©作者 |  宋睿智 
 
   来源 |  MIND Laboratory 
 
   
 
    
    
   
 
   论文标题: 
 
   Graph Self-supervised Learning with Accurate Discrepancy Learning 
 
    
   NeurIPS 2022 
 
    
   https://arxiv.org/abs/2202.02989 
 
    
    节点表示学习对结构公平性有所要求,即在度小和度大节点上都有良好的性能表现。最近研究表明,图卷积网络 (GCN) 常对度小节点的预测性能较差,在广泛存在的度呈长尾分布的图上表现出结构不公平。图对比学习 (GCL) 继承了 GCN 和对比学习的优势,甚至在许多任务上超越了半监督 GCN。那么 GCL 针对节点度的表现又如何呢?是否可能为缓解结构不公平提供新的思路?  
     
    
    
   
 
   本文介绍   
   图神经网络的自监督学习 (GNNs) 旨在以无监督的方式学习图的精确表示,以获得用于各种下游任务的可转移表示。预测学习和对比学习是图自监督学习的两种最流行的方法。然而,它们有自己的缺点。虽然预测学习方法可以学习相邻节点和边之间的上下文关系,但是它们不能学习全局图级相似性。对比学习虽然可以学习全局图级相似性,但是其最大化两个不同的受干扰的图之间的相似性的目标时,可能导致表示不能区分具有不同属性的两个相似的图。 
 
   为了改进这些缺点,在本文中,作者提出了一个框架,旨在学习原始图和受干扰的图之间的精确差异,称为基于差异的自我监督学习 (D-SLA),即创建具有不同相似度的给定图的多个扰动,并训练模型来预测每个图是原始图还是被干扰的图。 
 
   本文贡献: 
 
   1. 提出了一种新的图自监督学习框架,其目标与对比学习完全相反,其目的是学习使用区分器(discriminator)区分图和受干扰的图,因为即使是轻微的扰动也可能导致图的完全不同的属性; 
 
   2. 为被干扰的图进行图编辑距离而无需任何额外工作,以在表示空间中保持图之间的精确差异量; 
 
   3. 在化学、生物和社会领域的各种基准上进行预培训和微调验证了 D-SLA,在这些基准上,D-SLA 显著优于基准。 
 
   
 
    
   
 
   模型介绍   
    
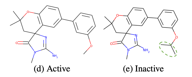
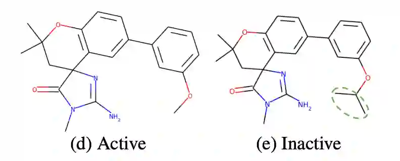
   传统的图对比学习中,与驻留在连续域中的图像相比,图本质上是离散的数据结构,因此即使有轻微的扰动,它们的属性也可能会完全不同。例如,图(d)和(e)中的两个分子表明,尽管它们具有高度相关的结构,但他们的分子作用完全不同。 
 
   
 
   为了解决这个问题,作者提出了一种新的自监督学习方法,旨在学习图之间的差异,称为基于差异的自监督学习(DSLA)。具体来说,首先像对比学习方案一样干扰给定的图形,但不是像对比学习那样最大化干扰图形之间的相似性,而是旨在了解它们之间的差异。 
 
   为了实现这个目标,首先设计了一个区分器,它可以学习区分真实图形和受干扰的图(如下图(c-1))。这使得模型能够了解可能在很大程度上影响图形全局属性的小差异。然而,仅仅知道两个图是不同的是不够的,还要知道它们之间的确切差异量。 
 
   
 
   下图是 D-SLA 的整体框架,主要分为了三个部分。 
 
   
 
   A.基于图区分的差异学习(Discrepancy Learning with Graph Discrimination) 
 
   个具有代表性的 GCL 模型 DGI[2] 和 GraphCL[3],分析其结构公平性。具体地,我们将GCN、DGI 和 GraphCL 分别在 Cora、Citeseer、Photo 和 Computer 数据集上训练,并根据度将节点分组,计算这些组的平均准确率,如图所示。 
 
    
    为进一步反映结构公平性,我们用线性回归拟合这些散点,斜率越小,该模型对度偏差越公平。Photo 和 Computer 数据集上的实验结果,参见论文。从图中可以看出,DGI 和 GraphCL 尾节点的平均准确率高于 GCN,且回归线的斜率也较小。这一有趣的现象说明,无监督的 GCL 方法比半监督的 GCN 更具有结构公平性。  
     
