CPL2019年第10期编辑推荐论文

2019 年 11 月 6 日 中国物理学会期刊网

CPL2019年第10期编辑推荐论文,敬请关注!

EXPRESS LETTER


Experimental Hamiltonian Learning of an 11-Qubit Solid-State Quantum Spin Register

P.-Y. Hou(侯攀宇), L. He(何丽), F. Wang(王飞), X.-Z. Huang(黄晛之), W.-G. Zhang(张文纲), X.-L. Ouyang(欧阳晓龙), X. Wang(王歆), W.-Q. Lian(连文倩), X.-Y. Chang(常秀英), L.-M. Duan(段路明)

Chin. Phys. Lett. 2019, 36 (10): 100303

推荐理由

实验上精确表征多比特量子系统的相互作用哈密顿量,对实现高保真度量子逻辑门和量子计算至关重要。本文中,作者在实验中实现了对金刚石中由11个固体自旋组成的量子寄存器系统的多体哈密顿量的表征,精确测量了该系统有效哈密顿量的参数,引入了量子相位估计算法提高测量效率。利用所得到哈密顿量的参数,设计了更精确的量子逻辑门控制信号序列,并在实验中首次实现了11个固体自旋量子比特系统的通用量子门集合。

原文链接

PDF

HTML


EXPRESS LETTER

Towards the Same Line of Liquid–Liquid Phase Transition of Dense Hydrogen from Various Theoretical Predictions

Binbin Lu(卢彬彬), Dongdong Kang(康冬冬), Dan Wang(王丹),  Tianyu Gao(高天雨), Jiayu Dai(戴佳钰)

Chin. Phys. Lett. 2019, 36 (10): 103102

推荐理由

国防科技大学物理系戴佳钰团队在稠密氢的液–液相变和金属化研究方面取得了重要进展。他们利用路径积分分子动力学方法考虑原子核的量子效应,并采用新型范德瓦尔斯泛函和杂化泛函对电子结构计算中的非局域效应进行精确修正,得到了100–300 GPa压强范围内稠密氢的精确的液–液相变曲线和金属化转变曲线,成功弥合了各种密度泛函理论计算的差距,同时首次与量子蒙卡和最新实验结果趋于一致。

原文链接

PDF

HTML


Editors' Suggestion

Quantifying Process Nonclassicality in Bosonic Fields

Shuang-Shuang Fu(傅双双), Shun-Long Luo(骆顺龙)

Chin. Phys. Lett. 2019, 36 (10): 104203

推荐理由

在量子光学领域,如何刻画和度量非经典性是非常重要的。本文利用基于Wigner-Yanase信息的光量子态非经典性的新度量来刻画物理过程产生非经典性的能力,为从量化的观点研究非经典性提供了新的概念和工具。

原文链接

PDF

HTML


Editors' Suggestion

High-Pressure Behavior of Nano-Pt in Hydrogen Environment

Can Tian(田灿), Xiao-li Huang(黄晓丽), Yan-ping Huang(黄艳萍), Xin Li(李鑫), Di Zhou(周迪), Xin Wang(王鑫), Tian Cui(崔田)

Chin. Phys. Lett.. 2019, 36 (10): 106101

推荐理由

高压是合成新材料的重要途经。我们选用纳米铂金属与氢单质进行高压下同步辐射x射线衍射研究,发现在压力30 GPa时六角相PtH的形成。与体材料铂金属与氢的反应不同,由于纳米粉末Pt具有较大的比表面积,提供了大量的解离位点,使氢原子的渗透迅速达到饱和,因此纳米Pt与氢反应时没有形成中间相立方结构的PtH。

原文链接

PDF

HTML


Editors' Suggestion


Pressure-Induced Metallization Accompanied by Elongated S–S Dimer in Charge Transfer Insulator NiS2

Hao Wu(吴昊), Yong-Hui Zhou(周永惠), Yi-Fang Yuan (袁亦方), Chun-Hua Chen (陈春华), Ying Zhou (周颖), Bo-Wen Zhang (张博文), Xu-Liang Chen (陈绪亮), Chuan-Chuan Gu (顾川川), Chao An (安超), Shu-Yang Wang (王舒阳), Meng-Yao Qi (戚梦瑶), Ran-Ran Zhang (张冉冉), Li-Li Zhang (张丽丽), Xin-Jian Li (李新建), Zhao-Rong Yang (杨昭荣)

