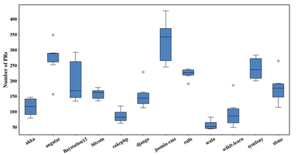
Modern code review is a critical and indispensable practice in a pull-request development paradigm that prevails in Open Source Software (OSS) development. Finding a suitable reviewer in projects with massive participants thus becomes an increasingly challenging task. Many reviewer recommendation approaches (recommenders) have been developed to support this task which apply a similar strategy, i.e. modeling the review history first then followed by predicting/recommending a reviewer based on the model. Apparently, the better the model reflects the reality in review history, the higher recommender's performance we may expect. However, one typical scenario in a pull-request development paradigm, i.e. one Pull-Request (PR) (such as a revision or addition submitted by a contributor) may have multiple reviewers and they may impact each other through publicly posted comments, has not been modeled well in existing recommenders. We adopted the hypergraph technique to model this high-order relationship (i.e. one PR with multiple reviewers herein) and developed a new recommender, namely HGRec, which is evaluated by 12 OSS projects with more than 87K PRs, 680K comments in terms of accuracy and recommendation distribution. The results indicate that HGRec outperforms the state-of-the-art recommenders on recommendation accuracy. Besides, among the top three accurate recommenders, HGRec is more likely to recommend a diversity of reviewers, which can help to relieve the core reviewers' workload congestion issue. Moreover, since HGRec is based on hypergraph, which is a natural and interpretable representation to model review history, it is easy to accommodate more types of entities and realistic relationships in modern code review scenarios. As the first attempt, this study reveals the potentials of hypergraph on advancing the pragmatic solutions for code reviewer recommendation.


翻译:现代代码审查是开放源码软件(OSS)开发中流行的拉动要求发展范式中一个关键和不可或缺的做法。在有大批参与者的项目中找到合适的审查者,因此是一项越来越具有挑战性的任务。许多审查者建议方法(commenders)已经开发出来,以支持这项应用类似战略的任务,即先模拟审查历史,然后根据模型预测/建议审查者。显然,模型更好地反映审查历史中的现实情况,也就是我们可能期望的更高建议者的业绩。然而,在拉动要求发展范式中,一个典型的情景,即拉动要求(PR)(例如一个捐助方提交的修订或添加)可能具有多个审查者,它们可以通过公开发布的评论相互影响。我们采用了高层次技术来模拟这种基于模型的高度多样性关系(即一个拥有多个审查者的PR),并开发了一个新的建议者,即GGREC,由12个拥有超过87K PRc 、680K 精确度(PRP) (PR) (PR) (PR) (PR) (PR) (PLO) (PR) (PLO) (O) (O) (O) (O) (O) (O) (O) (O) (O) (O) (O) (O) (O) (O) (O) (O) (O) (O) (O) (O) (O) (O) (O) (O) (O) (O) (O) (O) (O) (O) (O) (O) (O) (O) (O) (O) (O) (O) (O) (O) (O) (O) (O) (O) (O) (O) (O) (O) (O) (其 ) (O) (O) (O) (O) (O) (O) (O) (O) (O) (O) (O) (O) (O) (O) (O) (O) (O) (O) (O) (O) (O) (O) (O) (O) (O) (O) (O) (O) (O) (O) (O) (O) (O) (O) (O) (O) (O) (O) (O) (

