学界 | 抛弃Learning Rate Decay吧!

2018 年 1 月 23 日 AI科技评论 吴骞

AI科技评论按:本文为浙江大学吴骞为 AI 科技评论撰写的独家稿件,未经许可不得转载。

论文题目: DON’T DECAY THE LEARNING RATE, INCREASE THE BATCH SIZE

论文地址:https://arxiv.org/abs/1711.00489

真的是生命不息,打脸不止。前几天刚刚总结了常见的 learning rate decay 方法,最近又看到这篇正在投 ICLR2018 的盲审,求我现在的心理阴影的面积。。。

然后上 arxiv 一查,哦,Google 爸爸的,干货满满,简直不容反驳。。。

先点题:

不用衰减学习率啦,只要增大 Batch Size 就可以啦!

摘要:

  • 实际上作者在衰减学习率的时候同时也降低了SGD中随机波动的值;衰减学习率类似于模拟退火;

  • 不同于衰减学习率,作者提出了在增加 Batch Size 的同时保持学习率的策略既可以保证不掉点,还可以减少参数更新的次数

  • 作者还可以即增加学习率又增大 Batch Size,如此可以基本保持test中不掉点又进一步减少参数更新次数;

  • 作者对比了自己的模型和另一篇著名论文(Accurate, large minibatch SGD: Training imagenet in 1 hour)中的模型,Batch Size:65536 - 8192;正确率:77% - 76%;参数更新次数:2500 - 14000;

随即梯度下降法与曲线优化

传统的学习率遵循以下两个约束:

(1)

(2)

直观来看,公式1约束最小值优化的参数一定存在,公式2保证了衰减学习率有助于快速收敛至最小值处,而不是由于噪声在震荡。

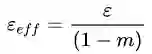
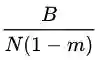
然而以上结论是给予 Batch Size 不变推导出的。作者基于前作(A BAYESIAN PERSPECTIVE ON GENERALIZATION AND STOCHASTIC GRADIENT DESCENT https://arxiv.org/abs/1710.06451)推导出另一个解释优化过程的模型,并指出可以通过找到某个最优化的随机波动值  (其中  为学习率 , 为训练数据集大小,  为 Batch Size 大小),使得模型达到最优值。

模拟退火法和泛化能力下降

广泛的研究结果指出小 Batch Size 训练的模型在 test 中的泛化能力比大 Batch Size 的要好。前作中还得出了固定学习率下的最大 Batch Size 优化值  ,并验证了  与随机噪声值 有关。

研究者认为小 Batch 中的随机误差有助于 SGD 的收敛,尤其是在非凸曲线优化问题上。噪声可以帮助 SGD 收敛至所谓平滑最小值(flat minima)而不是尖锐最小值(sharp minima)以保证 test 的泛化特性。

作者发现大部分研究者在训练过程中都使用了「early stop 」的方法(当验证集的点数不再增高时停止训练),因此作者实际上有意的阻止了网络到达最小值。衰减学习率的成功是经验式的。具体过程可以类比于模拟退火法中,较大的初始噪音有助于探索更大范围内的参数空间而不是很快地陷入局部最优值;一旦作者找到了可能的最优区域后开始减少噪声来 finetune 到最优值。

而这也能解释为什么近来越来越多的研究者开始使用 cosine 式衰减学习率或阶梯形的衰减——物理退火法中,缓慢衰减温度是系统收敛到某些锐利的全局最小值;而离散地降低温度则有利于收敛到不是最低但足够鲁棒的区域。

有效的学习率和累积变量

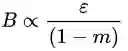
许多研究者开始使用带 momentum 的 SGD 下降法,其噪声值与原始 SGD 稍有不同: 

(3)

当  时该噪声将退化为原始 SGD 噪声。对比两种 SGD 可以得出带 momentum 的 SGD 方法的有效学习率应为  。

对比原始 SGD,作者可以推导:成比例的放大可以保持模型性能。然而,作者发现若成比例的缩放学习率和 Batch Size 表现良好,但是若按照  倍缩放 Batch Size 和冲量系数 的话则会导致 test 性能下降。这是因为冲量式的更新在时间上是累积的,因此设置较大时需要额外的训练次数才能保证模型处于相同水平,原文的补充材料中有较详细的分析,此处不作解释。

随着冲量系数 的增大,还会增加网络忘记旧的梯度的时间(该时间和  成正比),一旦时间跨度达到几个 epoch 以上时,损失空间将会变得不利调整从而阻碍训练。这种情况在学习率衰减的时候尤其明显。这也是为什么有些论文推荐在初始的若干 epoch 时提升学习率。然而,在作者的大 Batch Size 实验中,这种做法却会带来系统不稳定性。

实验对比

实验中使用的网络是「16-4」宽型残差网络结构(wide ResNet architecture),使用了 ghost batch norm 方法来保证平均梯度与 Batch Size 不相关。