Chin. Phys. Lett.. 2019, 36 (10): 107101

本文结合高压下的电输运、同步辐射X射线衍射和拉曼光谱测量,对电荷转移绝缘体NiS2中压力诱导的绝缘体–金属转变进行了深入研究。作者发现在临界压力区间3.2–7.1 GPa,S-S二聚体的膨胀使S-p带与Ni-d上Hubbard带之间的电荷能隙减小,最终导致了金属化。本研究为理解电荷转移绝缘体NiS2中压力诱导的绝缘体–金属转变过程提供了重要的实验依据。

原文链接

PDF

HTML


Editors' Suggestion


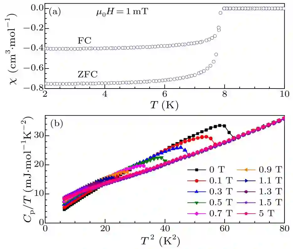
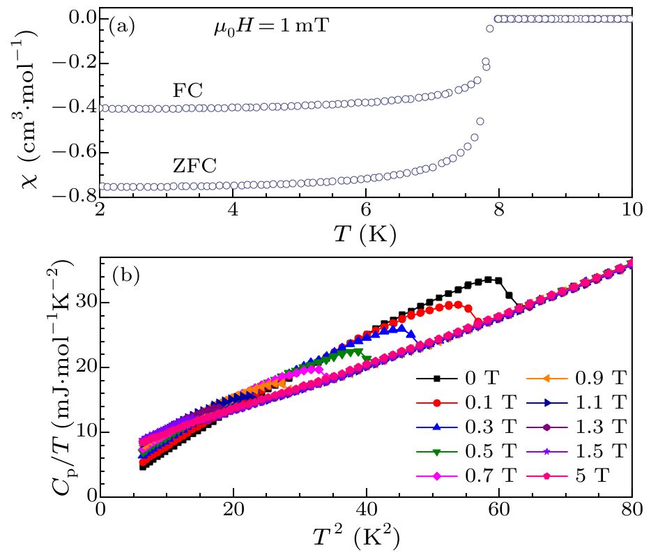
Broken Time-Reversal Symmetry in Superconducting Partially Filled Skutterudite Pr1−δPt4Ge12

Jia-Wei Zang(臧佳伟), Jian Zhang(张建), Zi-Hao Zhu(朱子浩), Zhao-Feng Ding(丁兆峰), Kevin Huang, Xiao-Ran Peng(彭小冉), Adrian D. Hillier, Lei Shu(殳蕾)

Chin. Phys. Lett. 2019, 36 (10): 107402

推荐理由

复旦大学殳蕾副研究员课题组利用缪子自旋弛豫,结合极低温比热、磁化率等实验手段,首次研究并发现了部分填充型方钴矿超导材料Pr1-dPt4Ge12的时间反演对称破缺性(TRSB),得出其强度是完整填充下的一半。具有TRSB行为的超导材料十分稀少,这项工作证明PrPt4Ge12可以具有新奇的非常规超导行为,并且其非常规超导可以通过掺杂进行调控。该工作对非常规超导微观机制的研究提供了更多新线索。

原文链接

PDF

HTML


Editors' Suggestion


Superconductivity of the FeSe/SrTiOInterface in View of BCS–BEC Crossover

Shuyuan Zhang(张书源), Guangyao Miao(苗光耀), Jiaqi Guan(关佳其), Xiaofeng Xu(徐小凤), Bing Liu(刘冰), Fang Yang(杨芳), Weihua Wang(王炜华), Xuetao Zhu(朱学涛), Jiandong Guo(郭建东)

Chin. Phys. Lett. 2019, 36 (10): 107404

推荐理由

本文利用BCS-BEC相图分析了FeSe/SrTiO3超导增强界面的特殊性:FeSe与其它超导材料相比更接近crossover区,SrTiO3衬底引起的电子转移及其对配对作用的修饰都引起超导的灵敏响应。该工作进一步利用有机分子吸附有效降低超导薄膜中的载流子浓度,驱动体系在BCS-BEC相图中的演化,并利用扫描隧道谱观察到疑似电子预配对的特征。

原文链接

PDF

HTML


Editors' Suggestion


Computational Simulation of Sodium Doublet Line Intensities in Multibubble Sonoluminescence

Jin-Fu Liang(梁金福), Yu An(安宇), Wei-Zhong Chen(陈伟中)

Chin. Phys. Lett. 2019, 36 (10): 107801

推荐理由

本文计算模拟了含氩气NaOH水溶液中多泡声致发光钠双黄线的光谱。结果表明随着超声强度的增大,多泡声致发光钠双黄线的半高宽(FWHM)增大,钠双黄线由两个谱峰演化成一个谱峰。这种变化趋势与实验观测基本一致。这项工作对分析复杂空化场问题和探究声致发光线光谱的辐射机制很有意义。

原文链接

PDF

HTML


本文经授权转载自《ChinesePhysicsLetters》微信公众号



往期精彩回顾

1.2019年诺贝尔物理学奖颁出:殊荣属于三位宇宙探索者!

