DeepMind提图像生成的递归神经网络DRAW,158行Python代码复现

2019 年 8 月 28 日 AI100


作者 | Samuel Noriega
译者 | Freesia
编辑 | 夕颜
出品 | AI科技大本营(ID: rgznai100)
 

【导读】最近,谷歌 DeepMInd 发表论文( DRAW: A Recurrent Neural Network For Image Generation),提出了一个用于图像生成的递归神经网络,该系统大大提高了 MNIST 上生成模型的质量。为更加深入了解 DRAW,本文作者基于 Eric Jang 用 158 行 Python 代码实现该系统的思路,详细阐述了 DRAW 的概念、架构和优势等。


首先我们先解释一下 DRAW 的概念吧

递归神经网络是一种用于图像生成的神经网络结构。Draw Networks 结合了一种新的空间注意机制,该机制模拟了人眼的中心位置,采用了一个顺序变化的自动编码框架,使之对复杂图像进行迭代构造。
 
该系统大大提高了 MNIST 上生成模型的质量,特别是当对街景房屋编号数据集进行训练时,肉眼竟然无法将它生成的图像与真实数据区别开来。
 
Draw 体系结构的核心是一对递归神经网络:一个是压缩用于训练的真实图像的编码器,另一个是在接收到代码后重建图像的解码器。这一组合系统采用随机梯度下降的端到端训练,损失函数的最大值变分主要取决于对数似然函数的数据。
 

DRAW 的架构

 
Draw 网络类似于其他变分自动编码器,它包含一个编码器网络,该编码器网络决定着潜在代码上的 distribution(潜在代码主要捕获有关输入数据的显著信息),解码器网络接收来自 code distribution 的样本,并利用它们来调节其自身图像的 distribution 。

DRAW 与其他自动解码器的三大区别

 
编码器和解码器都是 DRAW 中的递归网络,解码器的输出依次添加到 distribution 中以生成数据,而不是一步一步地生成 distribution 。动态更新的注意机制用于限制由编码器负责的输入区域和由解码器更新的输出区域 。简单地说,这一网络在每个 time-step 都能决定“读到哪里”和“写到哪里”以及“写什么”。
                

左:传统变分自动编码器

 
在生成过程中,从先前的 P(z)中提取一个样本 z ,并通过前馈译码器网络来计算给定样本的输入 P(x_z)的概率。
 
在推理过程中,输入 x 被传递到编码器网络,在潜在变量上产生一个近似的后验 Q(z|x) 。在训练过程中,从 Q(z|x) 中抽取 z,然后用它计算总描述长度 KL ( Q (Z|x)∣∣ P(Z)−log(P(x|z)),该长度随随机梯度的下降( https://en.wikipedia.org/wiki/Stochastic_gradient_descent )而减小至最小值。
 

右:DRAW网络

 
在每一个步骤中,都会将先前 P(z)中的一个样本 z_t 传递给递归解码器网络,该网络随后会修改 canvas matrix 的一部分。最后一个 canvas matrix cT 用于计算 P(x|z_1:t)。
 
在推理过程中,每个 time-step 都会读取输入,并将结果传递给编码器 RNN,然后从上一 time-step 中的 RNN 指定读取位置,编码器 RNN 的输出用于计算该 time-step 的潜在变量的近似后验值。
 

损失函数

 
最后一个 canvas matrix cT 用于确定输入数据的模型 D(X | cT) 的参数。如果输入是二进制的,D 的自然选择呈伯努利分布,means 由 σ(cT) 给出。重建损失 Lx 定义为 D 下 x 的负对数概率:          
 
The latent loss 潜在distributions序列    的潜在损失  被定义为源自     的潜在先验 P(Z_t)的简要 KL散度。
 
鉴于这一损失取决于由   绘制的潜在样本 z_t ,因此其反过来又决定了输入 x。如果潜在 distribution是一个  这样的 diagonal Gaussian ,P(Z_t) 便是一个均值为 0,且具有标准离差的标准 Gaussian,这种情况下方程则变为  
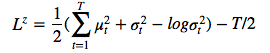
网络的总损失 L 是重建和潜在损失之和的期望值:       
 
对于每个随机梯度下降,我们使用单个 z 样本进行优化。
 
L^Z 可以解释为从之前的序列向解码器传输潜在样本序列 z_1:T 所需的 NAT 数量,并且(如果 x 是离散的)L^x 是解码器重建给定 z_1:T 的 x 所需的 NAT 数量。因此,总损失等于解码器和之前数据的预期压缩量。
 

