BAT机器学习面试题101~105(文末有福利)

2017 年 10 月 19 日 七月在线实验室 七月在线

101.深度学习(CNN RNN Attention)解决大规模文本分类问题

  https://zhuanlan.zhihu.com/p/25928551


102.如何解决RNN梯度爆炸和弥散的问题的

  本题解析来源:http://blog.csdn.net/han_xiaoyang/article/details/51932536

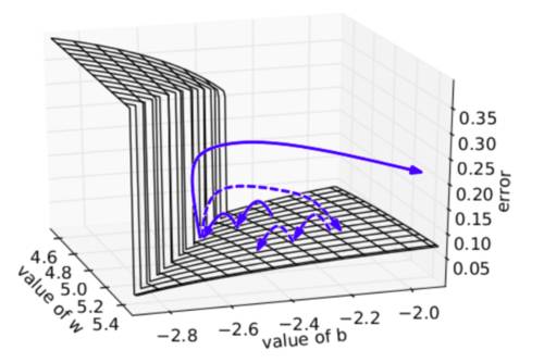
  为了解决梯度爆炸问题,Thomas Mikolov首先提出了一个简单的启发性的解决方案,就是当梯度大于一定阈值的的时候,将它截断为一个较小的数。具体如算法1所述:

  算法:当梯度爆炸时截断梯度(伪代码)

g^←∂E∂W

if  ∥g^∥≥threshold then

g^←threashold∥∥g^∥∥g^

  下图可视化了梯度截断的效果。它展示了一个小的rnn(其中W为权值矩阵,b为bias项)的决策面。这个模型是一个一小段时间的rnn单元组成;实心箭头表明每步梯度下降的训练过程。当梯度下降过程中,模型的目标函数取得了较高的误差时,梯度将被送到远离决策面的位置。截断模型产生了一个虚线,它将误差梯度拉回到离原始梯度接近的位置。

 


梯度爆炸,梯度截断可视化 

  为了解决梯度弥散的问题,我们介绍了两种方法。第一种方法是将随机初始化 W(hh)改为一个有关联的矩阵初始化。第二种方法是使用ReLU(Rectified Linear Units)代替sigmoid函数。ReLU的导数不是0就是1.因此,神经元的梯度将始终为1,而不会当梯度传播了一定时间之后变小。


103.如何提高深度学习的性能
http://blog.csdn.net/han_xiaoyang/article/details/52654879


104.RNN、LSTM、GRU区别
  @我愛大泡泡,本题解析来源:http://blog.csdn.net/woaidapaopao/article/details/77806273

  RNN引入了循环的概念,但是在实际过程中却出现了初始信息随时间消失的问题,即长期依赖(Long-Term Dependencies)问题,所以引入了LSTM。

  LSTM:因为LSTM有进有出且当前的cell informaton是通过input gate控制之后叠加的,RNN是叠乘,因此LSTM可以防止梯度消失或者爆炸的变化是关键,下图非常明确适合记忆: 

    GRU是LSTM的变体,将忘记门和输入们合成了一个单一的更新门。 


本期思考题:

105.当机器学习性能遭遇瓶颈时,你会如何优化的?

在评论区留言,一起交流探讨,让更多小伙伴受益。

参考答案在明天公众号上公布,敬请关注!


往期题目:

【BAT机器学习面试题】前100题汇总及勘误(上)

【BAT机器学习面试题】前100题汇总及勘误(下)

 关注本公众号,点击菜单“有奖游戏”,答题抽大奖



课程咨询|微信:julyedukefu

七月热线:010-82712840

登录查看更多
2

相关内容

误差梯度是神经网络训练过程中计算的方向和数量,用于以正确的方向和合适的量更新网络权重。 在深层网络或循环神经网络中,误差梯度可在更新中累积,变成非常大的梯度,然后导致网络权重的大幅更新,并因此使网络变得不稳定。在极端情况下,权重的值变得非常大,以至于溢出,导致NaN值。网络层之间的梯度(值大于 1.0)重复相乘导致的指数级增长会产生梯度爆炸。
【经典书】机器学习高斯过程,266页pdf
专知会员服务
200+阅读 · 2020年5月2日
【经典书】精通机器学习特征工程,中文版,178页pdf
专知会员服务
360+阅读 · 2020年2月15日
【电子书】让 PM 全面理解深度学习 65页PDF免费下载
专知会员服务
18+阅读 · 2019年10月30日
BAT机器学习面试1000题(716~720题)
七月在线实验室
19+阅读 · 2018年12月17日
BAT机器学习面试题1000题(316~320题)
七月在线实验室
14+阅读 · 2018年1月18日
BAT题库 | 机器学习面试1000题系列(第211~215题)
七月在线实验室
9+阅读 · 2017年11月22日
BAT题库 | 机器学习面试1000题系列(第196~200题)
七月在线实验室
17+阅读 · 2017年11月16日
BAT题库 | 机器学习面试1000题系列(第191~195题)
七月在线实验室
6+阅读 · 2017年11月15日
BAT题库 | 机器学习面试1000题系列(第161~165题)
七月在线实验室
7+阅读 · 2017年11月6日
BAT机器学习面试1000题系列(第116~120题)
七月在线实验室
16+阅读 · 2017年10月24日
BAT机器学习面试1000题系列(第106~110题)
七月在线实验室
4+阅读 · 2017年10月20日
BAT机器学习面试1000题系列(第51~55题)
七月在线实验室
10+阅读 · 2017年10月8日
BAT机器学习面试1000题系列(第46~50题)
七月在线实验室
7+阅读 · 2017年10月7日
Reasoning on Knowledge Graphs with Debate Dynamics
Arxiv
14+阅读 · 2020年1月2日
Arxiv
22+阅读 · 2018年8月30日
Arxiv
11+阅读 · 2018年5月13日
VIP会员
相关资讯
BAT机器学习面试1000题(716~720题)
七月在线实验室
19+阅读 · 2018年12月17日
BAT机器学习面试题1000题(316~320题)
七月在线实验室
14+阅读 · 2018年1月18日
BAT题库 | 机器学习面试1000题系列(第211~215题)
七月在线实验室
9+阅读 · 2017年11月22日
BAT题库 | 机器学习面试1000题系列(第196~200题)
七月在线实验室
17+阅读 · 2017年11月16日
BAT题库 | 机器学习面试1000题系列(第191~195题)
七月在线实验室
6+阅读 · 2017年11月15日
BAT题库 | 机器学习面试1000题系列(第161~165题)
七月在线实验室
7+阅读 · 2017年11月6日
BAT机器学习面试1000题系列(第116~120题)
七月在线实验室
16+阅读 · 2017年10月24日
BAT机器学习面试1000题系列(第106~110题)
七月在线实验室
4+阅读 · 2017年10月20日
BAT机器学习面试1000题系列(第51~55题)
七月在线实验室
10+阅读 · 2017年10月8日
BAT机器学习面试1000题系列(第46~50题)
七月在线实验室
7+阅读 · 2017年10月7日
Top
微信扫码咨询专知VIP会员