【JCO】乳腺癌保乳术后放疗疗效能预测吗?——肿瘤浸润淋巴细胞可帮忙

2019 年 4 月 8 日 肿瘤资讯

放疗在多个瘤种中显示出较好的免疫调节作用,如远隔效应等。在乳腺癌中,放疗和肿瘤浸润淋巴细胞(TIL)之间的交互作用尚未明确。近期发布在《临床肿瘤杂志》(Journal of Clincical Oncology)的大型随机SweBCG91RT研究报道了长期随访结果,旨在探索原发肿瘤中的TIL能否预测保乳术后的放疗疗效。

背景

放疗是乳腺癌术后的常用辅助治疗手段,旨在消除潜在残余肿瘤负荷,降低局部复发。乳腺癌是一类异质性疾病,目前关于哪一种亚型的乳腺癌患者可能从放疗中获得最大获益,尚未明确。既往研究显示,侵袭性较弱的亚型可能对放疗效果更好,如luminal型肿瘤放疗后复发风险下降更为显著,后续研究也进一步支持这一结果,但未在大型荟萃分析中得到确认。

在肿瘤形成过程中,免疫系统是一个重要的参与因素,当然,其同时也能够抑制肿瘤生长。抗肿瘤反应的重要关键因素是CD4+ Th1分化,在这一过程中,原始的CD4+ Th细胞在局部信号的刺激下,分化为CD4+ Th1细胞;其他有利于抗肿瘤的免疫反应包括CD4+ Th1或Th2细胞分化。CD4+ Th1细胞介导的抗肿瘤免疫反应与TIL相关。TIL分别是三阴性乳腺癌和HER2阳性乳腺癌患者接受化疗和抗HER2治疗较强的疗效预测和预后标志物。突变负荷,与不同的免疫表型相关,在三阴性乳腺癌和HER2阳性乳腺癌中通常更高,且这些肿瘤常显示出CD4+ Th1反应和更高的TIL值。国际TIL工作小组推荐仅评估间质中的TIL,因此本研究中的TIL均指肿瘤间质中的TIL。 

放疗在多个瘤种中显示出较好的免疫调节作用。其中最好的例子就是远隔效应,即局部放疗可以诱导肿瘤退缩,进而激活免疫系统,引发系统性肿瘤缩小。关于放疗和免疫系统的交互作用,既往提出了一些假说,如放疗可以调节死亡受体和黏附分子的表达,诱导产生新抗原,使得肿瘤对免疫反应更为敏感。乳腺癌中,放疗和TIL的交互作用尚未明确,通过对一项大型随机研究进行长期随访,旨在探索原发肿瘤中的TIL是否可以预测保乳术后的放疗疗效。

方法

研究纳入SweBCG91RT研究中的乳腺癌患者进行分析。这一研究中入组了1178例淋巴结阴性(N0)的Ⅰ期或ⅡA期患者,在保乳术后随机分配接受或不接受全乳放疗。根据2013年St. Gallen国际乳腺癌大会共识对患者进行分型:luminal A型(ER和/或PR阳性,HER2阴性,Ki-67低),luminal B型(ER和/或PR阴性,HER2阴性,Ki-67高),HER2阳性(HER2阳性,ER或PR任意表达状态,Ki-67任意评分)和三阴性(ER阴性,PR阴性,HER2阴性,Ki-67任意评分)。鉴于HER2阳性和三阴性患者人数较少,将这两类患者合并分析,纳入非luminal组。研究共成功检测了942例患者的TIL(图1)。TIL的评估根据国际免疫生物标志物工作小组的建议进行,研究采用半连续变量进行分组:<1%,1%~9%、10%~49%、50%~74%和≥75%。 

图1 研究入组流程图

结果

乳腺癌亚型和TIL的分布见表1。luminal A型肿瘤占58%,侵袭性更强的肿瘤,即三阴性和HER2阳性患者共占15%。总体而言,71%的患者,TIL小于10%。相对而言,luminal型肿瘤的TIL评分更低,79%的luminal A型肿瘤TIL<10%,luminal B型肿瘤与之相似,占73%。相反, HER2阳性肿瘤和三阴性患者,TIL<10%的患者分布占49%和26%。放疗组和非放疗组患者的TIL分布相似。 