改善图片

 
正如 EricJang 在他的文章中提到的,让我们的神经网络仅仅“改善图像”而不是“一次完成图像”会更容易些。正如人类艺术家在画布上涂涂画画,并从绘画过程中推断出要修改什么,以及下一步要绘制什么。
 
改进图像或逐步细化只是一次又一次地破坏我们的联合 distribution P(C) ,导致潜在变量链 C1,C2,…CT−1 呈现新的变量分布 P(CT) 。
      

诀窍是多次从迭代细化分布 P(Ct|Ct−1)中取样,而不是直接从 P(C) 中取样。
 
在 DRAW 模型中, P(Ct|Ct−1) 是所有 t 的同一 distribution,因此我们可以将其表示为以下递归关系(如果不是,那么就是  Markov Chain  而不是递归网络了)。

             


DRAW模型的实际应用

 
假设你正在尝试对数字 8 的图像进行编码。每个手写数字的绘制方式都不同,有的样本 8 可能看起来宽一些,有的可能长一些。如果不注意,编码器将被迫同时捕获所有这些小的差异。
 
但是……如果编码器可以在每一帧上选择一小段图像并一次检查数字 8 的每一部分呢?这会使工作更容易,对吧?
 
同样的逻辑也适用于生成数字。注意力单元将决定在哪里绘制数字 8 的下一部分-或任何其他部分-而传递的潜在矢量将决定解码器生成多大的区域。
 
基本上,如果我们把变分的自动编码器(VAE)中的潜在代码看作是表示整个图像的矢量,那么绘图中的潜在代码就可以看作是表示笔画的矢量。最后,这些向量的序列实现了原始图像的再现。
 

好吧,那么它是如何工作的呢?

在一个递归的 VAE 模型中,编码器在每一个 timestep 会接收整个输入图像。在 Draw 中,我们需要将焦点集中在它们之间的 attention gate 上,因此编码器只接收到网络认为在该 timestep 重要的图像部分。第一个 attention gate 被称为“Read”attention
 
Readattention分为两部分:
 
选择图像的重要部分和裁剪图像
 

选择图像的重要部分

 
为了确定图像的哪一部分最重要,我们需要做些观察,并根据这些观察做出决定。在 DRAW中,我们使用前一个 timestep 的解码器隐藏状态。通过使用一个简单的完全连接的图层,我们可以将隐藏状态映射到三个决定方形裁剪的参数:中心 X、中心 Y 和比例。
               

裁剪图像

现在,我们不再对整个图像进行编码,而是对其进行裁剪,只对图像的一小部分进行编码。然后,这个编码通过系统解码成一个小补丁。
 
现在我们到达 attention gate 的第二部分, “write”attention,(与“read”部分的设置相同),只是“write”attention 使用当前的解码器,而不是前一个 timestep 的解码器。
                

实际应用便是如此吗?

 
虽然可以直观地将注意力机制描述为一种裁剪,但实践中使用了一种不同的方法。在上面描述的模型结构仍然精确的前提下,使用了  gaussian filters 矩阵,没有利用裁剪的方式。 我们在 DRAW 中取了一组每个 filter 的中心间距都均匀的  gaussian filters 矩阵 。
 

代码一览

 
我们在 Eric Jang 的代码的基础上,对其进行一些清理和注释,以便于理解.
 
  
  
    
# first we import our librariesimport tensorflow as tffrom tensorflow.examples.tutorials import mnistfrom tensorflow.examples.tutorials.mnist import input_dataimport numpy as npimport scipy.miscimport os
 
Eric 为我们提供了一些伟大的功能,可以帮助我们构建 “read” 和 “write” 注意门径,还有过滤我们将使用的初始状态功能,但是首先,我们需要添加新的功能,来使我们能创建一个密集层并合并图像。并将它们保存到本地计算机中,以获取更新的代码。

  
  
    
# fully-conected layerdef dense(x, inputFeatures, outputFeatures, scope=None, with_w=False):    with tf.variable_scope(scope or "Linear"):        matrix = tf.get_variable("Matrix", [inputFeatures, outputFeatures], tf.float32, tf.random_normal_initializer(stddev=0.02))        bias = tf.get_variable("bias", [outputFeatures], initializer=tf.constant_initializer(0.0))        if with_w:            return tf.matmul(x, matrix) + bias, matrix, bias        else:            return tf.matmul(x, matrix) + bias

# merge imagesdef merge(images, size): h, w = images.shape[1], images.shape[2] img = np.zeros((h * size[0], w * size[1])) for idx, image in enumerate(images): i = idx % size[1] j = idx / size[1] img[j*h:j*h+h, i*w:i*w+w] = image return img

