今天是一个信息量很大的日子,所有上网的人都应该记住他

2019 年 4 月 30 日 果壳网

提起4月30日,你第一反应是什么?


相信大多数人和我一样,都是在心里默默倒计时——距离五一小长假开启还剩XX小时。


但这个问题还可以有个更有逼格的答案——香农诞辰


提到香农这个名字,相信不少人都默默回忆了一下这人是干啥的,最后得出一个干巴巴的结论——克劳德·艾尔伍德·香农,美国数学家、信息论的创始人。


但这个答案不够透彻,不够完全,无法完全概括这个看似不熟但实则和我们日常生活息息相关的男人。最重要的一点是,香农这种让人一见钟情的颜值水平竟然没有提!




没有香农,就没有“信息量真大”这句话


当遇到很有内涵的内容的时候,我们往往会说“信息量真大”。可很少有人仔细想过,“信息”这一不可数的存在,究竟如何会与量词相结合。其实从古至今,人们一直在试图找到一种衡量消息中“信息浓度”的方法。在大多数语言中,“信息”一词往往以不可数名词出现,这也从另一方面印证了这一问题的困难程度。


到了信息时代,对信号的处理与分析又需要一个适当的对信息量的衡量标准,所以数学家们也被这一问题困扰着。直到1948年,这个问题被香农在论文《通信的数学理论》中首次解决,这才让数学家们松了一口气。


图 | WordPress.com


香农在书中将热力学里面的“熵”引入了信息学,提出了“信息熵”的概念,还确定了信息的基本单位——比特(bit)。在他看来,信息的作用就体现在使得某事件发生的概率从之前的某个概率变为1,所以信息量是与概率有关的


感谢香农,从此信息变得可度量了,信源、信道、编码、解码、传输、接收,抽象概念都有了严格的数学描述。


图 | wordpress


信息熵的应用也很广,即便是在智力题里也有体现。就比如经典题目“有 100 个外表相同的球,已知其中有一个与其他球的质量不同。现要求用没有砝码的天平在最少次数中找出这个球”背后,暗藏的就是信息熵的原理。


也有学者把信息熵的理论应用在语言学上。他们统计了不同语言中各字母的频率,英语的平均信息熵是 4.03 比特,法语的平均信息熵是 3.98,西班牙语是 4.01 比特,德语的是 4.10 比特,俄文的是 4.8 比特,都略低于相应字符集的最大信息熵。


这也是很容易理解的,自然语言中存在许多词首词尾与固定搭配,不同字母的出现频率是不同的。但是信息学家们并不满意这个结果,因为在传输中更大的平均信息熵就意味着更高的效率,所以他们一直在试图追寻能使信息熵更高的压缩编码方式,像我们常用的WinRAR等软件就是他们工作的结果。


图 | ZDNet


当然,这样的“理想语言”在人类眼中看来是毫无文采、索然无趣的。我们使用的自然语言中正是由于那么一点多余的低效率,才造出了丰富多彩的效果。值得一提的是,中文的信息熵高达 9.65 比特,也许这也是汉语中各种文字游戏比较多的根源吧。 


想要知道WiFi密码?问香农


古语有云:失去人性,失去很多;失去WiFi,失去一切。这个世纪的人们仿佛都中了瘾——无论到哪里,第一个问题都是:“WiFi密码多少?”



WiFi已无法从现代人的生活中剥离,当你在愉快地用WiFi刷着果壳时,你还得感谢一下香农。


事实上,如果说海蒂·拉玛是“Wi-Fi之母”的话,香农可以算得上WiFi的祖父。他提出的定理,为信息论和数字通信奠定了基础。


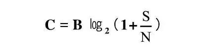
香农在1948年提出过一个著名的公式——香农第二定理(有噪信道编码定理)


香农清晰的定义了无线通信领域理论上的传输速率由哪些因素决定以及他们之间的量化关系。对无线通信原理和技术的发展起到了巨大的推动作用,为人们如何利用有限频谱资源更快更好的传递信息指明了方向。


同时从这一公式还可以推导出即便应用无限大的频谱带宽,传递信息的速率也是有极限的,这就是著名的香农极限。这一成就后来成功应用于电话、光纤和无线通信上,例如当下5G的频谱效率已经在很大程度上的接近甚至达到了香农极限。


在这些领域,香农也能排得上名号


除去数学、通信两开花,香农还涉足了传播学、密码学、人工智能和火力控制系统研究等领域,皆奉献了不止一点点也不微小的成就。



不过要问香农本人自己最擅长的什么,相信这位大师一定会说——杂耍!什么数学、信息论都只是业余爱好,香农真正付出了毕生的心血、一直在努力的事业,并且自我感觉最良好的成就是杂耍。


他还将曾经获得的所有证书统统扔到了房间的阴暗角落,家里最显眼的地方,只放着一张证书——杂耍学博士。要知道香农得过的荣誉都是富兰克林奖章、美国工业电子工程协会凯莱奖、美国全国科学研究合作奖、莱博曼纪念奖、美国电机和电子工程协会荣誉奖章这种级别的。


图| Wikipedia


况且人家也不是随随便便的玩,香农仙逝之前,还在撰写一本名为《统一的杂耍场理论》的著作。要不是上帝急着想和他聊聊研究成果,估计香农就快成为“科学杂耍”的开山宗师。


甚至某次会议致辞上,香农说了几分钟后,害怕听众会感到无聊,居然从口袋里掏出三个圆圈开始杂耍,会场的科学家们瞬间目瞪口呆。相信无论对主办方还是听众而言,这都是一次难忘的学术体验。


图| stanstudio.coma


当然,“宝藏”男神香农的成就可不是随随便便就能说完的,毕竟一辈子只专注做好一件事对这位大神不适用。对香农而言,娱乐与科学研究之间并没有清晰界限,有时候好奇心比实用性更重要。这种即使玩玩也能出成就的大神,真的让人除了羡慕嫉妒没有恨以外毫无办法呢!