表1 各亚型患者的TIL分布

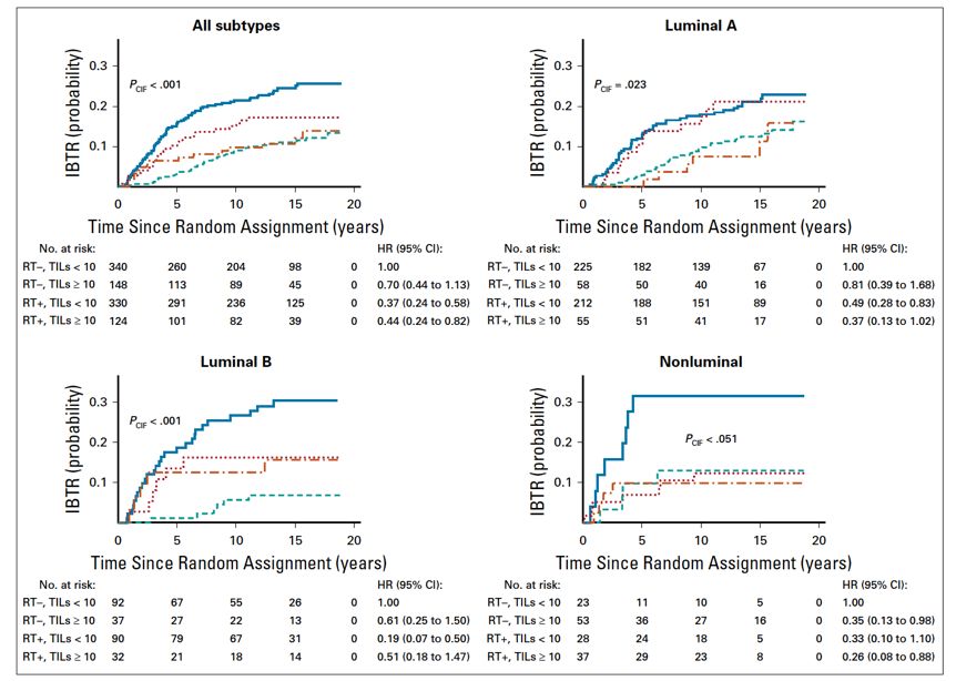
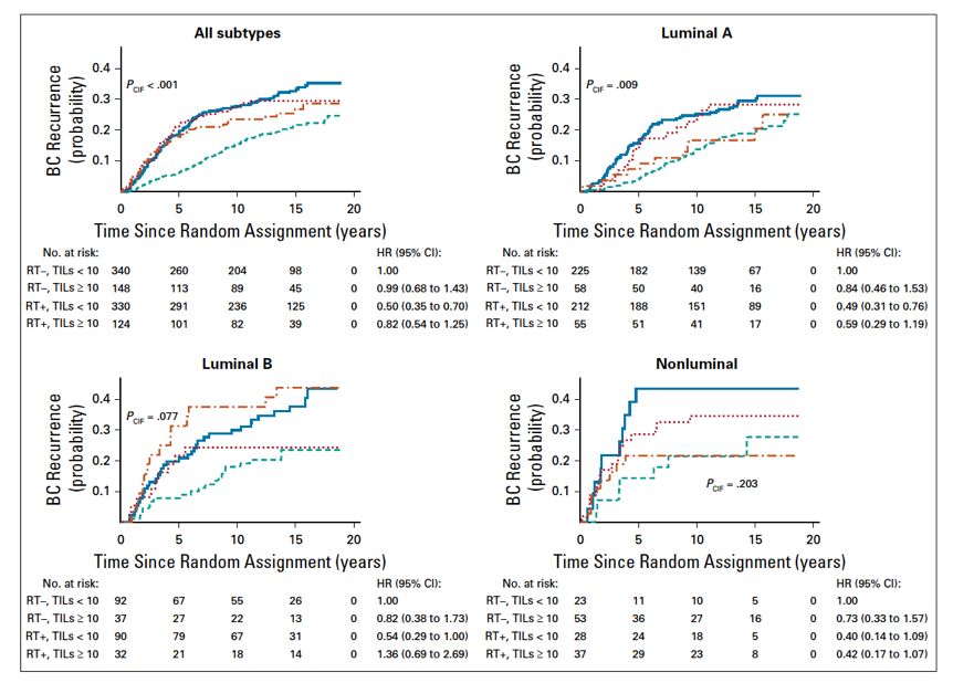
单因素分析显示,不同亚型和分级患者,TIL存在显著差异。无论患者是否接受过放疗,在TIL<10%和≥10%的患者以及不同亚型的患者中,累积同侧乳腺癌复发率和任意复发率总结见图2和3。在低TIL组,放疗可以显著降低同侧乳腺癌复发率(HR= 0.37; 95% CI, 0.24 - 0.57; P =0.001);在TIL≥10%的患者中,放疗与否无显著差异(HR=0.63;95%CI:0.31-1.27)。在任意TIL分组中,放疗对乳腺癌患者的生存无显著差异。患者的年龄与TIL显著相关(P=0.042),但单独分析各亚型患者,仅在三阴性患者中观察到显著相关性(P=0.012)。 