# save image on local machine def ims(name, img): # print img[:10][:10]    scipy.misc.toimage(img, cmin=0, cmax=1).save(name)
 
现在让我们把代码放在一起以便完成。
 
  
  
    
# DRAW implementationclass draw_model():    def __init__(self):                # First we download the MNIST dataset into our local machine.        self.mnist = input_data.read_data_sets("data/", one_hot=True)        print "------------------------------------"        print "MNIST Dataset Succesufully Imported"        print "------------------------------------"        self.n_samples = self.mnist.train.num_examples

# We set up the model parameters # ------------------------------ # image width,height self.img_size = 28 # read glimpse grid width/height self.attention_n = 5 # number of hidden units / output size in LSTM self.n_hidden = 256 # QSampler output size self.n_z = 10 # MNIST generation sequence length self.sequence_length = 10 # training minibatch size self.batch_size = 64 # workaround for variable_scope(reuse=True) self.share_parameters = False # Build our model self.images = tf.placeholder(tf.float32, [None, 784]) # input (batch_size * img_size) self.e = tf.random_normal((self.batch_size, self.n_z), mean=0, stddev=1) # Qsampler noise self.lstm_enc = tf.nn.rnn_cell.LSTMCell(self.n_hidden, state_is_tuple=True) # encoder Op self.lstm_dec = tf.nn.rnn_cell.LSTMCell(self.n_hidden, state_is_tuple=True) # decoder Op

# Define our state variables self.cs = [0] * self.sequence_length # sequence of canvases self.mu, self.logsigma, self.sigma = [0] * self.sequence_length, [0] * self.sequence_length, [0] * self.sequence_length

# Initial states h_dec_prev = tf.zeros((self.batch_size, self.n_hidden)) enc_state = self.lstm_enc.zero_state(self.batch_size, tf.float32) dec_state = self.lstm_dec.zero_state(self.batch_size, tf.float32)

# Construct the unrolled computational graph x = self.images for t in range(self.sequence_length): # error image + original image c_prev = tf.zeros((self.batch_size, self.img_size**2)) if t == 0 else self.cs[t-1] x_hat = x - tf.sigmoid(c_prev) # read the image r = self.read_basic(x,x_hat,h_dec_prev) #sanity check print r.get_shape() # encode to guass distribution self.mu[t], self.logsigma[t], self.sigma[t], enc_state = self.encode(enc_state, tf.concat(1, [r, h_dec_prev])) # sample from the distribution to get z z = self.sampleQ(self.mu[t],self.sigma[t]) #sanity check print z.get_shape() # retrieve the hidden layer of RNN h_dec, dec_state = self.decode_layer(dec_state, z) #sanity check print h_dec.get_shape() # map from hidden layer self.cs[t] = c_prev + self.write_basic(h_dec) h_dec_prev = h_dec self.share_parameters = True # from now on, share variables

# Loss function self.generated_images = tf.nn.sigmoid(self.cs[-1]) self.generation_loss = tf.reduce_mean(-tf.reduce_sum(self.images * tf.log(1e-10 + self.generated_images) + (1-self.images) * tf.log(1e-10 + 1 - self.generated_images),1))

kl_terms = [0]*self.sequence_length for t in xrange(self.sequence_length): mu2 = tf.square(self.mu[t]) sigma2 = tf.square(self.sigma[t]) logsigma = self.logsigma[t] kl_terms[t] = 0.5 * tf.reduce_sum(mu2 + sigma2 - 2*logsigma, 1) - self.sequence_length*0.5 # each kl term is (1xminibatch) self.latent_loss = tf.reduce_mean(tf.add_n(kl_terms)) self.cost = self.generation_loss + self.latent_loss # Optimization optimizer = tf.train.AdamOptimizer(1e-3, beta1=0.5) grads = optimizer.compute_gradients(self.cost) for i,(g,v) in enumerate(grads): if g is not None: grads[i] = (tf.clip_by_norm(g,5),v) self.train_op = optimizer.apply_gradients(grads)

self.sess = tf.Session() self.sess.run(tf.initialize_all_variables()) # Our training function def train(self): for i in xrange(20000): xtrain, _ = self.mnist.train.next_batch(self.batch_size) cs, gen_loss, lat_loss, _ = self.sess.run([self.cs, self.generation_loss, self.latent_loss, self.train_op], feed_dict={self.images: xtrain}) print "iter %d genloss %f latloss %f" % (i, gen_loss, lat_loss) if i % 500 == 0:

cs = 1.0/(1.0+np.exp(-np.array(cs))) # x_recons=sigmoid(canvas)

for cs_iter in xrange(10): results = cs[cs_iter] results_square = np.reshape(results, [-1, 28, 28]) print results_square.shape ims("results/"+str(i)+"-step-"+str(cs_iter)+".jpg",merge(results_square,[8,8])) # Eric Jang's main functions # -------------------------- # locate where to put attention filters on hidden layers def attn_window(self, scope, h_dec): with tf.variable_scope(scope, reuse=self.share_parameters): parameters = dense(h_dec, self.n_hidden, 5) # center of 2d gaussian on a scale of -1 to 1 gx_, gy_, log_sigma2, log_delta, log_gamma = tf.split(1,5,parameters)

