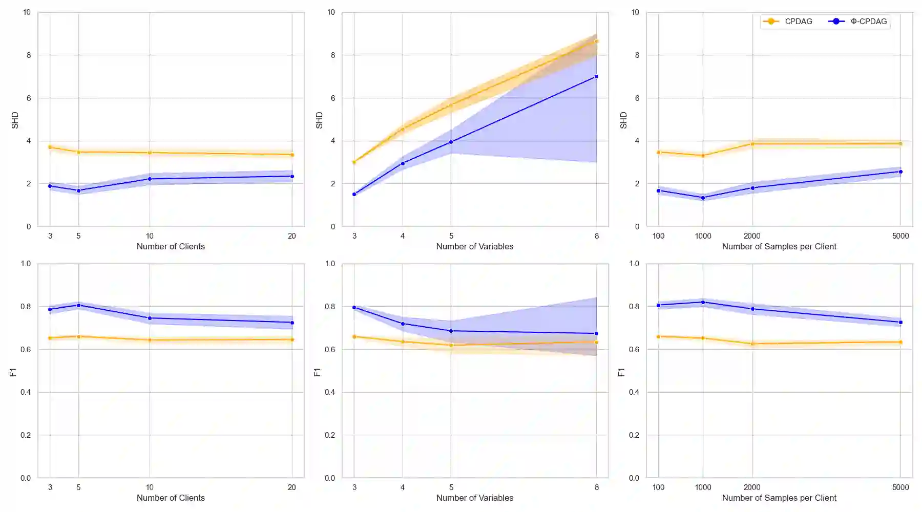
Most causal discovery methods recover a completed partially directed acyclic graph representing a Markov equivalence class from observational data. Recent work has extended these methods to federated settings to address data decentralization and privacy constraints, but often under idealized assumptions that all clients share the same causal model. Such assumptions are unrealistic in practice, as client-specific policies or protocols, for example, across hospitals, naturally induce heterogeneous and unknown interventions. In this work, we address federated causal discovery under unknown client-level interventions. We propose I-PERI, a novel federated algorithm that first recovers the CPDAG of the union of client graphs and then orients additional edges by exploiting structural differences induced by interventions across clients. This yields a tighter equivalence class, which we call the $\mathbfΦ$-Markov Equivalence Class, represented by the $\mathbfΦ$-CPDAG. We provide theoretical guarantees on the convergence of I-PERI, as well as on its privacy-preserving properties, and present empirical evaluations on synthetic data demonstrating the effectiveness of the proposed algorithm.


翻译:大多数因果发现方法从观测数据中恢复一个表示马尔可夫等价类的完全部分有向无环图。近期研究已将这些方法扩展至联邦设置,以应对数据分散和隐私约束,但通常基于所有客户端共享相同因果模型的理想化假设。此类假设在实践中不切实际,例如跨医院的客户端特定策略或协议,自然会引发异质且未知的干预。在本工作中,我们解决了未知客户端级干预下的联邦因果发现问题。我们提出了I-PERI,一种新颖的联邦算法,该算法首先恢复客户端图并集的CPDAG,然后通过利用跨客户端干预引发的结构差异来定向额外边。这产生了一个更紧致的等价类,我们称之为$\mathbfΦ$-马尔可夫等价类,由$\mathbfΦ$-CPDAG表示。我们提供了I-PERI收敛性及其隐私保护特性的理论保证,并在合成数据上进行了实证评估,证明了所提算法的有效性。

0
下载
关闭预览

相关内容

【NeurIPS2019】图变换网络:Graph Transformer Network
NAACL 2019 | 一种考虑缓和KL消失的简单VAE训练方法
PaperWeekly
20+阅读 · 2019年4月24日
国家自然科学基金
17+阅读 · 2017年12月31日
国家自然科学基金
0+阅读 · 2015年12月31日
国家自然科学基金
0+阅读 · 2014年12月31日
国家自然科学基金
4+阅读 · 2014年12月31日
国家自然科学基金
10+阅读 · 2014年12月31日
Arxiv
0+阅读 · 2025年12月26日
VIP会员
相关基金
国家自然科学基金
17+阅读 · 2017年12月31日
国家自然科学基金
0+阅读 · 2015年12月31日
国家自然科学基金
0+阅读 · 2014年12月31日
国家自然科学基金
4+阅读 · 2014年12月31日
国家自然科学基金
10+阅读 · 2014年12月31日
Top
微信扫码咨询专知VIP会员