实验中使用的对比策略是阶梯形的,学习率阶梯形下降,对应的,Batch Size 阶梯形上升。

图中,蓝线代表常见的保持 Batch Size,逐步衰减学习率的方法;红线代表与之相反的,保持学习率,相应的上升 Batch Size 的策略;绿线模拟真实条件下,上升 Batch Size 达到显存上限的时候,再开始下降学习率的策略。

该实验可以验证两个问题:

学习率下降是否是必须的——若是则三条曲线应不同;

是否是因为随机噪声的变化导致结果不同——若是则三条曲线相同;

实验结果如下(a)所示,并验证了随机噪声与训练曲线的相关性。

实验结果(b)进一步显示增大 Batch Size 的好处,观察损失值与参数更新次数的关系,显然,增大 Batch Size 的方法中参数更新的次数远少于衰减学习率的策略。

下图是两种不同的梯度下降策略的 test 结果,显然效果相差不大。

增大学习率策略

作者准备了四组实验:

  • Original training schedule:初始学习率设为 0.1,momentum 为 0.9,Batch Size 为 128,采用衰减学习率策略,每阶段减少 5 倍;

  • Increasing batch size:初始学习率设为 0.1,momentum 为 0.9,Batch Size 为 128,采用增大 Batch Size 策略,每阶段增加 5 倍;

  • Increased initial learning rate:初始学习率设为 0.5,momentum 为 0.9,Batch Size 为 640,采用增大 Batch Size 策略,每阶段增加 5 倍;

  • Increased momentum coefficient:初始学习率设为 0.5,momentum 为 0.98,Batch Size 为 3200,采用增大 Batch Size 策略,每阶段增加 5 倍;

当 Batch Size 增加到最大值  后即不再增加,以保证 ,并相应的开始减少学习率。

结果如下所示,结论与上文相同,方法4的结果稍差也在章节有效的学习率和累积变量中有所解释。

训练 IMAGENET 只用更新 2500 次参数

论文 Accurate, large minibatch SGD: Training imagenet in 1 hour(https://arxiv.org/abs/1706.02677)中的参数与试验参数设置和结果对比如下: 

上述论文中的 Batch Size 已经达到了保持网络稳定的最大值,为了进一步扩大 Batch Size 可以适当增大 momentum 的值。最终,作者的网络达到了显存的上限 并保证了  。其参数设置与结果如下所示,可以看到准确率下降不大但是有效减少了参数的更新次数。

增大 Batch Size 就可以不用衰减学习率了,emmm,听起来很有道理,但是总感觉哪里不对...

最后,祝大家炼丹愉快!

————— 新人福利 —————

关注AI 科技评论,回复 1 获取

【数百 G 神经网络 / AI / 大数据资源,教程,论文】


—————  AI 科技评论招人了  —————

AI 科技评论期待你的加入,和我们一起见证未来!

现诚招学术编辑、学术兼职、学术外翻

详情请点击招聘启事


—————  给爱学习的你的福利  —————

AI科技评论年度巨献

扫码或点击阅读原文

特辑限时早鸟优惠中

————————————————————

登录查看更多
1

相关内容

可解释强化学习,Explainable Reinforcement Learning: A Survey
专知会员服务
132+阅读 · 2020年5月14日
【CVPR2020】MSG-GAN:用于稳定图像合成的多尺度梯度GAN
专知会员服务
29+阅读 · 2020年4月6日
【伯克利】再思考 Transformer中的Batch Normalization
专知会员服务
41+阅读 · 2020年3月21日
Stabilizing Transformers for Reinforcement Learning
专知会员服务
60+阅读 · 2019年10月17日
深度学习优化算法总结(SGD,AdaGrad,Adam等)
极市平台
34+阅读 · 2019年4月30日
深度学习面试100题(第41-45题)
七月在线实验室
15+阅读 · 2018年7月18日
当前训练神经网络最快的方式:AdamW优化算法+超级收敛
中国人工智能学会
6+阅读 · 2018年7月4日
Optimization for deep learning: theory and algorithms
Arxiv
106+阅读 · 2019年12月19日
Arxiv
6+阅读 · 2018年4月24日
Arxiv
5+阅读 · 2017年12月14日
VIP会员
相关VIP内容
可解释强化学习,Explainable Reinforcement Learning: A Survey
专知会员服务
132+阅读 · 2020年5月14日
【CVPR2020】MSG-GAN:用于稳定图像合成的多尺度梯度GAN
专知会员服务
29+阅读 · 2020年4月6日
【伯克利】再思考 Transformer中的Batch Normalization
专知会员服务
41+阅读 · 2020年3月21日
Stabilizing Transformers for Reinforcement Learning
专知会员服务
60+阅读 · 2019年10月17日
Top
微信扫码咨询专知VIP会员