# move gx/gy to be a scale of -imgsize to +imgsize gx = (self.img_size+1)/2 * (gx_ + 1) gy = (self.img_size+1)/2 * (gy_ + 1)

sigma2 = tf.exp(log_sigma2) # distance between patches delta = (self.img_size - 1) / ((self.attention_n-1) * tf.exp(log_delta)) # returns [Fx, Fy, gamma] return self.filterbank(gx,gy,sigma2,delta) + (tf.exp(log_gamma),) # Construct patches of gaussian filters def filterbank(self, gx, gy, sigma2, delta): # 1 x N, look like [[0,1,2,3,4]] grid_i = tf.reshape(tf.cast(tf.range(self.attention_n), tf.float32),[1, -1]) # individual patches centers mu_x = gx + (grid_i - self.attention_n/2 - 0.5) * delta mu_y = gy + (grid_i - self.attention_n/2 - 0.5) * delta mu_x = tf.reshape(mu_x, [-1, self.attention_n, 1]) mu_y = tf.reshape(mu_y, [-1, self.attention_n, 1]) # 1 x 1 x imgsize, looks like [[[0,1,2,3,4,...,27]]] im = tf.reshape(tf.cast(tf.range(self.img_size), tf.float32), [1, 1, -1]) # list of gaussian curves for x and y sigma2 = tf.reshape(sigma2, [-1, 1, 1]) Fx = tf.exp(-tf.square((im - mu_x) / (2*sigma2))) Fy = tf.exp(-tf.square((im - mu_x) / (2*sigma2))) # normalize area-under-curve Fx = Fx / tf.maximum(tf.reduce_sum(Fx,2,keep_dims=True),1e-8) Fy = Fy / tf.maximum(tf.reduce_sum(Fy,2,keep_dims=True),1e-8) return Fx, Fy



# read operation without attention def read_basic(self, x, x_hat, h_dec_prev): return tf.concat(1,[x,x_hat])

# read operation with attention def read_attention(self, x, x_hat, h_dec_prev): Fx, Fy, gamma = self.attn_window("read", h_dec_prev) # apply parameters for patch of gaussian filters def filter_img(img, Fx, Fy, gamma): Fxt = tf.transpose(Fx, perm=[0,2,1]) img = tf.reshape(img, [-1, self.img_size, self.img_size]) # apply the gaussian patches glimpse = tf.batch_matmul(Fy, tf.batch_matmul(img, Fxt)) glimpse = tf.reshape(glimpse, [-1, self.attention_n**2]) # scale using the gamma parameter return glimpse * tf.reshape(gamma, [-1, 1]) x = filter_img(x, Fx, Fy, gamma) x_hat = filter_img(x_hat, Fx, Fy, gamma) return tf.concat(1, [x, x_hat])

# encoder function for attention patch def encode(self, prev_state, image): # update the RNN with our image with tf.variable_scope("encoder",reuse=self.share_parameters): hidden_layer, next_state = self.lstm_enc(image, prev_state)

# map the RNN hidden state to latent variables with tf.variable_scope("mu", reuse=self.share_parameters): mu = dense(hidden_layer, self.n_hidden, self.n_z) with tf.variable_scope("sigma", reuse=self.share_parameters): logsigma = dense(hidden_layer, self.n_hidden, self.n_z) sigma = tf.exp(logsigma) return mu, logsigma, sigma, next_state def sampleQ(self, mu, sigma): return mu + sigma*self.e # decoder function def decode_layer(self, prev_state, latent): # update decoder RNN using our latent variable with tf.variable_scope("decoder", reuse=self.share_parameters): hidden_layer, next_state = self.lstm_dec(latent, prev_state)

