滴滴司机调度系统实践

2020 年 8 月 9 日 DataFunTalk
导读:随着移动互联网的兴起,网约车逐渐成为了大众常用的一个出行选择。但在网约车平台上经常出现这种情况:有时候乘客抱怨打不到车,与此同时其他地方的司机却没有订单接,长时间空驶。这就是典型的供需不平衡问题,即乘客和司机的自然分布出现了错配。这一方面让很多乘客的出行需求得不到满足,另一方面也让很多司机空驶等待,运力资源没有充分利用。如何解决供需不平衡问题呢?

01

背景

出租车为人们提供了方便灵活的出行服务,在公共交通中扮演了重要角色。出租车在道路上空载行驶寻找乘客的过程,称为空车巡游过程。这一过程可能会占到出租车司机工作时间的50%以上,降低了出租车的运营效率。
在网约车平台上,司机和乘客向平台上报他们的实时位置,平台通过集中决策机制来完成司机和乘客间的匹配。在这种情况下,司机可以在实际见到乘客前就接到该乘客的订单,因而空车巡游的目的不再是寻找乘客,而是寻找一个接到订单概率更高的地理区域或者路线。
本质上来说,空车巡游是由供给和需求间的不平衡导致的。例如图1中,在早高峰司机将一位乘客从家送到办公室后,由于此刻办公区域乘客需求很少,司机必须再次回到住宅区才能有比较大的机会接到下一单。

图1. 司机调度问题背景

在本文中,我们研究司机调度问题。所谓“司机调度”,是指平台会通过一定的交互过程打断司机自发的空车巡游过程,将他们引向一个更可能接到单的目的地。受益于供需两侧丰富的实时信息,平台可以通过调度改善司机个人的体验,同时提高平台整体的效率。
02

什么是“调度任务”

实际场景中,空闲司机往往依赖个人经验来决定空车巡游的目的地,主观性强。经验不准确时可能会前往接单概率较低的区域,既影响司机的个人收入和接单体验,也会影响乘客需求的满足率。因此,本文中我们利用司机和平台之间的实时信息通道来为司机发送即时的调度任务,帮助空闲司机找到最佳的空车巡游目的地。
在本文中,当司机停留在空闲状态时会触发调度任务,如图2所示。调度任务会以卡片消息的形式在司机的APP上弹出。如果司机点击导航按钮,会直接进入以调度终点为目的地的导航页面。为帮助司机尽快接到下一个订单,在司机前往调度终点的途中,始终可以被分配订单。

图2. 调度任务的产品交互形式
一次调度任务包括三个步骤:
  • 告知司机一个明确的调度目的地。

  • 在下发调度任务后追踪司机的行为,判定调度任务是否成功。

  • 在调度任务失败时为司机提供补偿。

在这里,需要对调度任务的判定标准进行更具体的说明。一个调度任务有四种可能的结束状态,如图3所示。

图3. 调度任务的结束状态

  • 状态1:司机没有接受调度任务,并且向反方向行驶。

  • 状态2:司机接受调度任务并驶向调度终点,在途中被分配了一个订单。

  • 状态3:司机接受调度任务并到达调度终点,然后在一个固定的时间窗口内接到了订单。

  • 状态4:司机接受调度任务并到达调度终点,在终点停留一段时间,但在一个固定的时间窗口内一直都没有接到订单。

如果一次调度任务以状态2和状态3结束,那么被视作一次成功的调度;如果以状态4结束,则会被视作一次失败的调度。由于接受调度任务会给司机带来额外的空驶成本,因此,在调度任务失败的情况下,应当为司机提供一定的补偿。这是在司机和平台之间建立信任的关键措施。

03

方法

本文提出的解决框架分为三阶段,如图4所示。受到推荐系统的启发,前两个阶段的作用是产生候选调度任务集并为每一个候选调度任务打分;受到车队管理方法的启发,第三阶段应用规划算法来实现多司机间的协作,产生最终向司机下发的调度任务。

图4. 框架示意图
第一阶段:产生候选调度任务
一个调度任务包含四个元素:司机、调度终点、过期时间、补偿金额。
首先,筛选空闲时间超过一定阈值的司机作为候选司机。一般来说,空闲一段时间的司机更需要在听单方面的帮助,也会更愿意接受调度。
然后,为每个候选司机筛选合适的候选调度终点。候选调度终点的产生方式有三种:
  • 司机所在位置周边格子,这些格子距离司机较近,司机更有可能前往;