    
    
   
 
    
   
 
    
    图定义为  
       
        
         
          
            
           
          
            
           
          
            
           
          
           
             
            
           
          
            
           
          
           
             
            
           
          
            
           
          
            
           
          
            
           
          
         
        ,其中  
       
        
         
          
           
             
            
           
          
         
         是  
       
        
         
          
            
           
          
         
         个节点组成的节点集  
       
        
         
          
            
           
          
           
             
            
           
             
            
           
          
            
           
          
           
             
            
           
             
            
           
          
            
           
          
            
           
          
            
           
          
           
             
            
           
             
            
           
          
            
           
          
         
        , 
       
        
         
          
           
             
            
           
          
            
           
          
           
             
            
           
          
            
           
          
           
             
            
           
          
         
         是边集, 
       
        
         
          
            
           
          
            
           
          
            
           
          
           
             
            
           
             
            
           
          
            
           
          
           
             
            
           
             
            
           
          
            
           
          
            
           
          
            
           
          
           
             
            
           
             
            
           
          
            
           
          
            
           
          
           
            
              
             
            
           
            
              
             
            
              
             
            
              
             
            
           
          
         
         是节点特征矩阵, 
       
        
         
          
           
             
            
           
             
            
           
          
         
         代表节点  
       
        
         
          
           
             
            
           
             
            
           
          
         
         的特征。边集可以用邻接矩阵  
       
        
         
          
            
           
          
            
           
          
            
           
          
            
           
          
            
           
          
            
           
          
           
             
            
           
            
              
             
            
              
             
            
              
             
            
           
          
         
         表示,如果  
       
        
         
          
            
           
          
           
             
            
           
             
            
           
          
            
           
          
           
             
            
           
             
            
           
          
            
           
          
            
           
          
           
             
            
           
          
         
        ,则  
       
        
         
          
           
             
            
           
            
              
             
            
              
             
            
           
          
            
           
          
            
           
          
         
        。给定无标签的训练集,每个节点属于  
       
        
         
          
            
           
          
         
         个社区  
       
        
         
          
           
             
            
           
             
            
           
          
            
           
          
           
             
            
           
             
            
           
          
            
           
          
            
           
          
            
           
          
           
             
            
           
             
            
           
          
         
         之一。假设增广集  
       
        
         
          
           
             
            
           
          
         
         包含所有可能的拓扑增广策略,节点  
       
        
         
          
           
             
            
           
             
            
           
          
         
         的自我中心网络  
       
        
         
          
           
            
              
             
            
           
             
            
           
          
         
         可能产生的所有正例集为  
       
        
         
          
           
             
            
           
          
            
           
          
           
            
              
             
            
           
             
            
           
          
            
           
          
         
        。  
     
    
    GCL 的目标是学到合理的 GCN 编码器  
       
        
         
          
            
           
          
         
         使得正例对间相近,而负例对间相远。这里,我们聚焦于拓扑增广和单层 GCN:  
     
    
    
    其中  
       
        
         
          
           
            
             
               
              
             
               
              
             
            
           
             
            
           
          
         
         是转移矩阵  
       
        
         
          
           
            
              
             
            
              
             
            
           
          
            
           
          
           
            
             
               
              
             
               
              
             
            
           
            
              
             
            
              
             
            
           
          
           
            
              
             
            
              
             
            
           
          
         
         的第  
       
        
         
          
            
           
          
         
         行, 
       
        
         
          
           
            
              
             
            
              
             
            
           
          
            
           
          
            
           
          
            
           
          
            
           
          
         
         是加自环的邻接矩阵, 
       
        
         
          
           
            
             
               
              
             
               
              
             
            
           
            
              
             
            
              
             
            
           
          
            
           
          
           
             
            
           
             
            
           
          
           
            
             
               
              
             
               
              
             
            
           
            
              
             
            
              
             
            
           
          
         
         是度矩阵。我们使用社区指示器  
       
        
         
          
           
             
            
           
             
            
           
          
         
          
     
    
    
    
    
    
    
    
    
    该定理  
    建立了表示的社区内集中程度与  
        
         
          
           
            
              
             
            
             
               
              
             
            
           
          
           中正例对对齐程度间的关系   
    。具体地,社区内集中需要较小的  
       
        
         
          
            