return hidden_layer, next_state

# write operation without attention def write_basic(self, hidden_layer): # map RNN hidden state to image with tf.variable_scope("write", reuse=self.share_parameters): decoded_image_portion = dense(hidden_layer, self.n_hidden, self.img_size**2) return decoded_image_portion # write operation with attention def write_attention(self, hidden_layer): with tf.variable_scope("writeW", reuse=self.share_parameters): w = dense(hidden_layer, self.n_hidden, self.attention_n**2) w = tf.reshape(w, [self.batch_size, self.attention_n, self.attention_n]) Fx, Fy, gamma = self.attn_window("write", hidden_layer) Fyt = tf.transpose(Fy, perm=[0,2,1]) wr = tf.batch_matmul(Fyt, tf.batch_matmul(w, Fx)) wr = tf.reshape(wr, [self.batch_size, self.img_size**2]) return wr * tf.reshape(1.0/gamma, [-1, 1])

model = draw_mod
 
你可以在作者的github主页上查看更多:
https://github.com/shugert/DRAW

原文链接:
https://hackernoon.com/understanding-a-recurrent-neural-network-for-image-generation-7e2f83wdg

(*本文为 AI科技大本营翻译文章,转载请联系微信 1092722531)


福利时刻



入群参与每周抽奖~


扫码添加小助手,回复:大会,加入福利群,参与抽奖送礼!


CSDN年度Top应用案例重磅评选活动正在火热报名中。我们希望找到在汽车、金融、医疗、教育等各大行业的AI Top 30+案例,相信挖掘出优秀先行者会给不同行业领域带来启迪,进而推动整个AI行业的发展进程。欢迎参选:https://aiprocon.csdn.net/m/topic/ai_procon/top30

       


推荐阅读

你点的每个“在看”,我都认真当成了喜欢
登录查看更多
3

相关内容

递归神经网络(RNN)是神经网络的一种。单纯的RNN因为无法处理随着递归,权重指数级爆炸或梯度消失问题,难以捕捉长期时间关联;而结合不同的LSTM可以很好解决这个问题。 时间递归神经网络可以描述动态时间行为,因为和前馈神经网络(feedforward neural network)接受较特定结构的输入不同,RNN将状态在自身网络中循环传递,因此可以接受更广泛的时间序列结构输入。手写识别是最早成功利用RNN的研究结果。
【ICML2020-西电】用于语言生成的递归层次主题引导RNN
专知会员服务
22+阅读 · 2020年6月30日
一份简明有趣的Python学习教程,42页pdf
专知会员服务
77+阅读 · 2020年6月22日
自回归模型:PixelCNN
专知会员服务
27+阅读 · 2020年3月21日
Transformer文本分类代码
专知会员服务
118+阅读 · 2020年2月3日
【MIT深度学习课程】深度序列建模,Deep Sequence Modeling
专知会员服务
78+阅读 · 2020年2月3日
【反馈循环自编码器】FEEDBACK RECURRENT AUTOENCODER
专知会员服务
23+阅读 · 2020年1月28日
必读的10篇 CVPR 2019【生成对抗网络】相关论文和代码
专知会员服务
33+阅读 · 2020年1月10日
用深度学习做文本摘要
专知
24+阅读 · 2019年3月30日
【干货】深入理解自编码器(附代码实现)
GAN完整理论推导、证明与实现(附代码)
数据派THU
5+阅读 · 2017年10月6日
【教程】详解如何使用Keras实现Wassertein GAN
GAN生成式对抗网络
7+阅读 · 2017年10月5日
【原理】十个生成模型(GANs)的最佳案例和原理 | 代码+论文
GAN生成式对抗网络
8+阅读 · 2017年8月14日
A Probe into Understanding GAN and VAE models
Arxiv
9+阅读 · 2018年12月13日
Image Captioning based on Deep Reinforcement Learning
Arxiv
8+阅读 · 2018年5月21日
Arxiv
11+阅读 · 2018年3月23日
Arxiv
4+阅读 · 2018年3月23日
Arxiv
10+阅读 · 2018年2月17日
VIP会员
相关VIP内容
【ICML2020-西电】用于语言生成的递归层次主题引导RNN
专知会员服务
22+阅读 · 2020年6月30日
一份简明有趣的Python学习教程,42页pdf
专知会员服务
77+阅读 · 2020年6月22日
自回归模型:PixelCNN
专知会员服务
27+阅读 · 2020年3月21日
Transformer文本分类代码
专知会员服务
118+阅读 · 2020年2月3日
【MIT深度学习课程】深度序列建模,Deep Sequence Modeling
专知会员服务
78+阅读 · 2020年2月3日
【反馈循环自编码器】FEEDBACK RECURRENT AUTOENCODER
专知会员服务
23+阅读 · 2020年1月28日
必读的10篇 CVPR 2019【生成对抗网络】相关论文和代码
专知会员服务
33+阅读 · 2020年1月10日
相关资讯
相关论文
Top
微信扫码咨询专知VIP会员