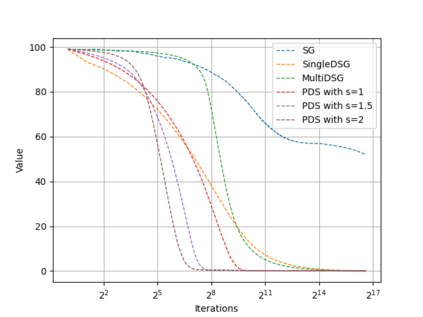
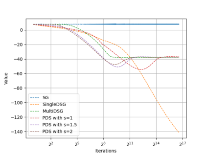
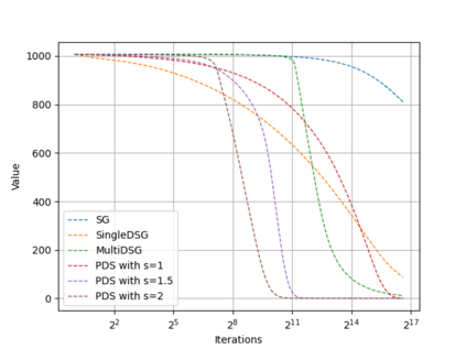
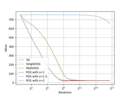
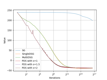
We provide a dual subgradient method and a primal-dual subgradient method for standard convex optimization problems with complexity $\mathcal{O}(\varepsilon^{-2})$ and $\mathcal{O}(\varepsilon^{-2r})$, for all $r> 1$, respectively. They are based on recent Metel-Takeda's work in [arXiv:2009.12769, 2020, pp. 1-12] and Boyd's method in [Lecture notes of EE364b, Stanford University, Spring 2013-14, pp. 1-39]. The efficiency of our methods is numerically illustrated in a comparison to the others.


翻译:我们提供了一种双子梯度法和一种初等二元次梯度法,分别用于处理复杂度为$\mathcal{O}(varepsilon}-2})美元和$\mathcal{O}(varepsilon}-2r})美元的所有1美元的标准二次方位优化问题。这些方法基于Metel-Takeda最近在[arXiv:2009.12769,2020,pp.1-12]和Boyd的方法,载于[EE364b的注释,斯坦福大学,2013年春季-14,第1-39页]。我们的方法的效率在数字上与其他方法的比较中作了说明。

0
下载
关闭预览

相关内容

专知会员服务
51+阅读 · 2020年12月14日
专知会员服务
162+阅读 · 2020年1月16日
最新BERT相关论文清单,BERT-related Papers
专知会员服务
53+阅读 · 2019年9月29日
【论文笔记】通俗理解少样本文本分类 (Few-Shot Text Classification) (1)
深度学习自然语言处理
7+阅读 · 2020年4月8日
目标检测中的Consistent Optimization
极市平台
6+阅读 · 2019年4月23日
逆强化学习-学习人先验的动机
CreateAMind
16+阅读 · 2019年1月18日
大神 一年100篇论文
CreateAMind
15+阅读 · 2018年12月31日
Disentangled的假设的探讨
CreateAMind
9+阅读 · 2018年12月10日
Hierarchical Disentangled Representations
CreateAMind
4+阅读 · 2018年4月15日
条件GAN重大改进!cGANs with Projection Discriminator
CreateAMind
8+阅读 · 2018年2月7日
【论文】变分推断(Variational inference)的总结
机器学习研究会
39+阅读 · 2017年11月16日
深度学习医学图像分析文献集
机器学习研究会
19+阅读 · 2017年10月13日
VIP会员
相关VIP内容
专知会员服务
51+阅读 · 2020年12月14日
专知会员服务
162+阅读 · 2020年1月16日
最新BERT相关论文清单,BERT-related Papers
专知会员服务
53+阅读 · 2019年9月29日
相关资讯
【论文笔记】通俗理解少样本文本分类 (Few-Shot Text Classification) (1)
深度学习自然语言处理
7+阅读 · 2020年4月8日
目标检测中的Consistent Optimization
极市平台
6+阅读 · 2019年4月23日
逆强化学习-学习人先验的动机
CreateAMind
16+阅读 · 2019年1月18日
大神 一年100篇论文
CreateAMind
15+阅读 · 2018年12月31日
Disentangled的假设的探讨
CreateAMind
9+阅读 · 2018年12月10日
Hierarchical Disentangled Representations
CreateAMind
4+阅读 · 2018年4月15日
条件GAN重大改进!cGANs with Projection Discriminator
CreateAMind
8+阅读 · 2018年2月7日
【论文】变分推断(Variational inference)的总结
机器学习研究会
39+阅读 · 2017年11月16日
深度学习医学图像分析文献集
机器学习研究会
19+阅读 · 2017年10月13日
Top
微信扫码咨询专知VIP会员