遇上对的 Ta 到底概率有多高,贝叶斯告诉你答案

2018 年 12 月 11 日 中科院物理所

贝叶斯(约1702-1761)Thomas Bayes,英国牧师、数学家,创建了贝叶斯统计理论,对于统计决策函数、统计推断、统计估计等方面做出了贡献,同时也是可劲折腾大学生、AIer的大佬之一。

 

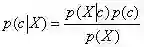
贝叶斯决策论是一种解决分类问题的基本方法,其与众不同之处在于:充分利用概率的不同分类决策与相应的决策代价之间的折中。在先验概率的基础上,考虑最大似然函数,我们可以利用最大后验概率进行分类决策。若再考虑决策的代价或者损失,就成了贝叶斯决策论······额,经过小编的发奋钻研,发现贝叶斯决策论可以很好得解释一下女孩子的恋爱行为!

小编以某种方式建立了一个数据集,对10000个男生从性格、颜值、才华三个方面进行打分(1~5分),然后让女孩评价对其是否满意。

 

接下来,我们一起来看一些有趣的事情:



第一天

小A是一名单身女孩,突然有一天,小A的闺蜜小B神秘兮兮要给她介绍男朋友,但是具体内容一字未提。晚上,小A妹子辗转反侧,不断琢磨着:她会介绍谁呀?条件怎么样嘞?不知道能不能谈得来......这时,根据样本中的“经验”(6428个满意,3572个不满意),小A大概估计了下对未谋面男孩的满意概率:

 


分析:即使没有任何信息,仅靠平白无故的直觉,小A遇到如意郎君的概率毕竟有一多半呢!所以,世上还是好人多呀。



第二天

小B中午吃饭的时候,神秘得透露给小A,这个男孩的才华有4分呢。哎呦?不错哦,小A一边有点开心,一边对自己的满意概率进行了调整,根据大名鼎鼎的贝叶斯公式:


在仅知道男孩的才华为4分的时候,满意概率为:




分析:当得到男孩的更多信息时,小A便可以运用贝叶斯公式做出更好的判断,明显可以看出后验概率70.11%已经比先验概率64.28%提升了不少。同时,如果男孩是顶级学神,才华=5分,那么这个概率会提升到74.41%!!!




第三天

小A不知道从哪里搞到了男孩的照片,认真打量一下,挺好的,不至于是超级大帅哥但是看着比较踏实稳重,颜值至少3分吧。就当颜值3分的吧,这个时候,小A再次偷偷调整自己的满意概率。


在知道男孩的才华为4分,颜值为3分的时候,满意概率为:



分析:显而易见,更多的信息有助于做出更准确判定。颜值=3分帮小A获得了一个信息,男孩子有才华,颜值不差,所以满意概率会有些许上升。另外,聪明的小A在计算概率时,为了简化计算,假设才华与颜值没有任何关系、彼此独立,这便是所谓的“朴素贝叶斯(样本的特征之间彼此无关)”。



第四天

今天,小B决定让这两位互相见见面,认识一下。小A在小B的陪伴下,把自己打扮得美美哒,跟这位男孩一起吃晚饭。谈吐之间,男孩子热情大方开朗,小A对此印象甚是不错。于是乎,小A对最终其打分为性格4分,颜值3分,才华4分。小A当场迅速得计算了下:我跟这位男孩谈恋爱,将来能有多大的概率最终感到满意呢?



分析:换一个角度来思考小A的历程,小A在未了解男孩的任何信息的时候,她有35.72%的概率对男孩子不满意,可能是担心男孩的样子她不喜欢,担心他性格暴躁等等;当知道男孩才华为4分时,她的疑虑有所打消,故不满意的概率下降为29.89%;然后每一次得到更多有益的信息,小A的疑虑都会有一定程度的下降。但注意,即使如此,这个性格4分,颜值3分,才华4分的男孩仍然有23.79%的概率使小A不满意,这或许可以用“有缘无分”来解释吧,贝叶斯大爷也无能为力。



第五天

小A开始最后的纠结,她要做出决定:是不是要开始进行这段恋爱关系?


小B:你不是对人家挺满意的嘛?那就去试一试呗。


小A:你说的不错呀,但是我只有76.21%的把握对其满意呀。


小C(小A的舍友):我比较谨慎小心,如果他是一个不满意的男孩,而我把他误认为满意的男孩,那得多痛心疾首啊。如果是我,我更可能拒绝他。四分之一的出错概率呢,还是不低呀。


小A(沉思片刻):我们可以利用“贝叶斯决策理论”来解决。嗯······对于我而言,把一个不满意的男孩误认为是满意的男孩会对我影响不算大,就当有100点影响吧;但是把一个本应感到满意的男孩认定成不满意的男孩,我觉得会受到999点影响,然后

,我应该认定这是一个满意的男孩。


小B:......


小C:......