不过至少有一点,我们和香农还是站在同一起跑线的。那就是香农也是个“追星boy”,男神的偶像自然也是男神,香农自孩提时期就仰慕托马斯·爱迪生。(事实上爱迪生是香农的远亲,知道这个冷知识相信大家心里并没有好受多少呢!)


作者:Maxwellsdemon、哪吒大魔王

编辑:劈柴,Lrony


参考来源:

[1] Jimmi Soni and Rob Goodman. (‎2017)‎. A MIND AT PLAY : How Claude Shannon Invented the Information Age. New York:Simon & Schuster.

[2] Rob Goodman and Jimmy Soni. (‎2017)‎. CLAUDE SHANNON: MATHEMATICIAN, ENGINEER, GENIUS…AND JUGGLER? Avaialbe at: https://www.juggle.org/claude-shannon-mathematician-engineer-genius-juggler/

[3] László Kozma . (‎2010)‎. Shannon’s Juggling Theorem. Avaialbe at: http://lkozma.net/blog/shannons-juggling-theorem/




一个AI

对香农来说,大概不存在什么“专业不对口”的问题吧……


才华与颜值兼备,学术与娱乐齐飞,像香农这样的“宝藏科学家”可不少。你最喜欢的科学家是谁?AI和同事创建了一个互动话题,快来和大家聊一聊。


BTW,我们设置了小小的门槛,相信热爱科学的你肯定会通过考验!扫描下面的二维码,在42秒内答对尽可能多的题,达到一定分数才可以加入,每24小时仅能答题一次。呼~深吸一口气,然后好好答题吧!


AI和同事们等你来玩哦~

登录查看更多
0

相关内容

【ICML2020-华为港科大】RNN和LSTM有长期记忆吗?
专知会员服务
78+阅读 · 2020年6月25日
【CVPR2020】多模态社会媒体中危机事件分类
专知会员服务
55+阅读 · 2020年4月18日
机器学习速查手册,135页pdf
专知会员服务
345+阅读 · 2020年3月15日
《代码整洁之道》:5大基本要点
专知会员服务
50+阅读 · 2020年3月3日
【2020新书】简明机器学习导论,电子书与500页PPT
专知会员服务
205+阅读 · 2020年2月7日
物理学家终于找到了一种拯救薛定谔猫的方法
中科院物理所
8+阅读 · 2019年6月10日
不用数学讲清马尔可夫链蒙特卡洛方法?
算法与数学之美
16+阅读 · 2018年8月8日
万万没想到,枯燥的“机器学习”还可以这样学!
我是一个爬虫
码农翻身
12+阅读 · 2018年6月4日
CCCF专栏:李航 | 人工智能的未来 ——记忆、知识、语言
中国计算机学会
7+阅读 · 2018年3月16日
送书 | 深入浅出,一起学习贝叶斯!
AI100
10+阅读 · 2018年2月2日
【直观详解】信息熵、交叉熵和相对熵
机器学习研究会
10+阅读 · 2017年11月7日
嘿,这是本应属于你的“红包”!
腾讯
3+阅读 · 2017年7月13日
Arxiv
16+阅读 · 2019年4月4日
Arxiv
5+阅读 · 2018年4月30日
Arxiv
5+阅读 · 2018年4月22日
Arxiv
10+阅读 · 2018年3月10日
VIP会员
相关VIP内容
【ICML2020-华为港科大】RNN和LSTM有长期记忆吗?
专知会员服务
78+阅读 · 2020年6月25日
【CVPR2020】多模态社会媒体中危机事件分类
专知会员服务
55+阅读 · 2020年4月18日
机器学习速查手册,135页pdf
专知会员服务
345+阅读 · 2020年3月15日
《代码整洁之道》:5大基本要点
专知会员服务
50+阅读 · 2020年3月3日
【2020新书】简明机器学习导论,电子书与500页PPT
专知会员服务
205+阅读 · 2020年2月7日
相关资讯
物理学家终于找到了一种拯救薛定谔猫的方法
中科院物理所
8+阅读 · 2019年6月10日
不用数学讲清马尔可夫链蒙特卡洛方法?
算法与数学之美
16+阅读 · 2018年8月8日
万万没想到,枯燥的“机器学习”还可以这样学!
我是一个爬虫
码农翻身
12+阅读 · 2018年6月4日
CCCF专栏:李航 | 人工智能的未来 ——记忆、知识、语言
中国计算机学会
7+阅读 · 2018年3月16日
送书 | 深入浅出,一起学习贝叶斯!
AI100
10+阅读 · 2018年2月2日
【直观详解】信息熵、交叉熵和相对熵
机器学习研究会
10+阅读 · 2017年11月7日
嘿,这是本应属于你的“红包”!
腾讯
3+阅读 · 2017年7月13日
Top
微信扫码咨询专知VIP会员