优化.


之后就是不断地在两个数据集中来回交替,最终所有的α都满足KKT条件的时候,算法中止。


为了能够快速选取有最大步长的α,我们需要对所有数据对应的误差进行缓存,因此特地写了个SVMUtil类来保存svm中重要的变量以及一些辅助方法:


class SVMUtil(object):

    '''

    Struct to save all important values in SVM.

    '''

    def __init__(self, dataset, labels, C, tolerance=0.001):

        self.dataset, self.labels, self.C = dataset, labels, C

        self.m, self.n = np.array(dataset).shape

        self.alphas = np.zeros(self.m)

        self.b = 0

        self.tolerance = tolerance

        # Cached errors ,f(x_i) - y_i

        self.errors = [self.get_error(i) for i in range(self.m)]

    # 其他方法...

...


下面为第一个变量选择交替遍历的大致代码,相应完整的Python实现(完整实现见https://github.com/PytLab/MLBox/blob/master/svm/svm_platt_smo.py):


while (it < max_iter):

    pair_changed = 0

    if entire:

        for i in range(svm_util.m):

            pair_changed += examine_example(i, svm_util)

            print('Full set - iter: {}, pair changed: {}'.format(i, pair_changed))

    else:

        alphas = svm_util.alphas

        non_bound_indices = [i for i in range(svm_util.m)

                             if alphas[i] > 0 and alphas[i] < C]

        for i in non_bound_indices:

            pair_changed += examine_example(i, svm_util)

    ...

...


第二个变量的选择


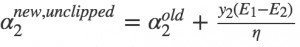
SMO中的第二个变量的选择过程为内循环,当我们已经选取第一个α1之后,我们希望我们选取的第二个变量α2优化后能有较大的变化。根据我们之前推导的式子



可以知道,新的α2的变化依赖于|E1−E2|, 当E1为正时, 那么选择最小的Ei作为E2,通常将每个样本的Ei缓存到一个列表中,通过在列表中选择具有|E1−E2|的α2来近似最大化步长。


有时候按照上述的启发式方式仍不能够是的函数值有足够的下降,这是按下述步骤进行选择:


  1. 在非边界数据集上选择能够使函数值足够下降的样本作为第二个变量

  2. 如果非边界数据集上没有,则在整个数据仅上进行第二个变量的选择

  3. 如果仍然没有则重新选择第一个α1


第二个变量选取的Python实现:


def select_j(i, svm_util):

    ''' 通过最大化步长的方式来获取第二个alpha值的索引.

    '''

    errors = svm_util.errors

    valid_indices = [i for i, a in enumerate(svm_util.alphas) if 0 < a < svm_util.C]

    if len(valid_indices) > 1:

        j = -1

        max_delta = 0

        for k in valid_indices:

            if k == i:

                continue

            delta = abs(errors[i] - errors[j])

            if delta > max_delta:

                j = k

                max_delta = delta

    else:

        j = select_j_rand(i, svm_util.m)

    return j


KKT条件允许一定的误差


在Platt论文中的KKT条件的判断中有一个tolerance允许一定的误差,相应的Python实现:


r = E_i*y_i

# 是否违反KKT条件

if (r < -tolerance and alpha < C) or (r > tolerance and alpha > 0):

    ...



关于Platt SMO的完整实现详见:https://github.com/PytLab/MLBox/blob/master/svm/svm_platt_smo.py


针对之前的数据集我们使用Platt SMO进行优化可以得到:


w = [0.8289668843516077, -0.26578914269411114]

b = -3.9292583040559448


将分割线和支持向量可视化:


可见通过Platt SMO优化出来的支持向量与简化版的SMO算法有些许不同。


使用遗传算法优化SVM


由于最近自己写了个遗传算法框架,遗传算法作为一个启发式无导型的搜索算法非常易用,于是我就尝试使用遗传算法来优化SVM。


使用遗传算法优化,我们就可以直接优化SVM的最初形式了也就是最直观的形式:



顺便再安利下自己的遗传算法框架,在此框架的帮助下,优化SVM算法我们只需要写几十行的Python代码即可。其中最主要的就是编写适应度函数,根据上面的公式我们需要计算数据集中每个点到分割线的距离并返回最小的距离即可,然后放到遗传算法中进行进化迭代。


遗传算法框架GAFT项目地址: https://github.com/PytLab/gaft , 使用方法详见README。


Ok, 我们开始构建种群用于进化迭代。


创建个体与种群


对于二维数据点,我们需要优化的参数只有三个也就是[w1,w2]和b, 个体的定义如下:


indv_template = GAIndividual(ranges=[(-2, 2), (-2, 2), (-5, 5)],

                             encoding='binary',

                             eps=[0.001, 0.001, 0.005])


种群大小这里取600,创建种群


population = GAPopulation(indv_template=indv_template, size=600).init()


创建遗传算子和GA引擎


这里没有什么特别的,直接使用框架中内置的算子就好了。


selection = RouletteWheelSelection()

crossover = UniformCrossover(pc=0.8, pe=0.5)

mutation = FlipBitBigMutation(pm=0.1, pbm=0.55, alpha=0.6)

engine = GAEngine(population=population, selection=selection,

                  crossover=crossover, mutation=mutation,

                  analysis=[ConsoleOutput, FitnessStore])


适应度函数


这一部分只要把上面svm初始形式描述出来就好了,只需要三行代码:


@engine.fitness_register

def fitness(indv):

    w, b = indv.variants[: -1], indv.variants[-1]

    min_dis = min([y*(np.dot(w, x) + b) for x, y in zip(dataset, labels)])

    return float(min_dis)


开始迭代


这里迭代300代种群


if '__main__' == __name__:

    engine.run(300)


绘制遗传算法优化的分割线


variants = engine.population.best_indv(engine.fitness).variants

w = variants[: -1]

b = variants[-1]

# 分类数据点

classified_pts = {'+1': [], '-1': []}

for point, label in zip(dataset, labels):

    if label == 1.0:

        classified_pts['+1'].append(point)

    else:

        classified_pts['-1'].append(point)

fig = plt.figure()

ax = fig.add_subplot(111)

# 绘制数据点

for label, pts in classified_pts.items():

    pts = np.array(pts)

    ax.scatter(pts[:, 0], pts[:, 1], label=label)

# 绘制分割线

x1, _ = max(dataset, key=lambda x: x[0])

x2, _ = min(dataset, key=lambda x: x[0])

a1, a2 = w

y1, y2 = (-b - a1*x1)/a2, (-b - a1*x2)/a2

ax.plot([x1, x2], [y1, y2])

plt.show()


得到的分割曲线如下图:


完整的代码详见: https://github.com/PytLab/MLBox/blob/master/svm/svm_ga.py


总结


本文对SVM的优化进行了介绍,主要实现了Platt SMO算法优化SVM模型,并尝试使用遗传算法框架GAFT对初始SVM进行了优化。


参考


  • Sequential Minimal Optimization: A Fast Algorithm for Training Support Vector Machines


看完本文有收获?请转发分享给更多人

关注「大数据与机器学习文摘」,成为Top 1%

登录查看更多
7

相关内容

在机器学习中,支持向量机(SVM,也称为支持向量网络)是带有相关学习算法的监督学习模型,该算法分析用于分类和回归分析的数据。支持向量机(SVM)算法是一种流行的机器学习工具,可为分类和回归问题提供解决方案。给定一组训练示例,每个训练示例都标记为属于两个类别中的一个或另一个,则SVM训练算法会构建一个模型,该模型将新示例分配给一个类别或另一个类别,使其成为非概率二进制线性分类器(尽管方法存在诸如Platt缩放的问题,以便在概率分类设置中使用SVM)。SVM模型是将示例表示为空间中的点,并进行了映射,以使各个类别的示例被尽可能宽的明显间隙分开。然后,将新示例映射到相同的空间,并根据它们落入的间隙的侧面来预测属于一个类别。

