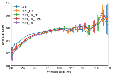
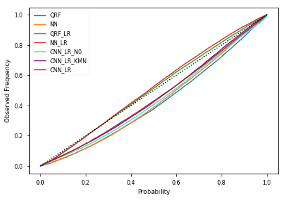
Current statistical post-processing methods for probabilistic weather forecasting are not capable of using full spatial patterns from the numerical weather prediction (NWP) model. In this paper we incorporate spatial wind speed information by using convolutional neural networks (CNNs) and obtain probabilistic wind speed forecasts in the Netherlands for 48 hours ahead, based on KNMI's deterministic Harmonie-Arome NWP model. The probabilistic forecasts from the CNNs are shown to have higher Brier skill scores for medium to higher wind speeds, as well as a better continuous ranked probability score (CRPS) and logarithmic score, than the forecasts from fully connected neural networks and quantile regression forests. As a secondary result, we have compared the CNNs using 3 different density estimation methods (quantized softmax (QS), kernel mixture networks, and fitting a truncated normal distribution), and found the probabilistic forecasts based on the QS method to be best.


翻译:用于概率天气预报的现有统计后处理方法无法使用数字天气预测(NWP)模型中的全部空间模式。在本文中,我们通过使用进化神经网络(CNNs)纳入空间风速信息,并根据KNMI的确定性和谐-Arome NWP模型,对荷兰未来48小时的风速进行概率预测。CNNs的概率预测显示,中风至高风速的比值更高,以及比完全相连的神经网络和量回归森林的预测更连续的概率分数(CRPS)和对数分。作为第二结果,我们用三种不同的密度估计方法(量化软式软式(QS)、内核混合物网络,并适合流式正常分布)对CNN进行了比较,发现基于QS方法的概率预测最好。

0
下载
关闭预览

相关内容

神经网络(Neural Networks)是世界上三个最古老的神经建模学会的档案期刊:国际神经网络学会(INNS)、欧洲神经网络学会(ENNS)和日本神经网络学会(JNNS)。神经网络提供了一个论坛,以发展和培育一个国际社会的学者和实践者感兴趣的所有方面的神经网络和相关方法的计算智能。神经网络欢迎高质量论文的提交,有助于全面的神经网络研究,从行为和大脑建模,学习算法,通过数学和计算分析,系统的工程和技术应用,大量使用神经网络的概念和技术。这一独特而广泛的范围促进了生物和技术研究之间的思想交流,并有助于促进对生物启发的计算智能感兴趣的跨学科社区的发展。因此,神经网络编委会代表的专家领域包括心理学,神经生物学,计算机科学,工程,数学,物理。该杂志发表文章、信件和评论以及给编辑的信件、社论、时事、软件调查和专利信息。文章发表在五个部分之一:认知科学,神经科学,学习系统,数学和计算分析、工程和应用。 官网地址:http://dblp.uni-trier.de/db/journals/nn/
【干货书】机器学习速查手册,135页pdf
专知会员服务
127+阅读 · 2020年11月20日
强化学习最新教程,17页pdf
专知会员服务
182+阅读 · 2019年10月11日
【新书】Python编程基础,669页pdf
专知会员服务
197+阅读 · 2019年10月10日
机器学习入门的经验与建议
专知会员服务
94+阅读 · 2019年10月10日
A Technical Overview of AI & ML in 2018 & Trends for 2019
待字闺中
18+阅读 · 2018年12月24日
Capsule Networks解析
机器学习研究会
11+阅读 · 2017年11月12日
【学习】(Python)SVM数据分类
机器学习研究会
6+阅读 · 2017年10月15日
深度学习医学图像分析文献集
机器学习研究会
19+阅读 · 2017年10月13日
可解释的CNN
CreateAMind
17+阅读 · 2017年10月5日
【推荐】RNN/LSTM时序预测
机器学习研究会
25+阅读 · 2017年9月8日
【推荐】TensorFlow手把手CNN实践指南
机器学习研究会
5+阅读 · 2017年8月17日
【推荐】(Keras)LSTM多元时序预测教程
机器学习研究会
24+阅读 · 2017年8月14日
【学习】Hierarchical Softmax
机器学习研究会
4+阅读 · 2017年8月6日
Arxiv
0+阅读 · 2021年3月4日
VIP会员
相关资讯
A Technical Overview of AI & ML in 2018 & Trends for 2019
待字闺中
18+阅读 · 2018年12月24日
Capsule Networks解析
机器学习研究会
11+阅读 · 2017年11月12日
【学习】(Python)SVM数据分类
机器学习研究会
6+阅读 · 2017年10月15日
深度学习医学图像分析文献集
机器学习研究会
19+阅读 · 2017年10月13日
可解释的CNN
CreateAMind
17+阅读 · 2017年10月5日
【推荐】RNN/LSTM时序预测
机器学习研究会
25+阅读 · 2017年9月8日
【推荐】TensorFlow手把手CNN实践指南
机器学习研究会
5+阅读 · 2017年8月17日
【推荐】(Keras)LSTM多元时序预测教程
机器学习研究会
24+阅读 · 2017年8月14日
【学习】Hierarchical Softmax
机器学习研究会
4+阅读 · 2017年8月6日
Top
微信扫码咨询专知VIP会员