           
          
         
        。对比学习优化框架正是缩小正例对间的距离,因而 GCL 满足要求。  
     
    
    接下来,我们证明 GCL 还具有社区间分散的特性。对于增广集  
       
        
         
          
           
             
            
           
          
         
        ,将两节点间的增广距离定义为其变换前表示的最小距离,  
     
    
    
    其中  
       
        
         
          
           
            
             
               
              
             
               
              
             
            
           
             
            
           
          
         
         是增广后的邻接矩阵  
       
        
         
          
           
            
              
             
            
              
             
            
           
          
         
         的第  
       
        
         
          
            
           
          
         
         行, 
       
        
         
          
           
            
             
               
              
             
               
              
             
            
           
             
            
           
          
         
         为增广后的度。基于增广距离,我们引入  
       
        
         
          
            
           
          
            
           
          
            
           
          
            
           
          
            
           
          
           
            
              
             
            
              
             
            
           
          
            
           
          
         
        -augmentation 的定义用于衡量变换前表示的集中程度。  
     
    
    
    
    越大的  
        
         
          
           
             
            
           
          
           和越小的  
        
         
          
           
             
            
           
             
            
           
             
            
           
            
              
             
            
           
            
             
              
                
               
              
                
               
              
             
            
              
             
            
             
               
               
               
              
             
            
           
            
              
             
            
             
              
                
               
              
                
               
               
              
             
            
           
          
           说明变换前表示越集中   
    。假设表示被归一化  
       
        
         
          
            
           
          
            
           
          
            
           
          
           
            
              
             
            
           
             
            
           
          
            
           
          
            
           
          
            
           
          
            
           
          
         
        ,且  
       
        
         
          
           
             
            
           
             
            
           
          
            
           
          
           
             
            
           
          
            
           
          
           
             
            
           
             
            
           
          
            
           
          
           
             
            
           
            
              
             
            
           
          
            
           
          
         
        。我们同时约束社区间距离和社区指示器误差:  
     
    
    
    
    为更准确地分配社区,不等式右边应接近  
       
        
         
          
           
             
            
           
             
            
           
          
         
        ,因而需要  
       
        
         
          
           
             
            
           
            
              
              
              
             
            
           
          
            
           
          
            
           
          
            
           
          
            
           
          
            
           
          
           
            
              
             
            
              
             
            
           
          
            
           
          
            
           
          
            
           
          
         
         较小。我们进一步通过对比框架中的正例对对齐损失约束  
       
        
         
          
           
             
            
           
            
              
             
            
           
          
         
        :  
     
    
    
    
    所有定理证明参见原文。综上,社区间距离和社区指示器的误差由两个因素主导:1)正例对的对齐,较好的对齐可使   
        
    较小,从而  
       
        
         
          
           
             
            
           
            
              
             
            
           
          
         
         较小;2)增广表示的集中程度,更集中则  
       
        
         
          
            
           
          
         
         更大。  
     
    
    小的  
       
        
         
          
           
             
            
           
            
              
             
            
           
          
         
         和大的  
       
        
         
          
            
           
          
         
         会直接减小社区指示器的误差,并为社区间分散提供小的  
       
        
         
          
           
             
            
           
            
              
              
              
             
            
           
          
            
           
          
            
           
          
            
           
          
            
           
          
            
           
          
           
            
              
             
            
              
             
            
           
          
            
           
          
            
           
          
            
           
          
         
        。需要强调的是,  
    第一个因素是 GCL 的对比目标   
    ,反映 GCL 结构公平的原因。而  
    第二个因素取决于图增广策略的设计   
    。在此驱动下,我们提出可以进一步集中增广表示的图增广方式。  
     
    
    
   
 
   GRADE   
     
   图增广   
    
    我们通过同时扰动原始特征和拓扑生成两个增广  
       
        
         
          
           
            
             
               
              
             
               
              
             
            
           
             
            
           
          
         
         和  
       
        
         
          
           
            
             
               
              
             
               
              
             
            
           
             
            
           
          
         
        ,并将两增广所得节点表示记为  
       
        
         
          
            
           
          
            
           
          
            
           
          
            
           
          
           
            
             
               
              
             
               
              
             
            
           
             
            
           
          
            
           
          
         
        和  
       
        
         
          
            
           
          
            
           
          
            
           
          
            
           
          
           
            
             
               
              
