吃个披萨也能发论文?意大利物理学家算出“完美披萨”热力学公式

2018 年 12 月 23 日 中科院物理所

本文由微信公众号“科研圈”(ID:keyanquan)授权转载

转载请先联系keyanquan@huanqiukexue.com


我们常说做饭要把握好“火候”,在物理学家的眼中,这体现了某种特定的热力学过程。两位意大利科学家最近算出了烤披萨的热力学公式,教你如何烤出完美的披萨。



图片来源:Pixabay


想不想尝尝美味的意式披萨?你可以找一家地道的意大利餐厅,点上一张用传统土砖炉烤出来的经典玛格丽特披萨(Margherita pizza),或者参考物理学家们给出的热力学公式,在自家的烤箱里烤出“最科学”的披萨。


今年九月,来自意大利的两位物理学家安徳烈·瓦拉莫夫(Andrey Varlamov)、安得利亚斯·格拉茨(Andreas Glatz)和一位食物人类学家塞尔吉奥·格拉索(Sergio Grasso)共同在《物理教育》Physics Education上发表了一篇论文,题为“烤出美味披萨背后的物理学”The physics of baking good pizza,向大家展示如何科学地烤出好吃的披萨。


文章作者安徳烈·瓦拉莫夫和安得利亚斯·格拉茨。| 图片来源:uniroma2.it, midweeknew.com



披萨店中碰撞出的火花


这篇论文的前两位作者不论在学术上还是生活中,都是一对儿名副其实的“铁哥们”。他们都从事超导、热电材料方向的研究,曾在美国阿贡国家实验室(Argonne National Laboratory)共事十多年,合作发表多篇学术论文和综述。现在,瓦拉莫夫在位于意大利罗马的超导体,创新材料和器件研究院(Institute of Superconductors, Oxides and Other Innovative Materials and Devices),格拉茨在美国的北伊利诺伊大学(Northern Illinois University)物理系。


格拉茨说,这项研究的想法诞生于他最近一次去意大利出差的时候。他和瓦拉莫夫一起去披萨店吃披萨,发现披萨店里用传统砖窑炉烤出来的披萨总是要比用自家电烤箱烤出来的披萨美味许多。瓦拉莫夫业余也对厨房中的物理学非常感兴趣,他们上网搜索了一番,发现英语类论文中还没有关于如何科学地烤披萨的研究。因此他们一拍即合,决心探索烤披萨背后的物理学,并联系食物人类学家格拉索,分析了披萨在意大利的起源和历史。



传统烤披萨的砖炉和经典玛格丽塔披萨。| 图片来自论文



烤披萨的“终极奥义”


瓦拉莫夫和格拉茨在萌生了研究如何烤披萨的想法后,直截了当地向披萨店的厨师询问制作方法,而厨师给他们的答案是:将披萨在 330 摄氏度的炉子内烤制两分钟。


为什么是在这个温度?为什么只烤两分钟?这就要考虑到炉子内发生的热力学过程。炉子中的高温将披萨烤熟的过程就是炉子的热量传递给披萨的过程。在这个过程中,需要考虑到炉子和面饼的热容(heat capacity)——即单位质量的物体升高一度所需要的热量;两个具有不同温度的物体之间热传导的热通量 (heat flux density),以及热量“穿透”低温物体表面进入物体内部进行加热的温度锋(temperature front)


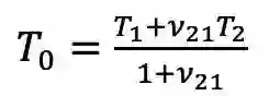
综合以上三个参数的数学计算表达式,就可以计算高温炉子和低温披萨间界面的温度了,即在两个不同温度的物体的界面上热通量处于平衡状态。通过假设“所有的温度变化只发生在长度依赖的相应时间内”将问题进行简化,最后瓦拉莫夫和格拉茨得到了烤披萨的计算公式



其中


式中,T0 是高、低温物体界面间的温度,κ1c1ρκ2c2ρ2分别是高温和低温物体的热导率,热容和质量密度,以及高、低温物体的温度 T1T2



披萨饼胚,电烤箱,砖炉,水的各项参数。| 图片来源:论文


若假设披萨饼胚的初始温度是 20°C,而烤披萨的砖炉内的温度是厨师所说的 330°C,那么根据上面的公式和表格中列出的关于披萨饼胚和砖炉的一些参数,就可得到砖炉和披萨界面的温度约为 208°C