分析:小A在最终做决策时,不仅利用了后验概率,还充分考虑了做出错误决策的代价损失。经过计算,这个男孩对小A而言,最终决策是判定为满意男孩;而同样的问题,小C的计算结果则会将其判定为不满意男孩,因为小C十分担心不满意男孩误判成为满意男孩的问题。


从概率到贝叶斯公式再到贝叶斯决策,我们的决策越来越科学合理。这是因为,我们逐渐加入了更多的信息(比如男孩的才华、颜值等),加入了小A的风险偏好(两种误判对小A的影响)。这是一种机器学习非常基本、有效的方法,当然,其实小A还可以使用方法,比如LDA或者决策树等等也同样有不错的效果。不过,您可千万别忘了,既然是机器学习,它一定要从“数据集”中学习,比如本例中的那10000条数据。没有数据集供我们学习的话,整个流程将无法进行一丝一毫,甚至规模较小的数据集、不符合真实世界的数据集都无法得到令人信服的结果。


话付前言,小A最终也找到了自己的幸福,因为:


她会机器学习呀!


来源:中科院半导体所

编辑:Quanta Yuan


近期热门文章Top10

↓ 点击标题即可查看 ↓

1. 日本数学鬼才的幻象魔术,千万人已看瞎

2. 这场意外里,安卓手机毫发无伤,苹果设备居然近乎全灭

3. 学物理的,随时随地都能把天聊死

4. 微博一个假测试,让全网网民都压力过大了?

5. 你现在还不知道的地铁上广告的原理,居然和两百年前的发明有关系

6. “我对普通的人类没有兴趣,你们只要能求出超排列的准确公式,就尽管来找我吧!以上”

7. 到底几点睡觉才算是熬夜?

8. 一幅图读懂量子力学(下)

9. 数学和物理太难?这些动图让你秒懂抽象概念

10. 癌细胞既然可以无限增殖,岂不是可以用来做口粮?| No.129

点此查看以往全部热门文章


登录查看更多
0

相关内容

本话题关于日常用语「概率」,用于讨论生活中的运气、机会,及赌博、彩票、游戏中的「技巧」。关于抽象数学概念「概率」的讨论,请转 概率(数学)话题。
【经典书】机器学习:贝叶斯和优化方法,1075页pdf
专知会员服务
414+阅读 · 2020年6月8日
【纽约大学】最新《离散数学》笔记,451页pdf
专知会员服务
131+阅读 · 2020年5月26日
算法与数据结构Python,369页pdf
专知会员服务
166+阅读 · 2020年3月4日
【机器学习课程】机器学习中的常识性问题
专知会员服务
75+阅读 · 2019年12月2日
【机器学习课程】Google机器学习速成课程
专知会员服务
170+阅读 · 2019年12月2日
浅谈贝叶斯和MCMC
AI100
14+阅读 · 2018年6月11日
条件概率和贝叶斯公式 - 图解概率 03
遇见数学
10+阅读 · 2018年6月5日
送书 | 深入浅出,一起学习贝叶斯!
AI100
10+阅读 · 2018年2月2日
干货 | 一文搞懂极大似然估计
AI100
7+阅读 · 2017年12月3日
基于概率论的分类方法:朴素贝叶斯
Python开发者
8+阅读 · 2017年11月9日
从概率论到多分类问题:综述贝叶斯统计分类
机器之心
13+阅读 · 2017年9月28日
从贝叶斯方法谈到贝叶斯网络
七月在线实验室
8+阅读 · 2017年7月6日
Arxiv
21+阅读 · 2019年8月21日
Arxiv
23+阅读 · 2018年10月1日
Arxiv
19+阅读 · 2018年6月27日
Arxiv
26+阅读 · 2018年2月27日
Arxiv
7+阅读 · 2018年1月10日
VIP会员
相关VIP内容
【经典书】机器学习:贝叶斯和优化方法,1075页pdf
专知会员服务
414+阅读 · 2020年6月8日
【纽约大学】最新《离散数学》笔记,451页pdf
专知会员服务
131+阅读 · 2020年5月26日
算法与数据结构Python,369页pdf
专知会员服务
166+阅读 · 2020年3月4日
【机器学习课程】机器学习中的常识性问题
专知会员服务
75+阅读 · 2019年12月2日
【机器学习课程】Google机器学习速成课程
专知会员服务
170+阅读 · 2019年12月2日
相关资讯
浅谈贝叶斯和MCMC
AI100
14+阅读 · 2018年6月11日
条件概率和贝叶斯公式 - 图解概率 03
遇见数学
10+阅读 · 2018年6月5日
送书 | 深入浅出,一起学习贝叶斯!
AI100
10+阅读 · 2018年2月2日
干货 | 一文搞懂极大似然估计
AI100
7+阅读 · 2017年12月3日
基于概率论的分类方法:朴素贝叶斯
Python开发者
8+阅读 · 2017年11月9日
从概率论到多分类问题:综述贝叶斯统计分类
机器之心
13+阅读 · 2017年9月28日
从贝叶斯方法谈到贝叶斯网络
七月在线实验室
8+阅读 · 2017年7月6日
相关论文
Top
微信扫码咨询专知VIP会员