             
               
              
             
            
           
             
            
           
          
            
           
          
         
        。  
     
    
    为获得更集中的增广表示,  
    需要增加社区内边,减少社区间边   
    。由于尾节点和头节点的结构属性不同,我们分别设计了不同的拓扑增广策略,如图所示。为扩展尾节点邻域以包含更多相同社区的节点,我们将锚尾节点  
       
        
         
          
           
             
            
           
            
              
             
            
              
             
            
              
             
            
              
             
            
           
          
         
         与采样所得相似节点  
       
        
         
          
           
             
            
           
            
              
             
            
              
             
            
              
             
            
              
             
            
              
             
            
              
             
            
           
          
         
         的自我中心网络插值。为防止增广过程注入许多不同社区节点,进一步依据  
       
        
         
          
           
             
            
           
            
              
             
            
              
             
            
              
             
            
              
             
            
           
          
         
         和  
       
        
         
          
           
             
            
           
            
              
             
            
              
             
            
              
             
            
              
             
            
              
             
            
              
             
            
           
          
         
         间的相似性调整插值比率。对于头节点,我们则利用相似性采样来提纯其邻域,尽量移除社区间边。  
     
    
    
    
    形式化地,我们基于节点表示间的余弦相似度构建相似度矩阵  
       
        
         
          
            
           
          
         
        ,对  
       
        
         
          
            
           
          
            
           
          
            
           
          
         
         有  
       
        
         
          
           
             
            
           
            
              
             
            
              
             
            
           
          
            
           
          
            
            
            
           
          
            
           
          
           
             
            
           
             
            
           
          
            
           
          
           
             
            
           
             
            
           
          
            
           
          
         
        ,否则  
       
        
         
          
           
             
            
           
            
              
             
            
              
             
            
           
          
            
           
          
            
           
          
         
        。对于任意尾节点  
       
        
         
          
           
             
            
           
            
              
             
            
              
             
            
              
             
            
              
             
            
           
          
         
        ,自多峰分布  
       
        
         
          
            
            
            
            
            
           
          
            
           
          
           
             
            
           
            
              
             
            
              
             
            
              
             
            
              
             
            
           
          
            
           
          
         
         中采样出节点  
       
        
         
          
           
             
            
           
            
              
             
            
              
             
            
              
             
            
              
             
            
              
             
            
              
             
            
           
          
         
        ,其中  
       
        
         
          
           
             
            
           
            
              
             
            
              
             
            
              
             
            
              
             
            
           
          
         
         是  
       
        
         
          
            
           
          
         
         中对应于节点  
       
        
         
          
           
             
            
           
            
              
             
            
              
             
            
              
             
            
              
             
            
           
          
         
         的行向量。  
     
    
    然后,将  
       
        
         
          
           
             
            
           
            
              
             
            
              
             
            
              
             
            
              
             
            
           
          
         
         和  
       
        
         
          
           
             
            
           
            
              
             
            
              
             
            
              
             
            
              
             
            
              
             
            
              
             
            
           
          
         
         的邻居分布插值,为尾节点  
       
        
         
          
           
             
            
           
            
              
             
            
              
             
            
              
             
            
              
             
            
           
          
         
         创建新的相似度感知邻域。这里,节点  
       
        
         
          
            
           
          
         
         的邻居分布定义为  
       
        
         
          
            
           
          
            
           
          
            
           
          
            
           
          
            
           
          
            
           
          
            
           
          
            
           
          
           
             
            
           
          
            
           
          
           
             
            
           
          
            
           
          
            
           
          
            
           
          
            
           
          
         
        ,如果  
       
        
         
          
            
           
          
            
           
          
           
             
            
           
          
            
           
          
            
           
          
            
           
          
         
        ,否则  
       
        
         
          
            
           
          
            
           
          
            
           
          
            
           
          
            
           
          
            
           
          
            
           
          
            
           
          
         
        。为减少不同社区节点带来的噪音,相似度   用作插值比率  
       
        
         
          
            
           
          
         
        ,  
     
    
    
    然后,从邻居分布  
       
        
         
          
           
             
            
           
            
              
             
            
              
             
            
              
             
            
              
             
            
              
             
            
              
             
            
           
          
            
           
          
            
           
          
            
           
          
           
             
            
           
            
              
             
            
              
             
            
              
             
            
              
             
            
           
          
            
           
          
         