图2 总体人群和各个亚型乳腺癌患者中,接受或不接受放疗以及不同TIL分类患者的同侧乳腺癌复发率对比

图3 总体人群和各个亚型乳腺癌患者中,接受或不接受放疗以及不同TIL分类患者的任意部位复发率对比 

多因素分析:在Cox比例分析多因素回归分析中,将同侧乳腺癌复发作为独立变量,TIL(HR=0.61; 95% CI, 0.39 - 0.96; P =0.033)、肿瘤分级(3级 vs 1级: HR=2.17; 95% CI, 1.08 - 4.34; P = 0.029; 2级 vs 1级: HR=1.83; 95% CI, 1.02 - 3.30; P =0.044),诊断时年龄(<50 vs ≥50岁;HR=0.55; 95%CI, 0.38 - 0.80; P = 0.002)和放疗(HR=0.42; 95% CI, 0.29 - 0.61; P=0.001)均与其显著相关(表2)。在TIL<10%的患者中,校正了肿瘤亚型、分级和年龄后发现,放疗可以显著降低同侧乳腺癌复发风险(HR=0.37; 95% CI, 0.24 - 0.58; P <0.001)和任意复发风险(HR=0.50; 95% CI, 0.36 - 0.71; P <0.001)。然而,在TIL≥10%的患者中,校正了肿瘤亚型、分级和年龄后发现,放疗并不能显著降低同侧乳腺癌复发风险(HR=0.58; 95% CI, 0.28 - 1.19; P = 0.138)和任意复发风险(HR=0.84; 95% CI, 0.51 - 1.36; P = 0.472)。放疗和TIL之间未观察到显著的交互作用。

表2 TIL,RT,亚型,年级和年龄对患侧乳腺肿瘤复发风险影响的单变量和多变量回归分析

结论

这一研究结果显示,原发肿瘤高TIL预示着患者同侧乳腺癌复发风险更低。而对于TIL低的乳腺癌患者,接受放疗后,同侧乳腺癌复发风险下降更为显著。

参考文献

Kovács A, Stenmark Tullberg A, Werner Rönnerman E, et al. Effect of Radiotherapy After Breast-Conserving Surgery Depending on the Presence of Tumor-Infiltrating Lymphocytes: A Long-Term Follow-Up of the SweBCG91RT Randomized Trial[OL]. J Clin Oncol.2019. doi:10.1200/JCO.18.02157

登录查看更多
0

相关内容

专知会员服务
29+阅读 · 2020年3月6日
【综述】基于图的对抗式攻击和防御,附22页论文下载
专知会员服务
69+阅读 · 2020年3月5日
【学科交叉】抗生素发现的深度学习方法
专知会员服务
25+阅读 · 2020年2月23日
广东疾控中心《新型冠状病毒感染防护》,65页pdf
专知会员服务
19+阅读 · 2020年1月26日
【华侨大学】基于混合深度学习算法的疾病预测模型
专知会员服务
97+阅读 · 2020年1月21日
2019中国肿瘤免疫治疗会议(附最新版日程)
肿瘤资讯
11+阅读 · 2019年6月13日
3D Deep Learning on Medical Images: A Review
Arxiv
13+阅读 · 2020年4月1日
W-net: Bridged U-net for 2D Medical Image Segmentation
Arxiv
20+阅读 · 2018年7月12日
Arxiv
5+阅读 · 2018年4月13日
VIP会员
Top
微信扫码咨询专知VIP会员