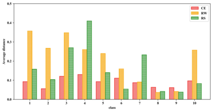
Our work focuses on tackling the challenging but natural visual recognition task of long-tailed data distribution (i.e., a few classes occupy most of the data, while most classes have rarely few samples). In the literature, class re-balancing strategies (e.g., re-weighting and re-sampling) are the prominent and effective methods proposed to alleviate the extreme imbalance for dealing with long-tailed problems. In this paper, we firstly discover that these re-balancing methods achieving satisfactory recognition accuracy owes to that they could significantly promote the classifier learning of deep networks. However, at the same time, they will unexpectedly damage the representative ability of the learned deep features to some extent. Therefore, we propose a unified Bilateral-Branch Network (BBN) to take care of both representation learning and classifier learning simultaneously, where each branch does perform its own duty separately. In particular, our BBN model is further equipped with a novel cumulative learning strategy, which is designed to first learn the universal patterns and then pay attention to the tail data gradually. Extensive experiments on four benchmark datasets, including the large-scale iNaturalist ones, justify that the proposed BBN can significantly outperform state-of-the-art methods. Furthermore, validation experiments can demonstrate both our preliminary discovery and effectiveness of tailored designs in BBN for long-tailed problems. Our method won the first place in the iNaturalist 2019 large scale species classification competition, and our code is open-source and available at https://github.com/Megvii-Nanjing/BBN.


翻译:我们的工作重点是应对长期数据分发具有挑战性但自然视觉识别的任务(即,少数类占据了大部分数据,而大多数类则很少有样本),在文献中,班级再平衡战略(例如,重新加权和再抽样)是缓解处理长期问题极端不平衡现象的突出而有效的方法。在本文中,我们首先发现这些重新平衡方法能够达到令人满意的识别准确度,因为它们可以大大促进深度网络的分类学。但与此同时,它们会意外地损害所学到的深度特征的代表性能力。因此,我们提议建立一个统一的双边-布兰奇网络(BBN),同时处理代表性学习和分类学习(例如,重新加权和再抽样),每个分支都单独履行自己的职责。特别是,我们的BBN模型还具备新的累积学习战略,目的是首先了解普遍模式,然后逐渐关注尾部数据。在四个基准数据集上进行广泛的实验,包括大型的I-Natriblic 和在大规模IMI-I-I-I-I-I-I-I-IAR-I-I-I-I-IL 中进行大规模的升级方法,可以大大地证明我们提出的B-IL-IL-IL-IL-I-I-I-IL-I-I-I-IL-IL-IL-IL-I-I-I-I-I-I-I-I-I-I-I-I-I-I-I-I-I-I-I-I-I-I-I-I-I-I-I-I-I-I-I-I-Id-Id-I-I-I-I-I-I-I-I-I-I-I-I-I-I-I-I-I-I-I-I-I-I-I-I-I-I-I-I-I-I-I-I-I-I-I-I-I-I-I-I-I-I-I-I-I-I-I-I-I-I-I-I-I-I-I-I-I-I-I-I-I-I-I-I-I-I-I-I-I-I-I-I-I-I-I-I-

0
下载
关闭预览

相关内容

100+篇《自监督学习(Self-Supervised Learning)》论文最新合集
专知会员服务
166+阅读 · 2020年3月18日
【深度学习视频分析/多模态学习资源大列表】
专知会员服务
92+阅读 · 2019年10月16日
开源书:PyTorch深度学习起步
专知会员服务
51+阅读 · 2019年10月11日
[综述]深度学习下的场景文本检测与识别
专知会员服务
78+阅读 · 2019年10月10日
TensorFlow 2.0 学习资源汇总
专知会员服务
67+阅读 · 2019年10月9日
内涵网络嵌入:Content-rich Network Embedding
我爱读PAMI
4+阅读 · 2019年11月5日
Transferring Knowledge across Learning Processes
CreateAMind
29+阅读 · 2019年5月18日
IEEE | DSC 2019诚邀稿件 (EI检索)
Call4Papers
10+阅读 · 2019年2月25日
Unsupervised Learning via Meta-Learning
CreateAMind
43+阅读 · 2019年1月3日
A Technical Overview of AI & ML in 2018 & Trends for 2019
待字闺中
18+阅读 · 2018年12月24日
人工智能 | 国际会议截稿信息9条
Call4Papers
4+阅读 · 2018年3月13日
Capsule Networks解析
机器学习研究会
11+阅读 · 2017年11月12日
Equalization Loss for Long-Tailed Object Recognition
Arxiv
5+阅读 · 2020年4月14日
CoCoNet: A Collaborative Convolutional Network
Arxiv
6+阅读 · 2019年1月28日
Arxiv
9+阅读 · 2018年3月20日
VIP会员
Top
微信扫码咨询专知VIP会员