         中进行不替换采样。对任意头节点  
       
        
         
          
           
             
            
           
            
              
             
            
              
             
            
              
             
            
              
             
            
           
          
         
        ,定义用于提纯的相似性分布。具体地,如果  
       
        
         
          
            
           
          
            
           
          
           
             
            
           
          
            
           
          
            
           
          
            
           
          
         
        ,则节点  
       
        
         
          
            
           
          
         
         的相似性分布为   
      
    ,否则  
       
        
         
          
            
           
          
            
           
          
            
           
          
            
           
          
            
           
          
            
           
          
            
           
          
            
           
          
         
        。基于相似性分布  
       
        
         
          
           
             
            
           
            
              
             
            
              
             
            
              
             
            
           
          
            
           
          
            
           
          
            
           
          
           
             
            
           
            
              
             
            
              
             
            
              
             
            
              
             
            
           
          
            
           
          
         
        ,不替换地采样出  
       
        
         
          
           
             
            
           
            
              
             
            
              
             
            
              
             
            
              
             
            
           
          
            
           
          
            
           
          
            
           
          
           
             
            
           
            
              
             
            
              
             
            
              
             
            
           
          
            
           
          
         
         个邻居,其中  
       
        
         
          
           
             
            
           
            
              
             
            
              
             
            
              
             
            
           
          
         
         是边丢弃率。通过这种相似性采样,不同社区间的边往往会被移除,从而保留有效的邻域信息。  
     
    
    至于特征增广,我们随机产生掩码向量  
       
        
         
          
            
           
          
            
           
          
            
           
          
            
           
          
            
           
          
            
           
          
           
             
            
           
            
              
             
            
           
          
         
         来隐去节点特征中的部分维度。掩码  
       
        
         
          
            
           
          
         
         中的每个元素都是从贝努利分布  
       
        
         
          
            
            
            
           
          
            
           
          
            
           
          
            
           
          
           
             
            
           
            
              
             
            
              
             
            
              
             
            
           
          
            
           
          
         
         中采样所得,其中超参数  
       
        
         
          
           
             
            
           
            
              
             
            
              
             
            
              
             
            
           
          
         
         是特征丢弃率。因此,增广后的特征  
       
        
         
          
           
            
              
             
            
              
             
            
           
          
         
         为:  
     
    
    
    在实现时,设置阈值  
       
        
         
          
            
           
          
         
         区分尾节点和头节点。增广  
       
        
         
          
           
            
             
               
              
             
               
              
             
            
           
             
            
           
          
         
         和  
       
        
         
          
           
            
             
               
              
             
               
              
             
            
           
             
            
           
          
         
         应用相同的超参数  
       
        
         
          
           
             
            
           
            
              
             
            
              
             
            
              
             
            
           
          
         
         和  
       
        
         
          
           
             
            
           
            
              
             
            
              
             
            
              
             
            
           
          
         
        。  
     
   优化目标   
    
    对节点  
       
        
         
          
           
             
            
           
             
            
           
          
         
        ,不同图增广得到的节点表示  
       
        
         
          
           
             
            
           
             
            
           
          
         
         和  
       
        
         
          
           
             
            
           
             
            
           
          
         
         构成正例对,而其他节点的表示被视为负例。因此,每个正例对  
       
        
         
          
            
           
          
           
             
            
           
             
            
           
          
            
           
          
           
             
            
           
             
            
           
          
            
           
          
         
         的目标函数定义为:  
     
    
    
    其中  
       
        
         
          
            
           
          
         
         是温度系数, 
       
        
         
          
            
           
          
            
           
          
            
           
          
            
           
          
            
           
          
            
           
          
         
         是  
       
        
         
          
            
            
            
           
          
            
           
          
            
           
          
            
           
          
            
           
          
            
           
          
            
           
          
            
           
          
            
           
          
            
           
          
            
           
          
            
           
          
         
        , 
       
        
         
          
            
           
          
         
         是多层感知器(MLP),用于增强表达能力[4]。因此,总体目标函数是最大化所有正例对的平均值:  
     
    
    
   
 