知识荟萃

精品入门和进阶教程、论文和代码整理等

更多

查看相关VIP内容、论文、资讯等
最新《自动微分手册》77页pdf
专知会员服务
103+阅读 · 2020年6月6日
【斯坦福】凸优化圣经- Convex Optimization (附730pdf下载)
专知会员服务
231+阅读 · 2020年6月5日
专知会员服务
142+阅读 · 2020年5月19日
干净的数据:数据清洗入门与实践,204页pdf
专知会员服务
164+阅读 · 2020年5月14日
机器学习速查手册,135页pdf
专知会员服务
345+阅读 · 2020年3月15日
谷歌机器学习速成课程中文版pdf
专知会员服务
147+阅读 · 2019年12月4日
介绍高维超参数调整 - 优化ML模型的最佳实践
AI研习社
7+阅读 · 2019年4月17日
从示例中理解SVM算法(附代码)
论智
9+阅读 · 2018年5月10日
算法优化|梯度下降和随机梯度下降 — 从0开始
全球人工智能
8+阅读 · 2017年12月25日
动手写机器学习算法:SVM支持向量机(附代码)
七月在线实验室
12+阅读 · 2017年12月5日
【直观详解】支持向量机SVM
机器学习研究会
18+阅读 · 2017年11月8日
机器学习(19)之支持向量回归机
机器学习算法与Python学习
12+阅读 · 2017年10月3日
机器学习(16)之支持向量机原理(二)软间隔最大化
机器学习算法与Python学习
6+阅读 · 2017年9月8日
机器学习(15)之支持向量机原理(一)线性支持向量机
机器学习算法与Python学习
6+阅读 · 2017年9月1日
机器学习算法实践:决策树 (Decision Tree)
Python开发者
9+阅读 · 2017年7月17日
A Modern Introduction to Online Learning
Arxiv
21+阅读 · 2019年12月31日
Meta-Learning with Implicit Gradients
Arxiv
13+阅读 · 2019年9月10日
Arxiv
7+阅读 · 2018年5月23日
Arxiv
5+阅读 · 2018年4月22日
VIP会员
相关VIP内容
最新《自动微分手册》77页pdf
专知会员服务
103+阅读 · 2020年6月6日
【斯坦福】凸优化圣经- Convex Optimization (附730pdf下载)
专知会员服务
231+阅读 · 2020年6月5日
专知会员服务
142+阅读 · 2020年5月19日
干净的数据:数据清洗入门与实践,204页pdf
专知会员服务
164+阅读 · 2020年5月14日
机器学习速查手册,135页pdf
专知会员服务
345+阅读 · 2020年3月15日
谷歌机器学习速成课程中文版pdf
专知会员服务
147+阅读 · 2019年12月4日
相关资讯
介绍高维超参数调整 - 优化ML模型的最佳实践
AI研习社
7+阅读 · 2019年4月17日
从示例中理解SVM算法(附代码)
论智
9+阅读 · 2018年5月10日
算法优化|梯度下降和随机梯度下降 — 从0开始
全球人工智能
8+阅读 · 2017年12月25日
动手写机器学习算法:SVM支持向量机(附代码)
七月在线实验室
12+阅读 · 2017年12月5日
【直观详解】支持向量机SVM
机器学习研究会
18+阅读 · 2017年11月8日
机器学习(19)之支持向量回归机
机器学习算法与Python学习
12+阅读 · 2017年10月3日
机器学习(16)之支持向量机原理(二)软间隔最大化
机器学习算法与Python学习
6+阅读 · 2017年9月8日
机器学习(15)之支持向量机原理(一)线性支持向量机
机器学习算法与Python学习
6+阅读 · 2017年9月1日
机器学习算法实践:决策树 (Decision Tree)
Python开发者
9+阅读 · 2017年7月17日
Top
微信扫码咨询专知VIP会员