2.漫画 | 2019诺贝尔物理学奖:流浪地球的无限种可能,及宇宙的昨天、今天和明天!

4.锂电池研究开发荣获2019年诺贝尔化学奖

5.锂离子电池电极材料的第一性原理研究进展

6.2018—2019 年度中国物理学会各项物理奖获奖名单及介绍

6.双中子星的并合及其引力波和电磁信号

7.中子星内部结构

8.双中子星的星族合成研究

9.GW170817:爱因斯坦对了吗?

10.宇宙膨胀背后的故事(十九):暴胀的的宇宙



登录查看更多
0

相关内容

【硬核课】统计学习理论,321页ppt
专知会员服务
140+阅读 · 2020年6月30日
最新《生成式对抗网络》简介,25页ppt
专知会员服务
176+阅读 · 2020年6月28日
17篇知识图谱Knowledge Graphs论文 @AAAI2020
专知会员服务
172+阅读 · 2020年2月13日
AAAI2020接受论文列表,1591篇论文目录全集
专知会员服务
100+阅读 · 2020年1月12日
必读的10篇 CVPR 2019【生成对抗网络】相关论文和代码
专知会员服务
33+阅读 · 2020年1月10日
深度学习视频中多目标跟踪:论文综述
专知会员服务
94+阅读 · 2019年10月13日
《科学》(20190517出版)一周论文导读
科学网
5+阅读 · 2019年5月19日
《科学》(20190426出版)一周论文导读
科学网
5+阅读 · 2019年4月27日
Nature 一周论文导读 | 2019 年 2 月 28 日
科研圈
13+阅读 · 2019年3月10日
Nature 一周论文导读 | 2019 年 2 月 14 日
科研圈
7+阅读 · 2019年2月24日
大神 一年100篇论文
CreateAMind
15+阅读 · 2018年12月31日
《科学》(20181012出版)一周论文导读
科学网
4+阅读 · 2018年10月14日
赛尔推荐 | 第12期
哈工大SCIR
4+阅读 · 2018年5月2日
赛尔推荐 | 第9期
哈工大SCIR
13+阅读 · 2018年4月20日
Foreground-aware Image Inpainting
Arxiv
4+阅读 · 2019年1月17日
Arxiv
6+阅读 · 2018年11月29日
Arxiv
3+阅读 · 2018年10月25日
Arxiv
4+阅读 · 2018年4月10日
Arxiv
8+阅读 · 2018年4月8日
VIP会员
相关VIP内容
【硬核课】统计学习理论,321页ppt
专知会员服务
140+阅读 · 2020年6月30日
最新《生成式对抗网络》简介,25页ppt
专知会员服务
176+阅读 · 2020年6月28日
17篇知识图谱Knowledge Graphs论文 @AAAI2020
专知会员服务
172+阅读 · 2020年2月13日
AAAI2020接受论文列表,1591篇论文目录全集
专知会员服务
100+阅读 · 2020年1月12日
必读的10篇 CVPR 2019【生成对抗网络】相关论文和代码
专知会员服务
33+阅读 · 2020年1月10日
深度学习视频中多目标跟踪:论文综述
专知会员服务
94+阅读 · 2019年10月13日
相关资讯
《科学》(20190517出版)一周论文导读
科学网
5+阅读 · 2019年5月19日
《科学》(20190426出版)一周论文导读
科学网
5+阅读 · 2019年4月27日
Nature 一周论文导读 | 2019 年 2 月 28 日
科研圈
13+阅读 · 2019年3月10日
Nature 一周论文导读 | 2019 年 2 月 14 日
科研圈
7+阅读 · 2019年2月24日
大神 一年100篇论文
CreateAMind
15+阅读 · 2018年12月31日
《科学》(20181012出版)一周论文导读
科学网
4+阅读 · 2018年10月14日
赛尔推荐 | 第12期
哈工大SCIR
4+阅读 · 2018年5月2日
赛尔推荐 | 第9期
哈工大SCIR
13+阅读 · 2018年4月20日
相关论文
Foreground-aware Image Inpainting
Arxiv
4+阅读 · 2019年1月17日
Arxiv
6+阅读 · 2018年11月29日
Arxiv
3+阅读 · 2018年10月25日
Arxiv
4+阅读 · 2018年4月10日
Arxiv
8+阅读 · 2018年4月8日
Top
微信扫码咨询专知VIP会员