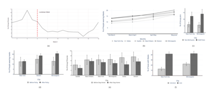
Wearing masks is a useful protection method against COVID-19, which has caused widespread economic and social impact worldwide. Across the globe, governments have put mandates for the use of face masks, which have received both positive and negative reaction. Online social media provides an exciting platform to study the use of masks and analyze underlying mask-wearing patterns. In this article, we analyze 2.04 million social media images for six US cities. An increase in masks worn in images is seen as the COVID-19 cases rose, particularly when their respective states imposed strict regulations. We also found a decrease in the posting of group pictures as stay-at-home laws were put into place. Furthermore, mask compliance in the Black Lives Matter protest was analyzed, eliciting that 40% of the people in group photos wore masks, and 45% of them wore the masks with a fit score of greater than 80%. We introduce two new datasets, VAriety MAsks - Classification (VAMA-C) and VAriety MAsks - Segmentation (VAMA-S), for mask detection and mask fit analysis tasks, respectively. For the analysis, we create two frameworks, face mask detector (for classifying masked and unmasked faces) and mask fit analyzer (a semantic segmentation based model to calculate a mask-fit score). The face mask detector achieved a classification accuracy of 98%, and the semantic segmentation model for the mask fit analyzer achieved an Intersection Over Union (IOU) score of 98%. We conclude that such a framework can be used to evaluate the effectiveness of such public health strategies using social media platforms in times of pandemic.


翻译:戴面罩是针对COVID-19的一种有用的保护方法,它在全世界造成了广泛的经济和社会影响。在全球,各国政府已经为使用面罩规定了任务,这些面罩得到了积极和消极的反应。在线社交媒体提供了一个令人振奋的平台,以研究面罩的使用,并分析基本面罩穿戴模式。在本篇文章中,我们分析了6个美国城市的204万张社交媒体图像。图像中涂戴的面罩的增加被视为COVID-19案例的上升,特别是当它们各自的州实行严格的监管时。我们还发现,张贴团体图片的数量有所减少,因为家居法律已经到位。此外,对黑生活质抗议的遵守情况进行了分析,从而发现有40%的面罩戴面罩的人戴面罩,45%的人戴面罩,其比例超过80%。我们引入了两个新的数据集,VArsity Masks-分类(VAMA-C)和VASIMA-S),用于掩码检测和掩码分析任务(AMA-S),分别用于掩码的面罩检测和掩码分析任务。为了分析,我们创建了两个框架,我们创建了一种基于98的面膜的面膜的面膜的面罩,我们用了用于分析模型的模型的表面检测,我们用来分析,我们用于了一种对等的面膜的面膜的表面分析。

0
下载
关闭预览

相关内容

Linux导论,Introduction to Linux,96页ppt
专知会员服务
82+阅读 · 2020年7月26日
Stabilizing Transformers for Reinforcement Learning
专知会员服务
60+阅读 · 2019年10月17日
【哈佛大学商学院课程Fall 2019】机器学习可解释性
专知会员服务
105+阅读 · 2019年10月9日
计算机 | IUI 2020等国际会议信息4条
Call4Papers
6+阅读 · 2019年6月17日
CCF推荐 | 国际会议信息10条
Call4Papers
8+阅读 · 2019年5月27日
Unsupervised Learning via Meta-Learning
CreateAMind
43+阅读 · 2019年1月3日
医学 | 顶级SCI期刊专刊/国际会议信息4条
Call4Papers
5+阅读 · 2018年12月28日
A Technical Overview of AI & ML in 2018 & Trends for 2019
待字闺中
18+阅读 · 2018年12月24日
计算机类 | LICS 2019等国际会议信息7条
Call4Papers
3+阅读 · 2018年12月17日
计算机视觉近一年进展综述
机器学习研究会
9+阅读 · 2017年11月25日
可解释的CNN
CreateAMind
17+阅读 · 2017年10月5日
【推荐】深度学习目标检测概览
机器学习研究会
10+阅读 · 2017年9月1日
Arxiv
0+阅读 · 2021年9月10日
Arxiv
0+阅读 · 2021年9月9日
An Attentive Survey of Attention Models
Arxiv
44+阅读 · 2020年12月15日
Arxiv
6+阅读 · 2019年8月22日
VIP会员
相关VIP内容
Linux导论,Introduction to Linux,96页ppt
专知会员服务
82+阅读 · 2020年7月26日
Stabilizing Transformers for Reinforcement Learning
专知会员服务
60+阅读 · 2019年10月17日
【哈佛大学商学院课程Fall 2019】机器学习可解释性
专知会员服务
105+阅读 · 2019年10月9日
相关资讯
计算机 | IUI 2020等国际会议信息4条
Call4Papers
6+阅读 · 2019年6月17日
CCF推荐 | 国际会议信息10条
Call4Papers
8+阅读 · 2019年5月27日
Unsupervised Learning via Meta-Learning
CreateAMind
43+阅读 · 2019年1月3日
医学 | 顶级SCI期刊专刊/国际会议信息4条
Call4Papers
5+阅读 · 2018年12月28日
A Technical Overview of AI & ML in 2018 & Trends for 2019
待字闺中
18+阅读 · 2018年12月24日
计算机类 | LICS 2019等国际会议信息7条
Call4Papers
3+阅读 · 2018年12月17日
计算机视觉近一年进展综述
机器学习研究会
9+阅读 · 2017年11月25日
可解释的CNN
CreateAMind
17+阅读 · 2017年10月5日
【推荐】深度学习目标检测概览
机器学习研究会
10+阅读 · 2017年9月1日
Top
微信扫码咨询专知VIP会员