但是,如果用普通的家庭电烤箱代替传统砖炉,情况就不一样了。由于电烤箱是钢制结构,其热容比砖炉要小,而热导率极高,如果仍用 330°C 烤制披萨,那么电烤箱和披萨饼胚间的界面温度能达到 300°C,足以直接把披萨烤焦。不过家用电烤箱也很难达到 330°C 的高温,如果令电烤箱和披萨饼胚间的界面温度与砖炉和饼胚的界面温度一致(即 208°C),那么只需要把电烤箱的温度设置为 230°C,就可以烤出与披萨店质量相当的披萨了吗?莫非事情真的有这么简单?


答案当然不是。上面的公式只是解决了披萨和烤炉之间热传导的关系,而没有考虑披萨的烤制时间。想要计算披萨的最佳烤制时间,需要考虑热辐射(thermal radiation),即炉子内每平方厘米的表面每秒到达的辐射能量数,以及每平方厘米的披萨饼胚每秒接收到其底部传来的热能的量,还有在烤制披萨过程中水分蒸发和流失的速度。这些参数与披萨饼胚的含水量以及饼胚上配料的使用有关。瓦拉莫夫和格拉茨以经典玛格丽塔披萨为例,发现如果用家用电烤箱模拟砖炉的界面温度,那么电烤箱就需要设置到较低的烘烤温度,而使烤箱内热辐射远低于砖炉。温度降低后,需要的烤制时间也就相应更长,然而过长的烘烤时间则会把披萨和饼胚上的配料都烤干。因此用家用电烤箱很难模拟披萨店砖炉的烘烤模式。



在家吃还是去饭店?


经过一系列计算,格拉茨和瓦拉莫夫最终认为:要想吃上好的披萨,还是去有传统砖炉的披萨餐厅比较靠谱。如果实在想在家做披萨,可以试着用陶瓷烤盘盛装披萨,并在烘烤的时候让披萨在烤箱中匀速旋转,以此模拟砖炉内的烘烤模式,同时让披萨受热均匀。


作为意大利人,烤披萨并不是他们俩研究的终点。格拉茨说:“我们未来还想研究一下冲泡咖啡的物理学,尤其是用浓缩咖啡机冲泡的学问。咖啡在冲泡前需要进行研磨,研磨颗粒的大小和均匀程度都会影响咖啡后期的冲泡。此外,冲泡时温度和湿度的变化、以及浓缩咖啡时的压强也都会造成一定的影响。这些涉及颗粒物理,还有咖啡颗粒间的静电作用力。”


而他的好朋友瓦拉莫夫要走得更远。一次上海之行也让他爱上了中国的美食,在于今年 6 月线上发布的另一篇论文里,他与来自复旦大学的周正(音,Zheng Zhou)和陈焱(Yan Chen)教授分析了蒸饺和水饺烹饪过程的区别,并探讨了为什么涮火锅只需要几秒钟。



在水的三相图上展示的蒸饺子的过程。蒸饺子的环境不仅能保证热量传输,还包含一定的负反馈,抑制了温度的波动。(图片来源:https://arxiv.org/abs/1806.09912 )




披萨的小历史


中国流传着这样一则笑话:当年马可·波罗来中国游历的时候跟着一个中国人学做了馅饼,当他返回意大利,想要给大家做馅饼的时候,却不记得馅儿是如何包进饼皮里的,于是他突发奇想,把原本应该包在面皮里面的馅料撒在饼上,于是就有了披萨。


笑话当然不能作数。披萨的前身被认为是新石器时期人们用粗粮(斯佩尔特小麦(spelt)、大麦或双粒小麦)制成的未发酵扁平面饼,放在烧红的石头上烤制而成。这种食物在中国、美洲等国家和地区分别独立发展出来。“披萨”一词的起源在学界也一直存有争论,一种观点认为它最早起源于拜占庭时期的希腊词语“pita”。而“pizza”这个词最早被发现誊写在一卷拉丁文羊皮纸上,这是一份那不勒斯的租户向主教伽耶塔(Gaeta)进贡的物品清单,名为“Codex Diplomaticus Cajtanus”。清单出现在公元 997 年前后,写着“每年圣诞节和复活节周日提供十二个披萨(duodecim pizze)”。