0
下载
关闭预览

相关内容

ACM/IEEE第23届模型驱动工程语言和系统国际会议,是模型驱动软件和系统工程的首要会议系列,由ACM-SIGSOFT和IEEE-TCSE支持组织。自1998年以来,模型涵盖了建模的各个方面,从语言和方法到工具和应用程序。模特的参加者来自不同的背景,包括研究人员、学者、工程师和工业专业人士。MODELS 2019是一个论坛,参与者可以围绕建模和模型驱动的软件和系统交流前沿研究成果和创新实践经验。今年的版本将为建模社区提供进一步推进建模基础的机会,并在网络物理系统、嵌入式系统、社会技术系统、云计算、大数据、机器学习、安全、开源等新兴领域提出建模的创新应用以及可持续性。 官网链接:http://www.modelsconference.org/
专知会员服务
19+阅读 · 2020年9月6日
专知会员服务
61+阅读 · 2020年3月19日
100+篇《自监督学习(Self-Supervised Learning)》论文最新合集
专知会员服务
167+阅读 · 2020年3月18日
强化学习最新教程,17页pdf
专知会员服务
182+阅读 · 2019年10月11日
[综述]深度学习下的场景文本检测与识别
专知会员服务
78+阅读 · 2019年10月10日
机器学习入门的经验与建议
专知会员服务
94+阅读 · 2019年10月10日
征稿 | CFP:Special Issue of NLP and KG(JCR Q2,IF2.67)
开放知识图谱
1+阅读 · 2022年4月4日
VCIP 2022 Call for Special Session Proposals
CCF多媒体专委会
1+阅读 · 2022年4月1日
IEEE ICKG 2022: Call for Papers
机器学习与推荐算法
3+阅读 · 2022年3月30日
ACM MM 2022 Call for Papers
CCF多媒体专委会
5+阅读 · 2022年3月29日
【ICIG2021】Check out the hot new trailer of ICIG2021 Symposium8
中国图象图形学学会CSIG
0+阅读 · 2021年11月16日
【ICIG2021】Check out the hot new trailer of ICIG2021 Symposium1
中国图象图形学学会CSIG
0+阅读 · 2021年11月3日
Hierarchically Structured Meta-learning
CreateAMind
27+阅读 · 2019年5月22日
Unsupervised Learning via Meta-Learning
CreateAMind
43+阅读 · 2019年1月3日
A Technical Overview of AI & ML in 2018 & Trends for 2019
待字闺中
18+阅读 · 2018年12月24日
LibRec 精选:推荐系统的论文与源码
LibRec智能推荐
14+阅读 · 2018年11月29日
国家自然科学基金
1+阅读 · 2013年12月31日
国家自然科学基金
0+阅读 · 2013年12月31日
国家自然科学基金
0+阅读 · 2012年12月31日
国家自然科学基金
0+阅读 · 2009年12月31日
Arxiv
23+阅读 · 2018年8月3日
Arxiv
14+阅读 · 2018年4月18日
VIP会员
相关VIP内容
专知会员服务
19+阅读 · 2020年9月6日
专知会员服务
61+阅读 · 2020年3月19日
100+篇《自监督学习(Self-Supervised Learning)》论文最新合集
专知会员服务
167+阅读 · 2020年3月18日
强化学习最新教程,17页pdf
专知会员服务
182+阅读 · 2019年10月11日
[综述]深度学习下的场景文本检测与识别
专知会员服务
78+阅读 · 2019年10月10日
机器学习入门的经验与建议
专知会员服务
94+阅读 · 2019年10月10日
相关资讯
征稿 | CFP:Special Issue of NLP and KG(JCR Q2,IF2.67)
开放知识图谱
1+阅读 · 2022年4月4日
VCIP 2022 Call for Special Session Proposals
CCF多媒体专委会
1+阅读 · 2022年4月1日
IEEE ICKG 2022: Call for Papers
机器学习与推荐算法
3+阅读 · 2022年3月30日
ACM MM 2022 Call for Papers
CCF多媒体专委会
5+阅读 · 2022年3月29日
【ICIG2021】Check out the hot new trailer of ICIG2021 Symposium8
中国图象图形学学会CSIG
0+阅读 · 2021年11月16日
【ICIG2021】Check out the hot new trailer of ICIG2021 Symposium1
中国图象图形学学会CSIG
0+阅读 · 2021年11月3日
Hierarchically Structured Meta-learning
CreateAMind
27+阅读 · 2019年5月22日
Unsupervised Learning via Meta-Learning
CreateAMind
43+阅读 · 2019年1月3日
A Technical Overview of AI & ML in 2018 & Trends for 2019
待字闺中
18+阅读 · 2018年12月24日
LibRec 精选:推荐系统的论文与源码
LibRec智能推荐
14+阅读 · 2018年11月29日
Top
微信扫码咨询专知VIP会员