  • 在历史行驶轨迹中连续出现的格子,用于找到一些离当前位置较远、但是由于路网关系可以很快到达的地点;

  • 全城热点格子,用于找到一些需求密集的地点。

对于每一个候选终点格子,我们会从格子内选择一个POI点作为调度的终点,然后根据司机当前位置到调度终点的预计到达时间(ETA)来设置调度任务的过期时间。
最后,为了保证良好的用户体验,我们引入了失败概率预测模型,只保留失败概率不大于一定阈值的候选调度任务,并在任务失败的情况下为司机提供一定的补偿。补偿金额与调度任务起终点间的距离有关。
第二阶段:任务评分
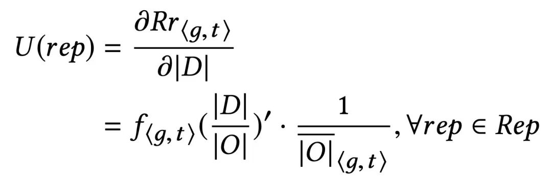
任务评分阶段度量了每一个候选调度任务可能为平衡供需分布、提高平台效率所带来的收益。
对于一个时空状态,用分段线性函数拟合应答率(被应答订单数与全部呼叫订单数之比)与供需比(空闲司机数与呼叫订单数之比)的函数关系:
依据这一函数,可以计算出向调度终点时空增加一个空闲司机可能会带来的边际增益,以此作为每一个候选调度任务的评分结果,即
依据拟合结果,我们可以推导出另外一个有应用价值的结果:每个时空状态的司机缺口数量。通过设定一个目标应答率,我们可以计算出达到这一目标所需增加的司机数量,也即运力缺口数:
第三阶段:规划
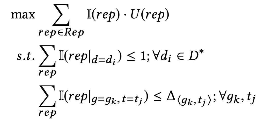
在第一阶段产生的候选调度任务集,并且在第二阶段得到每个候选调度任务的评分后,本文采用规划方法从候选集中挑选出最终下发的调度任务。在规划方法中,以保障司机体验作为约束,寻找使得平台全局收益最大化的一组最优调度任务,可以表示为:
其中, 为指示变量,表示一个候选调度任务是否被保留在最终的调度任务集内。
对这一优化问题直接求解需要较长的计算时间,本文进一步将其转化为一个最小费用流问题,如图5所示。

图5. 最小费用流示意图
04

实验结果

因为在框架设计中考虑了司机接受调度的意愿等实际问题,所以本文直接在线上环境中评估框架的效果。我们进行了多轮AB实验,对框架的整体效果和各个阶段的关键设计分别进行了评估。实验结果显示,与司机自主巡游相比,应用本文提出的框架可以提高司机效率,改善司机体验,并且可以提高司机总收入。边际增益函数、最小费用流模块、任务失败补偿等关键设计也都取得了正向的收益。
在实验后,我们通过问卷调查收集了司机们的反馈意见。在填写问卷的司机中,有64.6%的司机表示在下次收到调度任务时他们会选择接受。依据问卷调查结果,调度任务的NPS为27.0%,这反映出司机对调度任务的整体评价是非常积极的。
05

结论和下一步计划

针对在网约车平台上如何为司机巡游提供有效帮助的问题,本文提出了一个符合业界应用要求的解决框架。该框架通过用户友好的交互设计和合理的司机间协作,实现了调节供需平衡、提高司机效率的目标。在线上的AB实验中,司机收入和体验相关指标上有明显改善。目前,这一框架已经被部署在了滴滴出行平台上,每天为数百万司机提供服务。
未来,这一框架的各个环节都会持续进行改进,也可以采用强化学习方法设计一个端到端的解决方案。另外,采用路网数据直接优化空车巡游行驶路线也可能是与为司机推荐巡游目的地完全不同的另一条研究路线。
参考论文:
When Recommender Systems Meet Fleet Management: Practical Study in Online Driver Repositioning System
https://dl.acm.org/doi/abs/10.1145/3366423.3380287
今天的分享就到这里,谢谢大家。
友情推荐:


在文末分享、点赞、在看,给个三连击呗~~


社群推荐:

欢迎加入 DataFunTalk NLP 算法交流群,跟同行零距离交流。如想进群,请识别下面的二维码,根据提示自主入群。

文章推荐:

AB实验在滴滴数据驱动中的应用

关于我们:

DataFunTalk 专注于大数据、人工智能技术应用的分享与交流。发起于2017年,在北京、上海、深圳、杭州等城市举办超过100场线下沙龙、论坛及峰会,已邀请近500位专家和学者参与分享。其公众号 DataFunTalk 累计生产原创文章300+,百万+阅读,7万+精准粉丝。

🧐分享、点赞、在看,给个三连击呗!👇 

登录查看更多
18

相关内容

个性化推荐系统技术进展
专知会员服务
66+阅读 · 2020年8月15日
【KDD2020-阿里】可调控的多兴趣推荐框架
专知会员服务
29+阅读 · 2020年8月11日
大规模时间序列分析框架的研究与实现,计算机学报
专知会员服务
59+阅读 · 2020年7月13日
FPGA加速系统开发工具设计:综述与实践
专知会员服务
69+阅读 · 2020年6月24日
打怪升级!2020机器学习工程师技术路线图
专知会员服务
99+阅读 · 2020年6月3日
专知会员服务
126+阅读 · 2020年3月26日
深度神经网络实时物联网图像处理,241页pdf
专知会员服务
78+阅读 · 2020年3月15日
滴滴离线索引快速构建FastIndex架构实践
InfoQ
21+阅读 · 2020年3月19日
【数字化转型】华为数字化转型实践
产业智能官
11+阅读 · 2020年2月22日
去哪儿智能故障预测与应用健康管理实践
DBAplus社群
15+阅读 · 2019年9月2日
出行即服务(MAAS)框架
智能交通技术
53+阅读 · 2019年5月22日
MAAS:出行服务的颠覆者
智能交通技术
16+阅读 · 2018年12月27日
苏宁大数据离线任务开发调度平台实践
AI前线
5+阅读 · 2018年11月5日
ELK + Filebeat 搭建日志系统
架构文摘
7+阅读 · 2017年12月14日
阿里小蜜:电商领域的智能助理技术实践
AI前线
5+阅读 · 2017年11月22日
Self-Attention Graph Pooling
Arxiv
13+阅读 · 2019年6月13日
Arxiv
10+阅读 · 2018年2月9日
Arxiv
6+阅读 · 2016年1月15日
VIP会员
相关VIP内容
个性化推荐系统技术进展
专知会员服务
66+阅读 · 2020年8月15日
【KDD2020-阿里】可调控的多兴趣推荐框架
专知会员服务
29+阅读 · 2020年8月11日
大规模时间序列分析框架的研究与实现,计算机学报
专知会员服务
59+阅读 · 2020年7月13日
FPGA加速系统开发工具设计:综述与实践
专知会员服务
69+阅读 · 2020年6月24日
打怪升级!2020机器学习工程师技术路线图
专知会员服务
99+阅读 · 2020年6月3日
专知会员服务
126+阅读 · 2020年3月26日
深度神经网络实时物联网图像处理,241页pdf
专知会员服务
78+阅读 · 2020年3月15日
相关资讯
滴滴离线索引快速构建FastIndex架构实践
InfoQ
21+阅读 · 2020年3月19日
【数字化转型】华为数字化转型实践
产业智能官
11+阅读 · 2020年2月22日
去哪儿智能故障预测与应用健康管理实践
DBAplus社群
15+阅读 · 2019年9月2日
出行即服务(MAAS)框架
智能交通技术
53+阅读 · 2019年5月22日
MAAS:出行服务的颠覆者
智能交通技术
16+阅读 · 2018年12月27日
苏宁大数据离线任务开发调度平台实践
AI前线
5+阅读 · 2018年11月5日
ELK + Filebeat 搭建日志系统
架构文摘
7+阅读 · 2017年12月14日
阿里小蜜:电商领域的智能助理技术实践
AI前线
5+阅读 · 2017年11月22日
Top
微信扫码咨询专知VIP会员