那时候披萨还不是它现在的样子。现代披萨大约在 19 世纪左右被发明出来。1889 年,一位名叫拉法埃莱·埃斯波西托(Raffaele Esposito)的厨师为了表达对当时意大利王后玛格丽塔(Margherita of Savoy)的尊敬,在面饼皮上加入红色的番茄、白色的马苏里拉奶酪和绿色的罗勒,这正是意大利国旗的颜色组合。而这款披萨便是在每个意大利披萨店中都能找到其身影的经典意式披萨——玛格丽塔披萨。它算是世界上第一款现代披萨。


Margherita of Savoy王后。| 图片来源:Wikipedia


参考来源

Varlamov, A., Glatz, A. and Grasso, S. (2018). The physics of baking good pizza. Physics Education, 53(6), p.065011.

Varlamov, A., Zhou, Z. and Chen, Y. (2018). Boiling, steaming or rinsing? (physics of the Chinese cuisine). [online] Arxiv.org. Available at: https://arxiv.org/abs/1806.09912 [Accessed 20 Dec. 2018].

Science, L. and News, S. (2018). Italian Physicists Wrote a 'Perfect Pizza' Equation, Because Not All Heroes Wear Capes. [online] Live Science. Available at: https://www.livescience.com/64016-physics-of-perfect-pizza.html [Accessed 20 Dec. 2018].

Midweeknews.com. (2018). Physics of pizza. [online] Available at: https://www.midweeknews.com/articles/2018/08/27/34b899a307254e9795446bed2cc8b4ec/index.xml [Accessed 20 Dec. 2018].

Iht.univ.kiev.ua. (2018). [online] Available at: http://iht.univ.kiev.ua/nanoqt2016/materials/presentations/Varlamov-Kitchen.pdf [Accessed 20 Dec. 2018].



本文由微信公众号“科研圈”(ID:keyanquan)授权转载

转载请先联系keyanquan@huanqiukexue.com

编辑:loulou


近期热门文章Top10

↓ 点击标题即可查看 ↓

1. 日本数学鬼才的幻象魔术,千万人已看瞎

2. 这场意外里,安卓手机毫发无伤,苹果设备居然近乎全灭

3. 学物理的,随时随地都能把天聊死

4. 微博一个假测试,让全网网民都压力过大了?

5. 你现在还不知道的地铁上广告的原理,居然和两百年前的发明有关系

6. “我对普通的人类没有兴趣,你们只要能求出超排列的准确公式,就尽管来找我吧!以上”

7. 到底几点睡觉才算是熬夜?

8. 一幅图读懂量子力学(下)

9. 数学和物理太难?这些动图让你秒懂抽象概念

10. 癌细胞既然可以无限增殖,岂不是可以用来做口粮?| No.129

点此查看以往全部热门文章


登录查看更多
0

相关内容

物理学(Physics)是一门形式科学,主要研究的是时空中的物质及其运动的模型,包括能量和作用力等所有相关概念。更广义地说,物理学探索分析大自然所发生的现象,目的是要了解其规则。 话题图片由 张明明 知友制作。
CVPR 2020 最佳论文与最佳学生论文!
专知会员服务
36+阅读 · 2020年6月17日
物理学家终于找到了一种拯救薛定谔猫的方法
中科院物理所
8+阅读 · 2019年6月10日
听完了1000+首古风歌曲,我发现自己也能火
PingWest品玩
4+阅读 · 2019年6月2日
翟天临博士所发论文涉嫌抄袭(附各路证据)
看精彩美剧学数学 - 数字追凶103:向量
遇见数学
6+阅读 · 2018年7月29日
量子计算
人工智能学家
7+阅读 · 2018年4月6日
有图才更有真相 | 论文访谈间 #16
PaperWeekly
5+阅读 · 2017年8月2日
An Analysis of Object Embeddings for Image Retrieval
Arxiv
4+阅读 · 2019年5月28日
Arxiv
3+阅读 · 2019年3月1日
Physical Primitive Decomposition
Arxiv
4+阅读 · 2018年9月13日
Arxiv
7+阅读 · 2018年1月30日
Arxiv
5+阅读 · 2018年1月23日
VIP会员
相关资讯
Top
微信扫码咨询专知VIP会员