   实验   
    
    我们将 GRADE 与最具代表性的 GCL 模型 DGI、GraphCL、GRACE、MVGRL 和 CCA-SSG 进行比较,并同时评估半监督 GCN 以供参考。对于 GCL 模型,每个模型以无监督方式进行训练后,所得节点表示喂入逻辑回归分类器,并采用常见的两种划分方式进行评估:1)半监督划分,每类 20 个标记节点用于训练,1000 个节点用于测试;2)监督划分,1000 个节点用于测试,其余节点用于训练。GCN 同样遵循上述划分进行训练。  
     
   节点分类   
    
    
    
    10 次独立实验的平均值和标准差如上表所示。在大多数情况下,GRADE 优于所有基线方法。GRADE 在 Cora 和 Citeser 数据集上的提升更显著,因为这两个数据集的平均节点度约为 3,存在大量尾节点。为验证 GRADE 在提高尾节点分类性能的同时保留了头节点的性能,我们根据阈值  
       
        
         
          
            
           
          
         
         将 Cora 的测试节点分为尾节点和头节点,并在小提琴图中绘制其平均准确率。正如预期,无论尾节点还是头节点,GRADE 都有较明显的性能提升。  
     
    
      
     
    
    公平性分析   
     
     为定量分析结构公平性,定义组平均为所有以度分组的平均准确度的平均值,而偏差定义为方差。  
      
     
     
     
     
     基于这些指标,评估结果如下表所示。可以看出,GRADE 降低了所有数据集的偏差,并保持最高的组平均。  
      
     
     
    可视化   
     
     
    
 
     
     为证明 GRADE 使社区更集中,我们可视化了 Cora 数据集上 GRADE 和基线的节点表示。以蓝色社区为例,图对比学习基线虽比 GCN 有更清晰的社区边界,但蓝色节点仍很分散。在 GRADE 中,它们聚集在一起,说明增广策略发挥了重要作用。  
      
     
    
 
     
     
     [1] Jian Kang, Yan Zhu, Yinglong Xia, Jiebo Luo, and Hanghang Tong Rawlsgcn: Towards rawlsian difference principle on graph convolutional network. In WWW, 2022.   
      
     
     [2] Petar Velickovic, William Fedus, William L Hamilton, Pietro Liò, Yoshua Bengio, and R Devon Hjelm. Deep graph infomax. In ICLR, 2019.   
      
     
     [3] Yuning You, Tianlong Chen, Yongduo Sui, Ting Chen, Zhangyang Wang, and Yang Shen. Graph contrastive learning with augmentations. In NeurIPS, 2020.   
      
     
     [4] Ting Chen, Simon Kornblith, Mohammad Norouzi, and Geoffrey E. Hinton. A simple framework for contrastive learning of visual representations. In ICML, 2020.  
      
     
     
     
     
    
 
     
     
    
 
     
     
      
       
        
        
        
        
        
        
        
        如何才能让更多的优质内容以更短路径到达读者群体,缩短读者寻找优质内容的成本呢?答案就是:你不认识的人。  
 
        
 
        总有一些你不认识的人,知道你想知道的东西。PaperWeekly 或许可以成为一座桥梁,促使不同背景、不同方向的学者和学术灵感相互碰撞,迸发出更多的可能性。  
 
        
 
        PaperWeekly 鼓励高校实验室或个人,在我们的平台上分享各类优质内容,可以是最新论文解读 ,也可以是学术热点剖析 、科研心得 或竞赛经验讲解 等。我们的目的只有一个,让知识真正流动起来。 
 
        
 
        📝 稿件基本要求:  
 
        • 文章确系个人原创作品 ,未曾在公开渠道发表,如为其他平台已发表或待发表的文章,请明确标注  
 
        • 稿件建议以 markdown  格式撰写,文中配图以附件形式发送,要求图片清晰,无版权问题 
 
        • PaperWeekly 尊重原作者署名权,并将为每篇被采纳的原创首发稿件,提供业内具有竞争力稿酬 ,具体依据文章阅读量和文章质量阶梯制结算 
 
        
 
        📬 投稿通道:  
 
        • 投稿邮箱: hr@paperweekly.site  
 
        • 来稿请备注即时联系方式(微信),以便我们在稿件选用的第一时间联系作者 
 
        • 您也可以直接添加小编微信(pwbot02 )快速投稿,备注:姓名-投稿 
 
        
 
        
 
        △长按添加PaperWeekly小编 
 
        
 
         
        
       
      
    
 
    
 
    🔍 
 
    
 
    现在,在「知乎」 也能找到我们了 
 
    进入知乎首页搜索「PaperWeekly」