只有加法也能做深度学习,北大、华为等提出AdderNet,性能不输传统CNN

2020 年 1 月 7 日 量子位
晓查 发自 凹非寺 
量子位 报道 | 公众号 QbitAI

在深度学习里,乘积是个避免不了的运算,比如做图像识别的卷积层,就需要做大量的乘法。

但是,与加法运算相比,乘法运算的计算复杂度高得多。

现在的深度学习在很大程度上依赖于GPU硬件,做大量的乘法运算,限制了它在移动设备上的应用,需要一种更高效的方法。

如果能够抛弃乘法运算,是不是会让代码运行速度更快呢?

来自北京大学、华为诺亚方舟实验室、鹏城实验室的研究人员提出了一种加法器网络AdderNet,去掉卷积乘法,并设计一种新的反向传播算法,结果也能训练神经网络。

而且实验结果证明了,这种方法在MNIST、CIFAR-10、SVHN上已经接近传统CNN的SOTA结果。

加法网络早已有之

早在2015年,Bengio等人就提出了二元权重(1或-1)神经网络,用简单的累加运算来代替乘法,提高深度学习硬件的运行效率。

紧接着在2016年,Bengio等人进一步提出了二元神经网络(BNN),不仅是权重,连激活函数也被设定为二元形式。

尽管将深度神经网络二元化可以极大地降低了计算成本,但是原始识别精度经常无法保持。另外,二元网络的训练过程不稳定,并且通常收敛速度较慢。

卷积通常作为默认操作从图像数据中提取特征,若引入各种方法来加速卷积,则存在牺牲网络性能的风险。

如何让避免CNN中的乘法呢?研究人员使用L1了距离。L1距离是两点坐标差值的绝对值之和,不涉及乘法。

加法运算是L1距离中的主要操作,使用补码可以轻松地将求差值的运算转化为加法。

研究人员在此基础上提出了加法器网络AdderNet,下图展示了AdderNet和CNN的不同之处:

不同类别的CNN特征按其角度来划分。由于AdderNet使用L1范数来区分不同的类,因此AdderNet的特征倾向于聚集到不同的类中心。

可视化的结果表明,L1距离可用作深度神经网络中滤波器与输入特征之间距离的相似性度量。滤波器和输入特征的距离可以表述为:

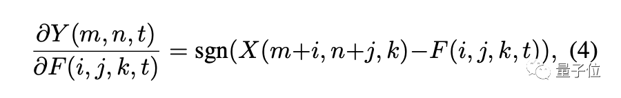
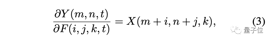
在传统的CNN中,计算偏导数的公式为:

而在L1范数的定义中,偏导数变成了:

其中sgn代表符号函数,它让我们求得的梯度只能取三种值:-1,0,1。

由此进行优化的方法叫做符号SGD(signSGD)。但是,signSGD几乎永远不会沿着最陡的下降方向,并且方向性只会随着维数的增长而变差。因此要使用另一种形式的梯度:

在优化过程中,不仅需要求出对滤波器的梯度,还要求对输入特征的偏导数:

其中HT是HardTanh函数:

最后,得到了AdderNet的优化方法:

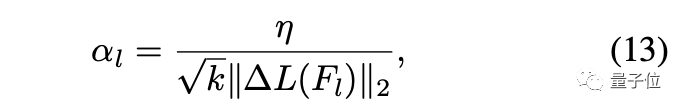
学习率的公式是:

其中k是Fl中元素的数量,ΔL(Fl)是第l层的滤波器梯度。

最后,在CIFAR-10的图像分类任务中,AdderNet相比原始的二元神经网络BNN性能有大幅的提升,并且性能已经接近了传统CNN的结果。

这种方法训练的得到的权重分布也和CNN有很大的不同,AdderNet的权重服从拉普拉斯分布,而CNN的权重服从高斯分布。

作者表示,在未来的工作中,他们将研究AdderNet的量化结果,以实现更高的速度和更低的能耗,以及AdderNet的通用性,不仅用于图像分类,还将用到目标检测和语义分割等任务中。

遭网友diss

这篇文章发布到网上后,引发了Reddit论坛机器学习板块的热议。

有网友认为,文章以提高运算性能为目的,但在结尾只提到了图像分类认为的正确率,不免让人感到文不对题。

文章不是在深度学习任务中更常见的GPU硬件上部署模型,而是选择在CPU上部署,可能无法体现出加法运算的优势。

而且现在各种专用AI芯片、FPGA都对深度学习任务做了优化,算浮点乘法并不一定与加法消耗资源相差太大。

对此你怎么看呢?

论文链接:
https://arxiv.org/abs/1511.00363

作者系网易新闻·网易号“各有态度”签约作者


AI内参|把握AI发展新机遇

拓展优质人脉,获取最新AI资讯&论文教程,欢迎加入AI内参社群一起学习~

跟大咖交流 | 进入AI社群


量子位 QbitAI · 头条号签约作者



վ'ᴗ' ի 追踪AI技术和产品新动态


喜欢就点「在看」吧 !




登录查看更多
1

相关内容

【ICML2020-华为港科大】RNN和LSTM有长期记忆吗?
专知会员服务
78+阅读 · 2020年6月25日
【CVPR 2020-商汤】8比特数值也能训练卷积神经网络模型
专知会员服务
26+阅读 · 2020年5月7日
基于深度神经网络的少样本学习综述
专知会员服务
173+阅读 · 2020年4月22日
专知会员服务
164+阅读 · 2020年4月21日
【ICLR-2020】网络反卷积,NETWORK DECONVOLUTION
专知会员服务
39+阅读 · 2020年2月21日
SFFAI分享 | 杨朝晖:二值化网络
人工智能前沿讲习班
6+阅读 · 2018年11月22日
计算机视觉领域最全汇总
极市平台
6+阅读 · 2018年9月4日
基于混合张量分解提升扩张卷积网络
论智
12+阅读 · 2018年2月11日
CNN 反向传播算法推导
统计学习与视觉计算组
30+阅读 · 2017年12月29日
干货 | 深度学习之CNN反向传播算法详解
机器学习算法与Python学习
17+阅读 · 2017年11月21日
神经网络bp算法推导
统计学习与视觉计算组
11+阅读 · 2017年11月17日
Arxiv
4+阅读 · 2020年3月27日
Arxiv
12+阅读 · 2019年3月14日
Arxiv
7+阅读 · 2018年1月10日
VIP会员
相关资讯
SFFAI分享 | 杨朝晖:二值化网络
人工智能前沿讲习班
6+阅读 · 2018年11月22日
计算机视觉领域最全汇总
极市平台
6+阅读 · 2018年9月4日
基于混合张量分解提升扩张卷积网络
论智
12+阅读 · 2018年2月11日
CNN 反向传播算法推导
统计学习与视觉计算组
30+阅读 · 2017年12月29日
干货 | 深度学习之CNN反向传播算法详解
机器学习算法与Python学习
17+阅读 · 2017年11月21日
神经网络bp算法推导
统计学习与视觉计算组
11+阅读 · 2017年11月17日
Top
微信扫码咨询专知VIP会员